165744 (582558), страница 2
Текст из файла (страница 2)
Равновесная концентрация кислорода в данных реакциях одинакова, тогда:
Выразим константу равновесия реакции диссоциации воды и двуокиси углерода через общее давление и степень диссоциации:
По условию начальные об. конц. воды и укиси углерода равны 50об.%, обозначим конц. образ. Н2 и СО2 в сост. равновесия x об.%, получим:
Состав водяного газа имеет вид:
Ответ. 15,95 об.%
№6
Напишем равновесные числа молей реагентов, выраженные через степень диссоциации
:
n0 –начальное количество (число молей) водяного пара.
Константа равновесия этой реакции будет выражаться уравнением:
Выразим парциальные давления реагентов через общее давление Р, общее число молей
и степень диссоциации
. Находим:
Парциальные давления реагентов вычисляются по уравнению
:
Таким образом,
Т.к.
можно считать
и
, поэтому
Для обратной реакции, т.е для реакции горения водорода при 1500К, получим:
Ответ.
№7
Зависимость теплового эффекта от температуры опред. законом Кирхгоффа:
По справочнику [M] находим зависимость теплоёмкости веществ от температуры
| Вещество | Зависимость теплоёмкости от температуры, Дж/кмоль*град | |||
| | | | | |
| | 44,14 | 9,04 | - | -8,54 |
| | 29,10 | -0,84 | - | - |
| | 27,63 | 5,02 | - | - |
| | 30,12 | 11,30 | 2,01 | - |
По уравнению находим Кр при 600К:
Ответ.
Тест
В вопросах 1-10 необходимо выбрать правильный ответ (он может быть только один).
1. При наступлении состояния химического равновесия протекают следующие процессы:
а) число молекул веществ, составляющих химическую систему увеличивается во времени при неизменных внешних условиях;
б) число молекул веществ, составляющих химическую систему остаётся постоянным во времени при неизменных внешних условиях;
в) число молекул веществ, составляющих химическую систему, уменьшается во времени при неизменных внешних условиях.
2. Для реакции:
протекающей в изобарно-изотермических условиях, общее выражение для изменения энергии Гиббса имеет вид:
3. Для состояния химического равновесия характерно:
4. Уравнение изотермы химической реакции имеет вид:
5. Для реакции:
Константа равновесия, выраженная через парциальные давления газов, записывается так:
6. Какое из выражений соответствует уравнению изобары химической реакции:
7. Стандартная константа равновесия связана с константой равновесия Кр соотношением:
8. Для реакции в газовой фазе, протекающей без изменения числа молей (Δν=0) характерно:
9. Связь между Кр и Кс химической реакции выражается уравнением:
10. В общем виде Кх для реакции:
можно выразить так:
Правильные ответы:
| № вопроса | Ответ |
| 1. | б) |
| 2. | в) |
| 3. | в) |
| 4. | г) |
| 5. | г) |
| 6. | в) |
| 7. | б) |
| 8. | в) |
| 9. | а) |
| 10. | б) |
Каждый правильный ответ на один вопрос оценивается в 1 балл. В результате, ответив на 10 вопросов, можно получить 10 баллов.
В вопросах 11-20 необходимо установить соответствие. (например 1б, 2а,3г)-верный ответ может быть только один.
11. Из уравнения изотермы химической реакции
видно, что величина и знак энергии Гиббса реакции зависят от Пр’ и Кр ( при Р=const, T=const), как:
1.ΔG<0
2. ΔG=0
3. ΔG>0
12. Для данных реакций укажите соответствующие им константы равновесия Кс:
13. Определите зависимость между значением энергии Гиббса реакции и характером протекающего процесса:
1.ΔG<0 а) реакция достигла состояния
2. ΔG=0 равновесия;
3. ΔG>0 б) процесс необратимый
самопроизвольный;
в) процесс необратимый
несамопроизвольный
14. Определите изменение числа молей (Δν) для следующих реакций:
15. Для реакции :
константа равновесия равна
, то при увеличении давления будут наблюдаться следующие процессы:
1.Δν>0 а) Кх уменьшается
2.Δν<0 б) Кх не изменяется
3.Δν=0 в) Кх увеличивается
16. Определите Кх для реакции в идеальной и реальной газовой смеси:
а) идеальная газовая смесь
б) реальная газовая смесь
17. Из приведённых уравнений выберите то, которое является изотермой, изохорой, изобарой химической реакции:
1. уравнение изохоры
химической реакции
2. уравнение изобары
химической реакции
3. уравнение изотермы
химической реакции
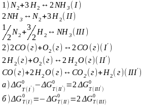
18. Для данных уравнений реакции в смеси идеальных газов определите соотношение между значениями стандартной энергией Гиббса:
19. Укажите верное выражение для Кх, Кс и Кm при рассмотрении равновесия химической реакции в идеальном растворе:
20. Установите, как будет влиять тепловой эффект реакции на константу и состояние равновесия химической реакции:
а) константа равновесия не изменится, и состояние равновесия останется неизменным;
б) равновесие сдвинется в сторону исходных веществ;
в) константа равновесия увеличится, и равновесие сдвинется вправо.
Правильные ответы
| № вопроса | ответ |
| 11. | 1б2в3а |
| 12. | 1б2в3а |
| 13. | 1б2а3в |
| 14. | 1в2а3б |
| 15. | 1а2в3б |
| 16. | 1б2а |
| 17. | 1б2в3а |
| 18. | 1б2а |
| 19 | 1в2а3б |
| 20. | 1в2б3а |
Каждый правильный ответ на 1 вопрос оценивается в 1 балл. Ответив на 10 вопросов можно получить 10 баллов. Если в ответе одна половина соответствия букв и цифр верна, а другая нет, то такой ответ не учитывается и оценивается в 0 баллов.
В вопросах 21-30 пропущено слово-ответ, его необходимо записать (ввести) в правильном числе и падеже.
21.
0>0>0>














