163614 (582325), страница 3
Текст из файла (страница 3)
Рассчитайте средневзвешенную цену капитала (WACC) компании, если структура ее источников такова:
| Источник средств | Доля в общей сумме источников | Цена |
| Акционерный капитал | 70% | 8.0% |
| Долгосрочные долговые обязательства | 30% | 7.5% |
Как изменится значение показателя WACC, если доля акционерного капитала снизится до 60%?
Решение
Данная схема имеет следующие особенности:
-
в качестве показателя дисконта при оценке NPV проекта используется взвешенная средняя стоимость капитала (WACC) проекта,
-
в процессе принятия решения на основе IRR-метода значение внутренней нормы доходности проекта сравнивается с WACC,
-
при прогнозе денежных потоков не учитываются процентные платежи и погашение основной части кредитной инвестиции.
Согласно третьей особенности прогноз денежных потоков производится согласно схеме, представленной в таблице 1.
Таблица 1 –
Прогноз денежных потоков по традиционной схеме (тыс. руб).
| 1 год | 2 год | 3 год | 4 год | 5 год | |
| Чистая прибыль до амортизации, процентов | 4880 | 5320 | 5900 | 5760 | 4790 |
| и налога на прибыль | |||||
| минус амортизация | 976 | 1064 | 1180 | 1152 | 958 |
| Чистая прибыль до налогов | 3904 | 4256 | 4720 | 4608 | 3832 |
| минус налог на прибыль | 936,96 | 1021,44 | 1132,8 | 1105,92 | 919,68 |
| Чистая прибыль | 2967,04 | 3234,56 | 3587,2 | 3502,08 | 2912,32 |
| Добавки: амортизация | 976 | 1064 | 1180 | 1152 | 958 |
| высвобождение рабочего капитала | 0 | 0 | 0 | 0 | 0 |
| остаточная стоимость оборудования | 7510 | 7447,75 | 7385,5 | 7323,25 | 7261 |
| Дополнительные денежные потоки в связи с изменением рабочего капитала | 0 | 0 | 0 | 0 | 0 |
| Чистые денежные потоки | 11453,04 | 11746,31 | 12152,7 | 11977,33 | 11131,32 |
Прокомментируем некоторые положения данной расчетной схемы.
-
Амортизация добавляется к чистой прибыли, так как не является денежным видом издержек и включается в валовые издержки для целей установления налога на прибыль.
-
Под “высвобождением рабочего капитала” понимается объем инвестиций в оборотные средства предприятия, связанные с увеличением дебиторской задолженности и товарно-материальных запасов, которые к концу проекта ликвидируются, что приводит к дополнительному положительному денежному потоку. Понятно, что этот денежный поток появляется только в последний год таблицы.
-
Остаточная стоимость оборудования также квалифицируется как положительный денежный поток в последний год проекта, так как допускается, что оборудование будет продано по остаточной стоимости или будет использовано для целей другого проекта.
-
Дополнительные денежные потоки в связи с изменением рабочего капитала появляются в том случае, когда основные статьи оборотных средств предприятия (дебиторская задолженность и товарно-материальные запасы) и краткосрочных обязательств (кредиторская задолженность) изменяются в процессе реализации проекта. Это является, главным образом, следствием изменения объема реализации предприятия. Действительно, если объем реализации увеличивается согласно проекту на 10 процентов, то пропорционально этому увеличивается дебиторская задолженность. Например, дебиторская задолженность предприятия увеличилась в течение года с 50,000 руб. до 62,000. Это означает, что долг предприятию со стороны клиентов возрастает на 12,000, т.е. предприятие не дополучит 12,000 руб. Следовательно, такое изменение квалифицируется, как отрицательный денежный поток. Такое же положение имеет место для изменения статьи “товарно-материальные запасы”. Увеличение кредиторской задолженности, наоборот, соответствует увеличению денежного потока.
Возникает естественный вопрос: почему при расчете денежного потока не были учтены процентные платежи и погашение основной части долга. Дело в том, что дисконтирование денежных потоков производится в соответствии с показателем дисконта, равным взвешенной средней стоимости капитала (в которую в качестве одной из компонент входит стоимость долга) и все дисконтированные денежные потоки при определении показателя NPV сравниваются с общей суммой инвестиций (в которую в качестве одной из компонент входит кредитная доля совокупности финансовых ресурсов, привлеченных для проекта). Напомним, что процесс дисконтирования и последующее сравнение с исходной инвестицией при оценке показателя NPV соответствует вычитанию из денежных потоков дохода инвесторов (прямых и кредитных) и сопоставлению современных значений денежных потоков с исходным объемом инвестиций (прямых и кредитных). Таким образом, если бы мы вычли процентные платежи и выплату основной части долга при прогнозе денежных потоков, мы тем самым учли бы долговую компоненту дважды: один раз в прямом виде в таблице прогнозов денежных потоков, а другой раз в процессе дисконтирования и вычисления NPV.
Расчетная схема для оценки эффективности инвестиций приобретает законченный вид.
-
С помощью таблицы 1 производим прогноз денежных потоков.
-
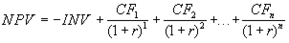
Исходя из структуры финансирования инвестиций и стоимости отдельных компонент (при заданной ставке налога на прибыль) оцениваем взвешенную среднюю стоимость капитала WACC. Расчет взвешенной средней стоимости капитала производится по формуле:
где
- соответственно доли заемных средств, привилегированных акций, собственного капитала (обыкновенных акций и нераспределенной прибыли),
- стоимости соответствующих частей капитала, Т - ставка налога на прибыль.
где INV - суммарный объем инвестиций, r = WACC, а денежные потоки CF1, CF2,..., CFn содержатся в последней строке таблицы 1.
4. Если используется IRR-метод, то значение показателя IRR определяется с помощью решения уравнения
Решение уравнения позволяет получить значение IRR = 14.65%. Для принятия решения об эффективности инвестиций значение внутренней нормы доходности следует сравнить со взвешенной средней стоимостью капитала проекта (WACC), которая в данном случае составляет 15.12%, а не со стоимостью собственного капитала. Поскольку IRR < 15.12, эффективность проекта следует признать недостаточной и отклонить проект, поскольку он не удовлетворяет требованиям владельцев предприятия и кредиторов.
Задача 6
Долгосрочные долговые обязательства компании Torstein Torque and Gear на сумму 7,4 млн. долл. распределяются следующим образом:
1. 15-процентные облигации, размещенные сериями в разные сроки. Ежегодно погашается облигаций на 100 000 дол. по номиналу - 2 400 тыс. долл.
2. 12-процентные облигации, обеспеченные первой закладной на недвижимость. Ежегодно погашается облигаций на 150 000 дол. по номиналу – 3 000 тыс. долл.
3. 19-процентные облигации с пониженным статусом. Проценты выплачиваются только через 10 лет – 2 000 тыс. долл.
Балансовая стоимость акций компании составляет 8,3 млн. дол., рыночная — б млн. дол. Корпоративные, федеральные и государственные налоги составляют 50%. Torstein имеет циклический бизнес: ожидаемый ЕВIT — 2 млн. дол., стандартное отклонение которого — 1,5 млн. дол. Среднее по другим компаниям отрасли отношение задолженность/акционерный капитал равно 0,47.
а. Определите покрытие процентов прибылью и полное покрытие задолженности компании
б. Какова вероятность того, что эти два показателя опустятся ниже соотношения 1:1?
в. Не слишком ли много задолженности у Torstein?
Решение
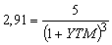
Предположим, что вместо эмиссии купонной облигации, предприятие предпочтет разместить дисконтный инструмент с таким же номиналом и на аналогичный срок. Первичная продажа облигаций будет производиться по курсу 60, а через три года предприятие вернет инвесторам номинальную стоимость облигаций. Расходы по эмиссии составят те же 3% от фактической выручки. То есть, в нулевом периоде предприятие получит 2,91 тыс. рублей (5 * 0,6 * 0,97), а в конце третьего года должно будет заплатить 5 тыс. рублей. Применив формулу, получим:
Но этот же самый результат можно получить, рассчитав полную доходность как IRR денежного потока (+2,91; 0; 0; -5):
И в этом случае YTM = 19,773%. С учетом налоговой защиты цена капитала составит:
Kd = 0,19773 * (1 – 0,3) = 13,841%















