162318 (581892), страница 2
Текст из файла (страница 2)
Недостатки: те же, что и в третьем варианте.
С учетом сказанного выше можно дать следующее определение оптимального равновесного валютного курса. Оптимальным, равновесным курсом считается валютный курс, обеспечивающий достижение равновесия платежного баланса, когда отсутствуют ограничения на международную торговлю, специальное стимулирование притока или оттока капитала и чрезмерная безработица.
Валютный курс оказывает значительное влияние на иены внутреннего рынка. Чем более открыта экономика, тем это влияние значительней.
Спрос и предложение на иностранную валюту возникают в результате необходимости обслуживать международное движение товаров и факторов производства. В основе спроса на валюту - соотношение цен на одинаковые товары в разных странах и цена самой валюты.
Капитал перемещается между странами в форме прямых и портфельных инвестиций. В основе движения капитала в форме портфельных инвестиций - разница в процентных ставках, а прямых инвестиций - разница в уровне доходности вложений. Если доходность и процентные ставки в данной стране выше, чем в других, спрос на ее валюту растет и курс повышается.
Спрос на иностранную валюту зависит и от относительного уровня доходов населения. Рост доходов ведет к росту покупательского спроса и опосредованно - к росту валютного курса.
-
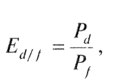
Прогнозирование валютного курса с помощью паритета покупательной способности
Еще Давид Рикардо предположил, что между валютным курсом и внутренней покупательной способностью денег должна быть взаимосвязь. В 1918 г., когда встал вопрос о послевоенном восстановлении межгосударственных экономических связей, шведский экономист Г. Кассель предположил, что установление валютных курсов на базе паритета покупательной способности должно вернуть международный рынок в состояние равновесия. В соответствии с Законом единой пены:
где Pid - цена товара на внутреннем рынке; Pif - пена товара па внешнем рынке; Ed/f - валютный курс.
Закон единой цены утверждает, что один и тог же товар в национальной валюте внутри страны и в иностранной валюте за рубежом стоит одинаково, когда его цена выражена в единой валюте.
На основе Закона единой цены была выведена теория абсолютного паритета покупательной способности (АППС):
где Pd - уровень цен на товары и услуги на внутреннем рынке; Рf -уровень цен па товары и услуги па внешнем рынке.
Принципиальное отличие АППС от единой цены в том, что Закон учитывает цену только на один товар, а теория АППС - па все.
Для сопоставления уровня цен статистические органы стран составляют одинаковые корзины товаров.
Основное преимущество теории АППС: она четко отвечает на вопрос, как укрепить курс национальной валюты. Для этого надо снизить инфляцию, что увеличит покупательную способность внутренних денег.
Основной (и единственный) недостаток теории АПСС: она не работает на практике. Прежде всего, из-за того что не работает Закон единой цены. А Закон единой цены не работает из-за различий в расходах на транспортировку товаров, таможенных тарифов, неорганизованности и несовершенства рынков сбыта и т.д.
В результате и Закон единой цены, и теория абсолютного паритета покупательной способности были на многие годы забыты.
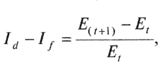
Однако в 1970-е гг. о теории АППС вновь вспомнили и модифицировали ее. Возникла теория относительного паритета покупательной способности (ОППС). Согласно этой теории колебания валютного курса пропорциональны относительному изменению уровня цен в двух странах.
где Р - уровень цен; Е - валютный курс. После ряда преобразований получим:
где I - темпы инфляции.
Для расчетов за валютный курс в базовом периоде принимается курс в тот период времени, когда он стабилен или совпадает со своим средним значением за период.
Для измерения уровня цен чаще всего используются несколько показателей:
• индекс потребительских цен;
• индекс оптовых цен производителя:
• дефлятор ВВП.
С помощью теории ОППС:
• строят прогнозы долгосрочной динамики номинальною валютного курса;
• при высокой инфляции оценивают макроэкономический дисбаланс;
• на паритетных основах определяется реальная международная стоимость национальных товаров и услуг.
На основе теории ОППС проводилась оценка курса советского (российского) рубля к доллару США разными организациями (табл. 1).
Из табл. 1 видно, что рыночный курс рубля значительно ниже, чем рассчитанный по всем вариантам ОППС.
Таблица 1
Недостатки теории ОППС практически те же, что и у теории АППС. На практике рассчитанные на ее основе курсы соответствуют фактическим на очень ограниченных временных отрезках. Однако теория ОППС, несмотря на все ее очевидные недостатки, и сегодня активно используется для прогнозов и расчетов. Теория общего равновесия (равновесия макроэкономического баланса) как основы равновесного валютного курса возникла в 1960-х гг. Теория устанавливает зависимость между реальным внутренним спросом (IDr) и реальным обменным курсом (Еr). Основные положения теории можно видеть из следующей схемы (рис. 3).
Рис. 3 - Определение равновесного валютного курса на основе теории общего равновесия
Равновесный валютный курс (Еq) определяется точкой пересечения (А) кривых внутреннего (IB) и внешнего (ЕВ) равновесия. Равновесный валютный курс в точке А одновременно является и оптимальным валютным курсом при данном состоянии экономики.
Движение от нулевой точки вверх всегда означает падение курса национальной валюты (рост курса иностранной валюты).
Кривая ЕВ (external balance) внешнего равновесия - это некая идеальная линия оптимального состояния платежного баланса (т.е. страна без проблем погашает отрицательное сальдо платежей по каждой стране-контрагенту и не испытывает проблем при получении средств от стран-должников).
Кривая IB (internal balance) внутреннего равновесия - это некая идеальная кривая состояния внутренней экономики, когда при минимально возможных инфляции и безработице достигается максимально возможный экономический рост.
Фактически экономика страны никогда не находится в таком состоянии, так же как и невозможно достижение точки А. Фактически реальный валютный курс может находиться в любой точке четырех сегментов.
Кривая внутреннего равновесия (IB) показывает обратную зависимость между реальным внутренним спросом и реальным валютным курсом: по мере роста реального валютного курса увеличивается спрос на национальные товары, так как импорт дорожает.
Сегменты II и III (справа от кривой IB) показывают, что объем производства находится ниже оптимального уровня, что ведет к излишнему совокупному спросу и выражается в росте инфляции.
Сегменты I и IV (слева от IB) показывают, что объем производства находится выше оптимального уровня, совокупный спрос недостаточен, что проявляется в росте безработицы.
Внешний баланс обычно сводится к балансу текущих операций.
Кривая внешнего равновесия (ЕВ) показывает прямую зависимость между реальным внутренним спросом (ID) и реальным обменным курсом (£,.), так как растущий валютный курс ухудшает внешний баланс и ведет к реальному обесценению валюты.
Если баланс достигается в сегментах I или II - сальдо платежного баланса положительное, курс валюты может быть занижен.
Если баланс достигается в сегментах III или IV - дефицит платежного баланса, курс может быть завышен.
Точка А определяет равновесный курс, соответствующий фундаментальным макроэкономическим закономерностям.
Сегменты вокруг точки А - это четыре типа дисбаланса, в которых может находиться экономика и которые влияют на валютный курс. Достижение равновесного валютного курса в каждом из четырех сегментов означает следующее.
Сегмент I - положительный баланс по текущим операциям на фоне перепроизводства, недостаточного внутреннего спроса и безработицы. Может свидетельствовать о заниженном валютном курсе и чрезмерно рестриктивной бюджетной политике. Встречается редко, прежде всего в развитых странах (Япония, Германия).
Сегмент II - положительный баланс по текущим операциям на фоне недопроизводства, излишнего внутреннего спроса и инфляции. Может свидетельствовать о заниженном валютном курсе и излишне экспансионистской бюджетной или денежной политике. Пример - Япония в период спадов 1993 г. и 1998 г. (падение производства на фоне положительного сальдо платежного баланса и заниженной иены).
Сегмент III - дефицит текущего баланса на фоне недопроизводства, излишнего внутреннего спроса и инфляции. Может свидетельствовать о завышенном валютном курсе и рестриктивной бюджетной политике. Пример - Великобритания, Швеция, Италия и Испания в 1987-1992 гг., когда дефицит текущего баланса сопровождался высокой инфляцией, что явно свидетельствует о завышенном курсе национальной валюты. Это и Россия периода 1992-1994 гг.
Сегмент IV - дефицит текущего баланса на фоне перепроизводства, недостаточного внутреннего спроса и безработицы. Свидетельствует о завышенном валютном курсе при чрезмерном расширении денежной массы и государственных расходов. Пример - США в 1985 г., когда объем производства превышал оптимальный, текущий баланс был дефицитным, а курс доллара - завышенным.
Теория общего равновесия является наиболее реальным методом анализа экономических процессов, прогнозирования курса и основой принятия решений.
Спрос и предложение на иностранную валюту постоянно меняются под влиянием самых различных факторов, которые в совокупности воздействуют на позиции страны в мировой экономике. Соответственно изменяется и курс национальной валюты.
Если страна использует режим плавающего валютного курса, его изменение является результатом взаимодействия рыночных сил спроса и предложения. В результате национальная валюта может либо обесцениться (что означает одновременное подорожание иностранной валюты), либо подорожать (что означает обесценение иностранной валюты).
Обесценение валюты (currency depreciation) - это снижение ее стоимости при режиме плавающего валютного курса.
Подорожание валюты (currency appreciation) - это увеличение ее стоимости при режиме плавающего валютного курса (рис. 4).
Рис. 4 - Изменение валютного курса под воздействием спроса и предложения при плавающем валютном курсе
Если S (предложение) постоянно, рост спроса переместит кривую D на уровень D1. Отрезок АВ - дефицит спроса. Он сдвигает баланс спроса и предложения национальной валюты в точку A1.
При фиксированном режиме валютного курса его адаптация к изменению объемов спроса и предложения происходит иначе. Валютный курс фиксирован, следовательно, уровень Ed/f не может изменяться (рис. 5).
Рис. 5 - Изменение валютного курса под воздействием спроса и предложения при фиксированном валютном курсе
Отрезок АВ - дефицит валюты.
Центральный банк для ликвидации дефицита начинает продавать резервы и кривая предложения смещается до S1.
Одновременно сокращается объем национальной валюты в обращении, т.е. денежная масса. Сокращение денежной массы означает сокращение расходов, в том числе на импорт, и кривая спроса от Z), постепенно смешается обратно на D.
При истощении валютных резервов Центрального банка государство для поддержания курса в результате длительного превышения спроса над предложением обязано принимать чрезвычайные меры:
• отказаться от фиксированного курса, или
• девальвировать национальную валюту до равновесного курса. Чрезвычайной считается ситуация, когда резервы снижаются до уровня менее восьми недель объема импорта товаров и услуг (рекомендации МВФ).
















