151371 (580573)
Текст из файла
Министерство образования и науки Украины
Донбасский государственный технический университет
Кафедра "Электрические машины и аппараты"
СЕМЕСТРОВОЕ ЗАДАНИЕ №1
"Надежность и диагностика электрооборудования"
(специальность 7.092206-электрические машины и аппараты)
Вариант №6
Выполнил: студент гр.
Проверил: старший преподаватель
Алчевск 2009
СОДЕРЖАНИЕ
Техническое задание
Введение
Решение поставленной задачи
Выводы
Перечень ссылок
ТЕХНИЧЕСКОЕ ЗАДАНИЕ №2 (В5)
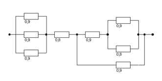
Дана с точки зрения надежности структурная схема электроустановки, содержащая в виде блоков электродвигатели, трансформаторы, пускорегулирующую аппаратуру и др. (см. рисунок 1). Известны вероятности безотказной работы входящих в нее элементов. Требуется найти вероятность безотказной работы всей электроустановки в целом.
А
В
C
D
Р
E
исунок 1- Структурная схема электроустановки
ВВЕДЕНИЕ
Надежность является важнейшим технико-экономическим показателем качества любого технического устройства, в частности электрической машины, определяющим ее способность безотказно работать с неизменными техническими характеристиками в течение заданного промежутка времени при определенных условиях эксплуатации.
Одним из способов определения надежности электрической машины является ее разбиение на блоки на базе единства функционирования и физических процессов, происходящих при работе машины. Найденная таким способом надежность называется структурная.
Структурной надежностью электрической машины называется результирующая надежность при заданной структуре и известных значениях надежности всех входящих в нее блоков или элементов.
РЕШЕНИЕ ПОСТАВЛЕННОЙ ЗАДАЧИ
Представленная система состоит из трех (А, С и Е) параллельных цепей различной надежности. Определим надежность блока А:
Блок В не резервируемый и имеет надежность
Определим надежность работы блока С:
Определим надежность работы блока D:
Определим надежность работы блока E:
Результирующая вероятность безотказной работы всей резервируемой системы равна:
Ответ:
ВЫВОДЫ
Расчет структурной надежности электроустановки показал, что результирующая вероятность безотказной работы всей резервируемой системы равна 0,79, что является очень низкой величиной. Это является следствием низкого значения вероятности безотказной работы блока В. Для увеличения вероятности безотказной работы рекомендуется, либо заменить блок В блоком с более большей вероятностью безотказной работы, либо зарезервировать блок В блоком с более большей вероятностью безотказной работы. Если блок В будет заменен блоком с вероятностью безотказной работы 0,96, то результирующая вероятность безотказной работы всей резервируемой системы станет равна 0,948, а если блок В будет зарезервирован блоком с вероятностью безотказной работы 0,9, то результирующая вероятность безотказной работы всей резервируемой системы увеличиться до 0,967.
Но на практике данные рекомендации выполнить не всегда является возможным.
ПЕРЕЧЕНЬ ССЫЛОК
Котеленец Н.Ф., Кузнецов Н.Л. Испытания и надежность электрических машин: Учебное пособие для вузов по спец. «Электромеханика». - М.: Высш. шк., 1988. - 232 с., ил.
Характеристики
Тип файла документ
Документы такого типа открываются такими программами, как Microsoft Office Word на компьютерах Windows, Apple Pages на компьютерах Mac, Open Office - бесплатная альтернатива на различных платформах, в том числе Linux. Наиболее простым и современным решением будут Google документы, так как открываются онлайн без скачивания прямо в браузере на любой платформе. Существуют российские качественные аналоги, например от Яндекса.
Будьте внимательны на мобильных устройствах, так как там используются упрощённый функционал даже в официальном приложении от Microsoft, поэтому для просмотра скачивайте PDF-версию. А если нужно редактировать файл, то используйте оригинальный файл.
Файлы такого типа обычно разбиты на страницы, а текст может быть форматированным (жирный, курсив, выбор шрифта, таблицы и т.п.), а также в него можно добавлять изображения. Формат идеально подходит для рефератов, докладов и РПЗ курсовых проектов, которые необходимо распечатать. Кстати перед печатью также сохраняйте файл в PDF, так как принтер может начудить со шрифтами.














