150758 (580479)
Текст из файла
Министерство образования и науки Украины
Донбасская государственная машиностроительная академия
Кафедра электротехники и электрооборудования
Расчетно-графическая работа
Расчет переходных процессов в линейных электрических цепях
Выполнил:
Проверил:
Краматорск
Задание
В заданных вариантах необходимо: для каждой цепи рассчитать токи и напряжения во время переходного процесса вызванного коммутацией - определить их аналитические выражения и построить временные графики i (t), u (t). Задачи решить классическим и операторным методами.
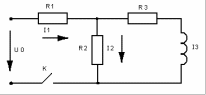
Задача №1
U0=1000 В
R1=120 Ом
R2=50 Ом
R3=10 Ом
L=0.4 Гн
Рис. 1.
Решение задачи классическим методом
Составим уравнения по 1-му и 2-му законам Кирхгофа в дифференциальной форме для послекоммутационного режима.
Составленную систему уравнений называют математической моделью динамического режима работы цепи.
Токи и напряжения до коммутации:
Принужденные составляющие токов и напряжения
Определим полные значения токов и напряжений в первый момент после коммутации. На основании первого закона коммутации:
Свободные составляющие токов и напряжений в первый момент после коммутации.
Составляем характеристическое уравнение и определяем показатель затухания:
Постоянная времени переходного процесса
7. Выражения для свободных токов и напряжений:
8. Определяем постоянные интегрирования:
9. Свободные токи и напряжения:
10. Полные токи и напряжения во время переходного процесса
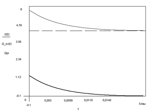
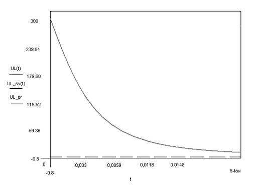
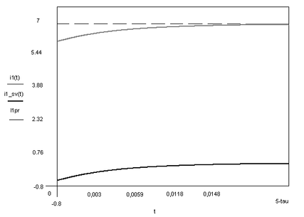
11. Построим графики токов и напряжений во время переходного процесса:
График тока i1
График тока i2
График тока i3
График напряжения на индуктивности ul
Решение задачи операторным методом
Рис.2.
Представим схему замещения цепи в операторной форме (рис.2) для после коммутационного режима.
Для расчета токов и напряжения U1в операторной форме используем метод непосредственного применения законов Кирхгофа. Составим уравнения по 1-му и 2-му законам Кирхгофа в операторной форме:
Так как напряжение на индуктивности до коммутации было равно нулю, внутренняя ЭДС
также равна нулю, в дальнейших расчетах ее не учитываем.
Из второго уравнения:
Из третьего уравнения:
Значения I2 (р) и I3 (р) подставим в первое уравнение:
Выражение для тока первой ветви в операторной форме:
Выражение для I1 (р) получено в виде дроби, числитель и знаменатель которой полиномы.
N (p) =150000 + 400р – полином числителя, где
М (р) = 23000р + 68p2 - полином знаменателя
Определяем корни полинома знаменателя:
23000p + 68 p2 = p (23000 + 68 p)
p1=0; p2=
Для перевода тока I2 (р) из области изображений в область временных функций применяем формулу
где N (р1) и N (р2) - соответственно значения полиномов числителя при корнях р1 и р2 М' (р1) и М' (р2) - значения производной от полинома знаменателя соответственно при корнях р1 и р2. Полиномы числителя при корнях р1 и р2:
N (р1) = 150000; N (р2) = 14706
Производная от полинома знаменателя:
М (р) = 23000 + 136p
Производная от полинома знаменателя при корнях р1 и р2.
м' (р1) = 23000; М' (р2) = - 23000;
Ток i1 во время переходного процесса:
Остальные токи и напряжения определим используя законы Ома и Кирхгофа
При расчете операторным методом получены те же выражения для токов и напряжения как и при расчете классическим методом, что подтверждает правильность выполненного расчета переходного процесса.
Задача №2
U0=160 B
R=80 Oм
L=0.8 Гн
С=20*10-6 Ф
Рис 3.
Необходимо найти закон изменения токов во всех ветвях и напряжений UL и UC в зависимости от времени и построить графики.
Решение задачи классическим методом
Математическая модель динамического режима работы цепи для послекоммутационного режима:
Решая данную систему дифференциальных уравнений, можно получить закон изменения токов и напряжений во времени в момент переходного процесса, не используя специальных методов. Доя упрощения решения системы воспользуемся классическим методом.
-
Токи и напряжения до коммутации.
-
Принужденные значения токов и напряжений
3. Полные значения токов и напряжений в первый момент после коммутации:
3. Свободные значения токов и напряжений в первый момент после коммутации:
Определим производные свободных токов и напряжений в момент времени непосредственно после коммутации, для чего составим систему уравнений, используя законы Кирхгофа.
Производные от тока на индуктивности и напряжения на емкости:
Отсюда
Все полученные результаты занесем в таблицу:
| i1 | i2 | i3 | UL | uс | |
| t = 0 + | 1 | 0 | 1 | 80 | 0 |
| t=∞ | 1 | 1 | 0 | 0 | 80 |
| Iсв (0+) | 0 | -1 | 1 | ||
| Uсв (0+) | 80 | -80 | |||
| I’св (0+) | 100 | 625 | |||
| U’св (0+) | -58000 | 50000 |
Составим характеристическое уравнение (для послекоммутационного режима) и определим его корни:
Подставим численные значения параметров цепи:
Решив квадратное уравнение получаем:
р1 = - 282.461
р2 = - 442.539
7. Определим постоянные интегрирования А1 и А2, и запишем выражения для токов и напряжений а) Для тока i1св:
Характеристики
Тип файла документ
Документы такого типа открываются такими программами, как Microsoft Office Word на компьютерах Windows, Apple Pages на компьютерах Mac, Open Office - бесплатная альтернатива на различных платформах, в том числе Linux. Наиболее простым и современным решением будут Google документы, так как открываются онлайн без скачивания прямо в браузере на любой платформе. Существуют российские качественные аналоги, например от Яндекса.
Будьте внимательны на мобильных устройствах, так как там используются упрощённый функционал даже в официальном приложении от Microsoft, поэтому для просмотра скачивайте PDF-версию. А если нужно редактировать файл, то используйте оригинальный файл.
Файлы такого типа обычно разбиты на страницы, а текст может быть форматированным (жирный, курсив, выбор шрифта, таблицы и т.п.), а также в него можно добавлять изображения. Формат идеально подходит для рефератов, докладов и РПЗ курсовых проектов, которые необходимо распечатать. Кстати перед печатью также сохраняйте файл в PDF, так как принтер может начудить со шрифтами.
















