150582 (580463), страница 2
Текст из файла (страница 2)
Из и и релятивистского выражения для энергии следует, что
Таким образом, образование первичной частицы характеризуется квадратичной поляризацией ее собственного времени, массы, импульса и энергии, но линейной поляризацией действия и углового момента.
Поляризация пространственно-временных состояний. Р В поляризуется как комплексное многообразие с размерностью Ь. Каждая его координата является комплексной величиной X + гу, где х\лу – действительные числа, имеющие два знака, которые характеризуют разные поляризационные состояния пространства. Например, изменение знака /их приводит к замене частицы на античастицу и негачастицу*' соответственно. Нетрудно подсчитать число поляризационных пространственно-временных состояний в ЯЯ-мерном ПВ. При линейной поляризации ПВ одно измерение имеет два состояния, различающихся знаком координаты, а ^/-измерений – 2Ь состояний. При нелинейной поляризации каждое из них порождает два состояния с мнимыми значениями координат разных знаков. Поэтому общее число ППС, различающихся знаком одной из действительных или мнимых координат, составит величину
причем для ППС имеет место соотношение
ППС формируют поляризационные мультиплеты частиц размерностью ка. Заполнение ППС начинается с минимальных Ь и завершается максимально возможными их значениями. Приведем несколько первых значений к^.
Последнее значение близко к числу фермионов во Вселенной. Большой диапазон значений ка определяет важную роль размерности ПВ в структурировании материи.
Поляризация безразмерных величин. Для них возможен канал линейно-нелинейной поляризации. Мы рассмотрим линейно-квадратичную поляризацию из
играющую важную роль в ряде природных явлений. Здесь возможна поляризация разнотипных физических величин или действительной и мнимой компонент одной величины. В последнем случае мы имеем скаляры
с равными модулями
Примером может служить величина
, характеризующая ППС двух комплексных пространств разной размерности. Ими могут быть пятимерное поляризационное ПВ частицы и четырехмерное пространство, куда она переходит после рождения. Этот тип поляризации описывает и рост размерности поляризационных мультиплетов.
Величина А играет важную роль в теории квантовых флуктуации. Под ее мнимой компонентой можно понимать частицы, приходящие из поляризационного ПВ или уходящие в него.
Квантовые спектры. Квантовые величины могут иметь два типа поляризационных спектров. Если спектр физической величины а включает вакуумное значение а = 0, то целочисленное квантование дает спектр
где а – величина кванта. Если же спектр не содержит вакуумного состояния, то он имеет вид
Таким энергетическим спектром с ап > 0 обладает квантовый осциллятор. Значение з = 0 соответствует колебаниям физического вакуума. Отрицательные энергетические спектры в физической теории возникают, но не интерпретируются как спектры негаматерии.
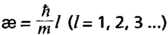
Спектры обоих знаков имеют проекции моментов в изотропном пространстве. Целочисленный спектр характеризует бозоны, полуцелый – фермионы. Из-за однозначности волновой функции изменение ее фазы при возвращении в исходную точку может быть лишь целым кратным от 2 р, т.е.
. Этот результат дает для углового момента частицы жидкости
значение
Мы получили условие квантования углового момента, являющееся следствие замкнутости траектории частицы.
Из выражения для циркуляции скорости можно найти изменение действия ДУ при обходе контура:
Момент и действие имеют одинаковый тип спектра. Соотношение позволяет записать волновую функцию сверхтекучего конденсата Ш = Аёф в квазиклассическом виде:
Ее можно рассматривать как скалярное волновое поле, фаза которого в вихревом поле жидкости квантуется. Вихревая нить представляет собой аксиально-симметричное вкрапление в потенциальном потоке сверхпроводящей жидкости.
Можно думать, что подобные потенциальные вихревые структуры возникают и в первичном скалярном поле. Их поверхность разделяет поля с разной пространственной симметрией. Ее можно рассматривать как поверхность частицы, где поляризуется новая физическая величина – масса. Такая частица представляет собой часть первичного потенциального поля вращения с осевой особенностью скорости, способная переходить в пространство М4, где реализуется принцип наименьшего действия, который запрещает деполяризацию частиц, сохраняя их в МА.
Так происходит образование первичного массивного вещества – вихрей, обладающих массой и угловым моментом /. Поскольку образование бозонов не должно нарушать изотропию вакуума, то оно происходит в форме мультиплета разноориентированных бозонов с проекциями на выделенную ось /ж = -/,… О,…/. Такие мультиплеты с различными / представляют собой вихревые возмущения скалярного поля. Из них возникают фермионы – вторичное вещество, которое участвует в образовании структур квантового мира – его /ж-вселенных, принадлежащих с-мирам. Эти вселенные характеризуются двумя мировыми константами с и И. Этого недостаточно для однозначного определения массы бозонов и фермионов. Она может варьировать под влиянием различных факторов, включая информационный. Эта степень свободы отличает Л-мир от гравитирующего мира центрально-симметричных вселенных, к которому принадлежит наша Вселенная.
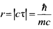
Гравитирующие вселенные. В /ж-мирах поляризация времени идет без образования «стрелы времени», т.е. не приводит к разделению вселенных частиц и античастиц, позитонов и негатонов. В отсутствие «стрелы времени» нельзя отличить настоящее от прошлого или будущего. Времени и эволюции в нашем понимании там нет. Реализуются стационарные квантовые состояния, между которыми переходы невозможны. Как будет показано далее, гравитация приводит к образованию «стрелы времени» у нуклонной материи, к разделению нуклонов, антинуклонов, негануклонов и антинегануклонов в подпространствах с разными знаками Я и ф, а также к асимметрии правой и левой материи. Поскольку гравитация возникает в сферически-симметричном пространстве и, радиус частицы
то
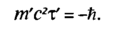
Эта известная, наверное, каждому формула СТО получает поляризационную интерпретацию. Она означает, что частица реализуется в релятивистском мире. Действительная масса т служит мерой энергии во внешнем пространстве частицы.
Мнимая компонента массы т' характеризует фронт расходящейся волны, распространяющейся во внутреннем мнимом подпространстве частицы. Фронт волны обозначим
, где
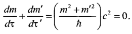
– его мнимое собственное время. Реактивная сила этой волны также действительна и проявляет себя во внешнем пространстве. Поэтому поляризация действия определяется, т.е.
Нулевое суммарное изменение массы в обеих волнах в момент рождения частицы дает
Это обосновывает и в рамках поляризационной модели. Потенциал реактивной силы расходящейся волны
Скалярное поле порождает два типа частиц – первичные и вторичные. Первичные частицы поляризуются в пространстве Вселенной, для которого имеет место квадратичная поляризация. Поэтому их действительный и мнимый она позволяет определить Щг):
Скалярные нейтральные частицы в релятивистском мире.
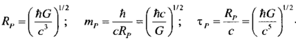
Из и следуют параметры первичной частицы, отмечаемые индексом Р:
Это не что иное, как параметры планковской частицы. В ПТ эта частица является фундаментальной: из них строится Вселенная. Мы будем называть ее массоном, имея в виду ее «тайную» миссию определять массы всех частиц Вселенной. Сегодня эта миссия возлагается Стандартной моделью на гипотетические хиггсовы бозоны, обнаружение которых сегодня считается главной целью экспериментальных исследований в физике элементарных частиц.
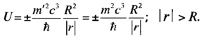
С учетом формула переходит в и определяет гравитационный потенциал частицы
в поляризационном пространстве в момент рождения I = 0. При ее переходе в релятивистский мир, где
и
, потенциал
заполняет со скоростью света его пространство. Когда его фронт достигает другой частицы с массой М, возникает притяжение с энергией
, где
теперь расстояние между частицами. Между мнимыми массами т' разного знака имеет место отталкивание, разделяющее вселенную и негавселенную.
В ПТ гравитация является квантовым взаимодействием поляризационно-реактивной природы и не имеет особенностей при Я = О. Поэтому нет никакой необходимости ее «вторичного квантования», которое считается нужным при классическом описании гравитации в ОТО для создания правильной картины мира при
Здесь ОТО неприменима, ибо не учитывает размеры частиц. Условие образования частиц можно записать в виде
Оно означает эквивалентность модулей инерционной и гравитационной (т') масс. Поскольку в принципе эквивалентности Эйнштейна и ОТО гравитационная масса считается положительной, т.е. фактически заменяется ее модулем, а отрицательные инерционные массы не рассматриваются, мы получаем поляризационное обоснование следствия из этого принципа для вещества скалярных бозонов. О поляризационном обосновании принципа наименьшего действия уже говорилось: он является условием отсутствия деполяризации частиц релятивистского мира.
Мы рассмотрели модель поляризационного образования скалярных нейтральных частиц. В ней потенциал реактивной силы, возникающий при образовании мнимой компоненты массы, порождает в релятивистском мире гравитационное или антигравитационное взаимодействие, разделяя вещество и негавещество при образовании 7-вселенных. Модель показывает, что формирование Вселенной сопровождается рождением массонов – ее темной материи, что требует иного, поляризационного, описания ее эволюции.
















