147215 (580167), страница 5
Текст из файла (страница 5)
• пассажиры, следующие прямым транзитом;
• трансфертные пассажиры с кратковременной остановкой (до 3 ч);
• трансфертные пассажиры с длительной остановкой ("стоп-овер");
• трансфертные пассажиры, следующие без виз.
Пассажиры прямого транзита (direct transit), которые после кратковременной остановки в аэропорту транзита продолжают воздушную поездку тем же ВС. Сетевой график обслуживания выглядит следующим образом:
1. Доставка пассажиров в "стерильную транзитную зону" аэровокзала, в которую исключен доступ посторонних лиц. Вручение транзитных карточек для учета количества пассажиров
2. Различные дополнительные услуги перед посадкой пассажиров в ВС (магазины сувениров, кафе, рестораны и другие виды услуг).
3. Контроль авиационной безопасности
4. При объявлении посадки пассажиров через телетрап или на автобусах доставляют к самолету
5. При посадке в самолет у пассажиров отбирается транзитная карточка.
Изъятие транзитных карточек для подсчета явившихся на посадку.
6. Посадка в ВС.
Если пассажир при международной ВП должен сделать пересадку на маршруте (transfer), то это потребует выполнение определенных операций, как в агентстве, так и в аэропорту начала ВП:
А) В АГЕНТСТВЕ:
- уточнение маршрута и пунктов пересадки (route intermediate points),
- подбор стыковочных рейсов по пунктам пересадки (transfer connections);
- бронирование места по всем участкам маршрута (reservation of scats);
- информация пассажира о требованиях к паспортам, визам и прививкам в странах трансфера, о правилах перевозки ручной клали;
Б) В АЭРОПОРТУ ВЫЛЕТА:
- проверка билета и документов, необходимых в аэропорту пересадки;
- оформление межлинейной багажной бирки"TRANSFER"
и при необходимости, если таковой имеется, оплата сверхнормативного багажа до пункта назначения или стоповера;
- накопление данных о трансфертных пассажирах для составления сообщения о них (РТМ - passenger transfer message).
2. Трансфертные пассажиры с кратковременной остановкой в аэропорту пересадки (short time transfer)
ТРАНСФЕР - передача пассажира с обслуживания одним перевозчиком на обслуживание другим перевозчиком одной и той авиакомпании или другой авиакомпанией. Передача пассажира с одного рейса на другой при стыковке рейсов должна занимать минимальное время, опубликованное в международном расписании.
У дежурного по транзиту трансфертный пассажир в аэропорту пересадки регистрирует билет на стыковочный рейс, после чего попадает в общий поток с первоначально вылетающими пассажирами данного рейса и проходит спецконтроль.
В это время его багаж силами авиакомпании, при наличии соглашения по "интерлайну" (interline agreement), переоформляется на другой рейс и доставляется к ВС стыковочного рейса.
Для подготовки к встрече трансфертных пассажиров и соблюдения минимального времени стыковки в аэропорт трансфера заранее посылают сообщение о трансфертных пассажирах РТМ (passenger transfer message)
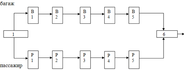
Сетевой график обслуживания трансфертных пассажиров с кратковременной остановкой в аэропорту пересадки:
1 - разгрузка прибывшего ВС (багаж, почта, груз)
В1- выгрузка и разделение багажа "TRANSFER" и прилетевших пассажиров
В2- доставка багажа в зону раздачи и в зону трансфера для переоформления на стыковочный рейс
В3 - переоформление багажа трансфертных пассажиров
В4 - доставка багажа трансфертных пассажиров к ВС
В5 - загрузка багажа трансфертных пассажиров в ВС
Р1 - высадка прилетевших и трансфертных пассажиров
Р2 - получение трансфертными пассажирами трансфертных карточек
Р3 - регистрация на стыковочный рейс у диспетчера по транзиту (ДТ)
Р4 - контроль безопасности перед посадкой в ВС с изъятием трансфертных карточек
Р5 - посадка пассажиров в ВС стыковочного рейса
6 - отправление ВС из аэропорта пересадки.
3. Пассажиры с длительной остановкой в промежуточном аэропорту (stopover).
Длительной остановкой (стоповером) называется случай, когда пассажир, прибыв в промежуточный аэропорт трансфера не имеет возможности продолжать воздушную поездку в течение ближайших 24 часов из-за отсутствия в день его прибытия стыковочного рейса.
Стоповером также называется заранее согласованный с перевозчиком перерыв в воздушной перевозке по просьбе пассажира (break of the journey arranged at the passenger request) в пункте, предусмотренном расписанием, кроме случаев, когда в данном пункте стоповер запрещен (stopover is not allowed) т. е. если:
- перевозчик не имеет коммерческих прав в этом пункте (the carrier has no traffic right), т. е. не может обмениваться коммерческой загрузкой;
- правила применяемых тарифов или скидок запрещают или ограничивают стоповер (prohibit or limit the stopover).
Сетевой график обслуживания пассажиров, делающих длительную остановку (stopover) в промежуточном аэропорту на маршруте:
1 - высадка из ВС и выгрузка багажа (disembarkation, unloading)
2- паспортно-визовый контроль (passport, visas)
3- получение багажа (baggage collect)
4- таможенный, санитарный, карантинный контроль (customs, sanitary)
5- отметка у диспетчера по транзиту о продолжении рейса после стоповера
6 - покидание аэропорта.
4 Обслуживание безвизовых пассажиров (TWOV - transit without visa).
В некоторых случаях, по рекомендациям ИКАО, пассажир может не иметь визы для страны, в которой производится пересадка на другой рейс. При этом необходимо выполнение следующих условий:
- у пассажира имеется билет на стыковочный рейс со статусом бронирования "OK";
- пребывание в стране трансфера лежит в пределах 24 часов, но всего не более 72 часов;
- пассажир не может покидать безвизовую зону аэровокзала или должен проживать в гостинице для безвизовых пассажиров.
ПО ПРИБЫТИИ в аэропорт трансфера пассажиры проходят все административные формальности, паспорта оставляют на КПП пограничной службы, сдают лишние вещи в камеру хранения, проверяют наличие брони на стыковочный рейс в сопровождении дежурного по транзиту следуют в гостиницу для безвизных пассажиров. При небольших интервалах времени между стыковочными рейсами безвизные пассажиры находятся в аэровокзале,
ПРИ ВЫЛЕТЕ пассажиры проходят все формальности, связанные с вылетом.
В любом случае, если на рейсе имеются трансфертные пассажиры, которым необходима пересадка на маршруте, то во все пункты пересадки передают сообщение об этих пассажирах, вылетающих из пунктов пересадки в течение календарных суток с момента прибытия в пункт трансфера "РТМ" (Passenger Transfer Message) - сообщение о трансфертных пассажирах.
Сообщение о трансфертных пассажирах из аэропорта Шереметьево (SVO) в Копенгаген (СРН) с пересадкой в Копенгагене на другие рейсы:
CPHAPRA
SVOKTRA
РТМ
RA 216/06 - № рейса из аэропорта Шереметьево, дата взлета.
SK 028/06 - № рейса, на который запланирована пересадка в Копенгагене до Парижа.
CDG Y3/RQI/SA1B3/1/0 - сведения о количестве пассажиров, их статусах бронирования, их багажа.
ВА 302/06 - № рейса на который запланирована пересадка в Копенгагене до Лондона
LHR Y2/RQ2/SA 2 В 2/1/1 - сведения о количестве пассажиров, их статусах бронирования, их багажа.
Предоставление услуг трансфертным пассажирам и распределение расходов за эти услуги
Правила применяются только при обслуживании пассажиров, следующих регулярными рейсами.
В случае нерегулярности полетов предоставление услуг трансфертным пассажирам производится в соответствии с "Инструкцией по обслуживанию и регистрации пассажиров, а также по составлению документов при нерегулярности полетов.
При предоставлении услуг трансфертным пассажирам следует учитывать условное деление мира на зоны ИАТА:
а) зона 1-я: весь американский континент и к нему прилегающие острова;
b) зона 2-я: Европа, включая Алжир, Тунис, Марокко, Исландию, Мальту, всю Турцию, Иран, Африку и все к ней прилегающие острова;
с) зона 3-я: Азия и все к ней прилегающие острова (кроме тех. Которые принадлежат к зоне 2-ой), Австралия, Новая Зеландия и острова в Тихом океане.
Для уточнения следует придерживаться соответствующих определений, содержащихся в последнем издании справочника "APT".
При предоставлении услуг трансфертным пассажирам существуют следующие ограничения.
До прибытия в аэропорт трансфера пассажир должен иметь билет для перевозки из аэропорта трансфера и подтвержденное бронирования на дальнейший полет (или же иметь в билете статус бронирования RQ, который в аэропорту трансфера изменяется на статус "OK" сразу после прибытия перед началом предоставления услуг).
Предоставление услуг трансфертным пассажирам производится:
а) до времени вылета ближайшего рейса того перевозчика, на самолете которого пассажир, согласно пассажирскому билету и указанному на нем бронированию должен вылетать из аэропорта трансфера, но
Ь) не более чем на 24 часа с момента прибытия пассажира в аэропорту трансфера.
Если пассажир вылетает из аэропорта трансфера после 24 часов пребывания, а в течение первых 24 часов есть регулярный рейс какого-либо другого перевозчика в пункт, куда трансфертный пассажир продолжает свой полет согласно своему билету, тогда перевозчику не разрешается нести расходы по трансфертным услугам.
Перевозчик не может нести расходы по предоставлению услуг трансфертным пассажирам в аэропортах трансфера в рамках зоны, включающей в себя Европу (СНГ - вся территория, всю Турцию в Европе и Азии, Алжир, Азорские острова, Исландию, Мадейру, Мальту, Марокко, Тунис), когда вся воздушная перевозка осуществляется в пределах этой зоны.
Расходы по предоставлению услуг трансфертным пассажирам перевозчик не может нести, если это запрещают услуги примененного тарифа, или когда пассажир в пункте трансфера делает перерыв ("стоп-овер"). Расходы, оплачиваемые в рамках услуг трансфертным пассажирам, могут включать в себя:
а) ночевку в гостинице (если она необходима);
b) питания;
c) наземный транспорт между гостиницей и аэропортом трансфера;
d) аэродромный сбор (если он взимается).
Объем услуг (количество блюд, время их предоставления, максимальные цены, стандарт гостиницы) в основном регулируется совместными правилами, которыми руководствуются авиакомпания в случае нерегулярности полетов, причем стоимость услуг не выплачивается пассажиру наличными, а только посредством выдачи талонов или аналогичных документов, предназначенных для соответствующего ресторана, гостиницы или подобного предприятия.
Указанное обслуживание не должно рекламироваться. Допускается лишь общая информация о самом факте предоставления обслуживания, предлагаемая пассажиру устно или в расписании авиакомпании.
















