142597 (579602), страница 4
Текст из файла (страница 4)
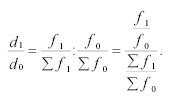
Рассмотрим изменение относительных величин структуры во
времени. Пусть
- доли какой-либо части в
общем итоге в отчетном и базисном периодах (значок «1» - отчетный период, значок «0» - базисный период). Тогда изменение доли во времени (относительная величина динамики) будет равно:
То есть, относительная величина динамики
вычисленная для доли, равна отношению относительных величин динамики, вычисленных для части
и целого
Рассмотрим пример 2. 4.
Удельный вес семей, имеющих 3 и более детей, по переписи населения 1970 г. Составил 16,8%. Определите долю семей, имеющих 3 и более детей в 1989 г., если известно, что численность семей за этот период увеличилась в 1,3 раза, а численность семей с 3 и более детьми уменьшилась на 21%.
Решение:
Удельный вес семей, имеющих 3 и более детей в базисном году 0 0 168 d , . Общее изменение численности семей в отчетном периоде по сравнению с базисным
. Численность семей с 3 и более детьми уменьшилась на 21%, то есть:
Доля семей, имеющих 3 и более детей в 1989 г. Составила 10,2%.
Относительные величины, характеризующие соотношение между частями одного целого, называют относительными величинами координации. К таким величинам относятся, например, показатели, характеризующие соотношение между численностью городского и сельского населения, между численностью рабочих и служащих, между численностью мужчин и женщин, между величиной заемного и собственного капитала банка.
Относительные величины координации нередко характеризуются числом единиц одной части на 100 или 1000 единиц другой части.
Например, в таблице 2.7 показано, сколько безработных приходится на 1000 человек занятых в экономике России. Данные таблицы свидетельствуют об устойчивой тенденции увеличения соотношения численности безработных и занятых в экономике России за шесть кварталов 1994 и 1995 гг.
Таблица 2. 7
Соотношение численности безработных и занятых в экономике России (промилле, о/оо)
Относительные величины сравнения отражают результаты сопоставления одноименных показателей, относящихся к одному и тому же периоду (или моменту) времени, но к разным объектам или территориям. Этот вид относительных величин применяется для сравнительной оценки уровня развития стран и регионов, а также при оценке результатов деятельности отдельных предприятий отрасли. Обычно их исчисляют в процентах или кратных отношениях, показывающих во сколько раз одна из сравниваемых величин больше (или меньше) другой.
Рассмотрим пример 2. 5 расчета относительных величин сравнения (табл. 2.8).
Таблица 2. 8
Соотношение производства некоторых основных видов промышленной продукции в России и США
Данные этой таблицы свидетельствуют об увеличении разрыва в производстве всех приведенных в таблице 2.8 видов промышленной продукции, а по таким видам продукции, как нефть и цемент, по которым Россия опережала уровень американского производства, наметилось отставание (с 1992 г. По цементу, а с 1993 г. По нефти) и довольно значительное.
Отношения между разноименными абсолютными величинами называют относительными величинами интенсивности. В их числе можно назвать показатели жизненного уровня населения, к которым относятся показатели потребления продуктов питания и непродовольственных товаров на душу населения, показатели обеспеченности населения предметами культурно-бытового и хозяйственного назначения длительного пользования в расчете на 100 семей или на 1000 человек населения; обеспеченности населения жильем и т.д. В практике статистической работы находят широкое применение показатели технической оснащенности труда: фондо-, машино- и энерговооруженность труда. Показатель энерговооруженности труда рабочих рассчитывается делением суммарной энергетической мощности, используемой в производственном процессе, на число рабочих в наиболее заполненной смене. Коэффициент фактической электровооруженности труда исчисляется делением потребленной за определенный период электроэнергии на число отработанных за этот период человеко-часов. Таким образом, с помощью относительных величин интенсивности оценивается уровень технического развития производства.
В отличие от относительных величин, являющихся результатом сопоставления одноименных показателей и представляемых с помощью коэффициентов или процентов, относительные величины интенсивности являются именованными числами (число аварий на 10 тыс. человек населения, производство хлопчатобумажных тканей в квадратных метрах на душу населения и т.д.).
Итак, относительные величины – один из важнейших способов обобщения и анализа статистической информации. Для полной характеристики различных сторон изучаемых явлений необходима система относительных величин, рассчитанных по ряду существенных признаков. Например, состав рабочих промышленного предприятия изучается по профессиям, полу, возрасту, уровню образования, стажу работы, квалификации, уровню механизации их труда, т.е. относительные величины структуры должны быть рассчитаны по группам, сформированным на основе вышеуказанных признаков. С другой стороны, важно выявить основные тенденции в изменении состава рабочих. Это требует сопоставления данных за ряд лет с помощью относительных величин динамики. Определенный интерес представляет сопоставление численности основных и вспомогательных рабочих и других относительных величин, позволяющих всесторонне характеризовать состав и движение рабочих.
Важно отметить, что в процессе экономико-статистического анализа абсолютные и относительные величины должны рассматриваться во взаимосвязи, т.е. пользоваться относительными величинами нужно не формально, а представлять какая абсолютная величина скрывается за каждым относительным показателем. Особенно важно соблюдать это положение при расчете относительных величин динамики.
Одно из главных требований, которое предъявляется при исчислении относительных величин, заключается в необходимости обеспечения сопоставимости сравниваемой величины и величины, принятой за базу сравнения. Прежде всего, должна быть обеспечена сопоставимость по методологии расчета сравниваемых показателей, по степени охвата объектов исследуемой совокупности и другим существенным обстоятельствам.
Резюме
Статистическое наблюдение является первой стадией статистического исследования, в результате него формируются первичные статистические данные, оно должно быть массовым, достоверным и систематическим. Необходимо установить его цель, определить объект и единицу наблюдения, разработать программу, выбрать вид и способ наблюдения. Полученные материалы систематизируются путем проведения статистической сводки.
Статистика измеряет и выражает количественную определенность явлений общественной жизни с помощью особых категорий . статистических величин, самые общие формы которых абсолютные и относительные величины.
Абсолютные статистические величины имеют большое научное и практическое значение. Они характеризуют наличие тех или иных ресурсов . материальных, денежных, трудовых, являются основой расчетов относительных величин, аналитических и обобщающих статистических показателей.
Относительные величины представляют собой обобщающий показатель, представляющий частное от деления одного абсолютного показателя на другой. Они абстрагируют различия абсолютных величин и позволяют сравнивать явления, абсолютные размеры которых непосредственно несопоставимы.
СПИСОК ИСТОЧНИКОВ ИНФОРМАЦИИ
1. Теория статистика / под ред. Р.А. Шмойловой Р.А. – М.:
«Финансы и статистика», 2004.
2. Общая теория статистики / под ред. И.И. Елисеевой – М.:
«Финансы и статистика», 2004.
3. Ефимова М.Р., Петрова Е.В., Румянцев В.Н. Общая теория
статистики. М.: «ИНФРА-М», 2007.
4. Башина О.Э., Спирин А.А. Общая теория статистики. М.:
«Финансы и статистика», 2005.
5. Статистика: учебник / под. ред. И.И. Елисеевой.- М.: Высшее
образование, 2007.















