142597 (579602), страница 3
Текст из файла (страница 3)
где xmax- максимальное значение признака, где xmin - минимальное
значение признака, h - длина интервала.
При анализе разнородных данных, например, при анализе материала, собранного в различные периоды времени, относящегося к различным отраслям народного хозяйства, возникает необходимость применения вторичной группировки.
Кроме того, методом вторичной группировки пользуются для того, чтобы показать интенсивность развития процессов и явлений в разнообразных условиях.
Вторичная группировка – образование новых групп на основе ранее сделанных группировок. Получение новых групп на основе имеющихся возможно двумя способами перегруппировки: путем укрупнения интервалов и на основе долевой перегруппировки.
Результаты группировочного материала оформляются в виде таблиц, где он излагается в наглядно-рациональной форме.
Статистическая таблица – это цифровое выражение итоговой характеристики всей наблюдаемой совокупности или ее составных частей по одному или нескольким существенным признакам.
Статистическая таблица содержит два элемента: подлежащее и сказуемое. Подлежащее статистической таблицы есть перечень групп или единиц, составляющих исследуемую совокупность единиц наблюдения. Сказуемое статистической таблицы – это цифровые показатели, с помощью которых дается характеристика выделенных в подлежащем групп и единиц.
Различают простые, групповые и комбинационные таблицы. В простых таблицах, как правило, содержится справочный материал, где дается перечень групп или единиц, составляющих объект изучения. При этом части подлежащего не являются группами одинакового качества, отсутствует систематизация изучаемых единиц. Сказуемое этих таблиц содержит абсолютные величины, отражающие объемы изучаемых процессов.
Групповые и комбинационные таблицы предназначены для научных целей, где, в отличие от простых таблиц, в сказуемом – средние и относительные величины на основе абсолютных величин.
Групповая таблица – это таблица, где статистическая совокупность разбивается на отдельные группы по какому-либо одному существенному признаку, при этом каждая группа характеризуется рядом показателей.
Комбинационная таблица – это таблица, где подлежащее представляет собой группировку единиц совокупности по двум и более признакам, которые распределяются на группы сначала по одному признаку, а затем на подгруппы по другому признаку внутри каждой из уже выделенных групп. Комбинационная таблица устанавливает существенную связь между факторами группировки. Такого рода статистические таблицы позволяют осуществить всесторонний анализ, но они менее наглядны.
Практикой выработаны определенные требования к составлению и оформлению таблиц.
1. Таблица по возможности должна быть краткой.
2. Каждая таблица должна иметь подробное название, из которого становится известно:
а) какой круг вопросов излагает и иллюстрирует таблица;
б) каковы географические границы представленной статистической совокупности;
в) за какой период времени, которому они относятся;
г) каковы единицы измерения (если они одинаковы для всех табличных клеток). Если единицы измерения неодинаковы, то в верхних или боковых заголовках обязательно следует указывать, в каких единицах приводятся статистические данные (тонн, штук, рублей и пр.).
3. Таблица может сопровождаться примечаниями, в которых указываются источники данных, более подробно раскрывается содержание показателей, даются и другие пояснения, а также оговорки в случае, если таблица содержит данные, полученные в результате вычислений.
4. При оформлении таблиц обычно применяются такие условные обозначения: знак тире (–) – когда явление отсутствует; х – если явление не имеет осмысленного содержания; многоточие (…) – когда отсутствуют сведения о размере явления (или делается запись «Нет сведений»).
Если сведения имеются, но числовое значение меньше принятой в таблице точности, оно выражается дробным числом (0,0).
Округленные числа приводятся в таблице с одинаковой степенью точности (до 0,1; до 0,01 и т.п.). Если в таблице приводятся проценты роста, то во многих случаях целесообразно проценты от 300 и более заменять отношениями в разах. Например, писать не «1000 %», а «в 10,0 раз».
Процесс получения обобщающих характеристик составляет сущность особого этапа статистического исследования – сводки.
Сводка – это характеристика выделенных групп и совокупности в целом с помощью статистических показателей. Статистический показатель – это обобщающая характеристика социально-экономических явлений и процессов в конкретных условиях места и времени.
Обобщающие показатели могут быть представлены абсолютными, относительными и средними величинами.
Путем непосредственного суммирования первичных данных получают обобщающие абсолютные показатели, которые характеризуют численность совокупности и объем (размер) изучаемого явления в конкретных границах времени и места. Например, численность населения России по переписи на 9 октября 2002 г. Составила 145,2 млн. человек, валовой внутренний продукт в 2006 г. – 26 781,1 млрд. руб. Первый показатель характеризует численность населения на определенный момент, и получают такие абсолютные величины по результатам сводки данных единовременного наблюдения. Второй показатель характеризует размер явления за определенный период, и он получен как результат сводки данных текущего наблюдения.
3. Абсолютные величины
Абсолютные величины являются всегда именованными числами, т.е. имеют какую-либо единицу измерения.
Натуральными принято называть такие единицы измерения, которые выражают величину предметов, вещей и т.д. в физических мерах веса, длины, площади и т.п. в соответствии с их физическими свойствами. Натуральные единицы измерения применяют в тех случаях, когда единица измерения соответствует потребительским свойствам продукта. Например, производство цемента оценивается в тоннах, тканей – в квадратных метрах, автомобилей – в штуках и т.д. Натуральные единицы могут быть составными (сложными). Например, грузооборот автомобильного и железнодорожного транспорта учитывается в тонно-километрах. Чтобы полнее охарактеризовать потребительское назначение продукции и изменение ее состава часто применяются различные единицы измерения для одного и того же вида продукции. Например, производство электродвигателей учитывается в штуках и киловаттах мощности, бумаги – в тоннах и квадратных метрах, стальных труб – в тоннах и погонных метрах.
При обобщении учетных данных даже на уровне предприятий, а тем более на уровне отраслей и народного хозяйства широко используются стоимостные (денежные) единицы измерения.
Для получения общего объема продукции в денежном выражении количество единиц каждого вида продукции в натуральном выражении умножается на цену соответствующего вида, а затем полученные произведения суммируют во всем видам. При определении стоимостных показателей объема продукции абсолютные величины получаются расчетным путем. Таким образом, абсолютные величины получают непосредственным подсчетом данных статистического наблюдения или расчетным путем.
Трудовые единицы измерения – человеко-час, человеко-день, человеко-год и т.п., используются для измерения затрат труда на производство продукции, на выполнение какой-либо работы, для определения производительности труда.
Абсолютные статистические показатели могут быть измерены с различной степенью точности. С переходом к более высоким ступеням обобщения применяются и более укрупненные единицы измерения. Например, производство металлорежущих станков на промышленном предприятии учитывается в штуках, а в масштабах страны – в миллионах штук; государственные закупки зерна в хозяйствах измеряются в тоннах, а по России в целом – в тысячах тонн.
4. Относительные величины
Анализ фактов обязательно приводит к необходимости различного рода сопоставлений. Тогда абсолютный показатель рассматриваются не только самостоятельно, но и в сравнении с другим показателем, который принимается за масштаб оценки или иначе за базу сравнения.
Относительная величина показывает, во сколько раз сравниваемая величина больше базисной или какую долю, первая составляет от второй, а в некоторых случаях – сколько единиц одной величины приходится на 100, на 1000, на 10000 и т.д. единиц другой базисной величины.
В соответствии с различными задачами и направлениями сопоставления статистических данных применяются различные виды относительных величин.
Сопоставлять можно одноименные показатели, относящиеся к различным периодам, различным объектам или разным территориям. Результат такого сопоставления может быть представлен коэффициентом (база сравнения принята за единицу) или выражен в процентах и показывает, во сколько раз или на сколько процентов сравниваемый показатель больше или меньше базисного. В результате соотношения одноименных показателей получают относительные величины динамики, относительные величины выполнения плана и планового задания, относительные величины структуры, относительные величины координации, относительные величины сравнения, относительные величины интенсивности.
Относительная величина динамики характеризует изменение явления во времени и показывает, во сколько раз увеличился (или уменьшился) уровень показателя 1 y по сравнению с уровнем 0 y предшествующего периода. Такое отношение называют коэффициентом роста
Коэффициент роста, выраженный в процентах, называется темпом роста
Относительные величины динамики могут быть рассчитаны как к постоянной базе, так и к переменной. Относительные величины динамики, характеризующие изменение уровня к постоянной базе, называются базисными, а к переменной - цепными. Базисные величины динамики рассчитываются по формуле
Цепные величины динамики рассчитываются по формуле
Порядок их расчета показан в таблице 2.4.
Таблица 2. 4
Численность работников предприятия за 2001-2005 гг., человек
В планах предприятий задания устанавливаются как в абсолютных показателях, так и в виде относительных величин.
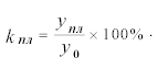
Относительная величина планового задания показывает, во сколько раз или на сколько процентов должна увеличиться (уменьшиться) величина показателя по плану в сравнении с его уровнем в предшествующем периоде
или
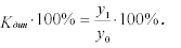
Степень выполнения плана оценивается с помощью относительной величины выполнения плана, которую получают отношением фактического уровня показателя в отчетном периоде к его уровню, запланированному на этот же период
Пример 2. 1. Фактически в 2005 году было произведено 2050 холодильников, а запланировано было произвести 2000. В 2004 году было произведено 1900 холодильников. Тогда, получим:
Относительная величина динамики может быть получена произведением относительных величин планового задания и выполнения плана, если величины выражены в коэффициентах
В ряде случаев расчет относительной величины выполнения плана может выполняться по методу нарастающего итога. Так, оценка выполнения квартального плана по объему продукции производится по данным, взятым нарастающим итогом с начала квартала, оценка выполнения годовых планов – нарастающим итогом с начала отчетного года: процент выполнения плана по объему продукции
где
фактический и запланированный объем продукции по месяцам года, n число месяцев (производится суммирование по месяцам).
Рассмотрим пример 2. 2 (табл. 2.5):
Таблица 2. 5
Объем продукции предприятия за I-е полугодие 2006 г. (млн.руб.)
Невыполнение плана имело место в январе и феврале, а за первый квартал и первое полугодие план был перевыполнен соответственно на 1,35% и 0,66%.
Относительные величины структуры характеризуют долю отдельных частей в общем объеме совокупности, их рассчитывают как отношение числа единиц (или объема признака) в отдельных частях совокупности к общей численности единиц (или объему признака) по всей совокупности. Относительные величины структуры обычно выражаются в виде процентов, их сумма составляет 100%. Относительные величины структуры рассчитываются по сгруппированным данным. При этом они могут быть рассчитаны не только по данным о численности единиц отдельных групп и общего их итога, но и по данным о величине, характеризующих их признаков. Например, произведя группировку предприятий по количеству занятых в них рабочих, можно определить удельный вес отдельных групп предприятий, как в общей их численности, так и в общей численности рабочих и т.п.
Рассмотрим пример 2. 3 расчета относительных величин структуры (табл. 2.6).
Таблица 2. 6
Группировка промышленных предприятий по числу работников (человек)















