126343 (578065), страница 6
Текст из файла (страница 6)
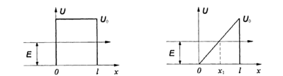
Найти для электрона с энергией E вероятность D прохождения потенциального барьера, ширина которого равна 1 и высота
, если барьер имеет форму, показанную: а) рисунок 1; б) рисунок 2.
| Дано: | СИ | Решение: |
| E | | Рис. 1. Рис. 2. Для потенциала, изображенного на рисунке 1, при Для потенциала, изображенного на рисунке 2, Ответ: а) |
| Найти: D=? |
Задача 3.
Короткий импульс света с энергией E=7.5 Дж, в виду узкого, почти параллельного пучка падает на зеркальную пластинку с коэффициентом отражения p=0.60. Угол падения
Определить с помощью корпускулярных представлений импульс, переданный пластинке.
| Дано: | СИ | Решение: |
|
| Дж | Пусть N-число фотонов в импульсе света с полной энергией E. Полный импульс налетающих фотонов равен Модуль импульса, переданного пластине, равен Подставляя в это выражение численные значения величин, находим Ответ: |
| Найти:
| нН*с |
Задача 4.
Частица движется слева направо в одномерном потенциальном поле, показанном на рисунке. Левее барьера, высота которого U=15эВ, кинетическая энергия частицы T=20эВ. Во сколько раз и как изменится дебройлевская длина волны частицы при переходе через барьер?
Задача 5.
Частица массой m находится в одномерной потенциальной яме в основном состоянии. Найти энергию основного состояния, если на краях ямы ψ – функция вдвое меньше, чем в середине ямы.
Задача 6.
Излучение Солнца по своему спектральному составу близко к излучению абсолютно черного тела, для которого максимум испускательной способности приходится на длину волны 0.48 мкм. Найти массу, теряемую Солнцем ежесекундно за счет этого излучения. Оценить время, за которое масса Солнца уменьшится на 1%.
| Дано: | СИ | Решение: |
| | С помощью закона смещения Вина найдем температуру поверхности Солнца: Энергия, теряемая Солнцем в виде излучения в единицу времени P, определяется произведением его энергетической светимости M на площадь излучающей поверхности: Согласно теории относительности Эйнштейна, энергия покоя тела Таким образом, время Ответ: | |
| Найти: | |
Задача 7.
Точечный изотропный источник испускает свет с λ=589нм. Световая мощность источника P=10Вт. Найти: а) среднюю плотность потока фотонов на расстоянии r=2.0 метра от источника;
б) расстояние от источника до точки, где средняя концентрация фотонов
| Дано: | СИ | Решение: |
|
|
| Найдем число фотонов, испускаемых источником в единицу времени Окружим точечный источник сферической поверхностью радиуса r. Очевидно, что число фотонов, пролетающих через эту поверхность в единицу времени, равно Расстояние r, на котором имеется заданная концентрация фотонов, определяется выражением: Ответ:
|
Задача 8.
Имеется два абсолютно черных источника теплового излучения. Температура одного из них
Найти температуру другого источника, если длина его волны, отвечающая максимуму его испускательной способности, на
больше длины волны, соответствующей максимуму испускательной способности первого источника.
| Дано: | СИ | Решение: |
| | Длина волны, на которую приходится максимум излучения первого источника, согласно закону смещения Вина, вычисляется по формуле: По условию задачи максимум испускательной способности второго источника приходится на длину волны: Вновь применяя закон смещения Вина, и используя выражение Ответ: | |
| Найти: |
Задача 9.
Найти длину волны коротковолновой границы сплошного рентгеновского спектра, если скорость электронов, подлетающих к антикатоду трубки, ν=0.85с, где c – скорость света.
| Дано: | СИ | Решение: |
|
| Коротковолновая граница сплошного рентгеновского спектра Поскольку, по условию задачи скорость электронов не мала по сравнению со скоростью света: Ответ: | |
| Найти:
|
|
Задача 10.
.
.















