102775 (576340), страница 2
Текст из файла (страница 2)
Техническая самоорганизация (как процесс) основана на программе автоматической смены алгоритма действия при изменении свойств управляемого объекта, цели управления или параметров окружающей среды (например, система самонаведения ракет). Как явление техническая самоорганизация — это набор альтернативных интеллектуальных адаптивных систем, обеспечивающих заданную работоспособность вне зависимости от условий функционирования. Среди них различают самонастраивающиеся, самообучающиеся и самоорганизующиеся системы.
Биологическая самоорганизация основана на генетической программе сохранения вида (как процесс), призванной обеспечить соматическое (телесное) построение объекта (как явление).
Социальная самоорганизация (как процесс) основана на общественной социальной программе гармонизации общественных отношений, включающей меняющиеся во времени приоритеты установок, интересов, ценностных ориентации, мотивов и целей относительно постоянных во времени законов организации. Самоорганизация реализуется путем самообучения, самовоспитания и самоконтроля. Как явление социальная самоорганизация — это конкретные поступки человека или организации, формы коммуникаций, выводы.
Основные качества, способствующие проявлению самоорганизации человека или организации, — это инициативность, мужественность, настойчивость, решительность, самоанализ, саморегуляция, самообладание, сдержанность, самодисциплина, терпение, умение предвидеть, самостоятельность, энергичность.
Позитивными формами проявления самоорганизации руководителя и специалиста выступают изобретательская и рационализаторская деятельность, создание эффективных машин и структур, техническое и управленческое консультирование.
Самообучение — это необходимое самопроизвольное стремление человека или организации к изменениям внутренней базы данных и базы знаний. Самообучение реализуется путем затрат собственного свободного времени и финансовых ресурсов на более полное удовлетворение потребностей и интересов в информации, знаниях и общении.
Самовоспитание может относиться как к человеку, так и к организации. Цель самовоспитания — преодоление вредных или создание, новых позитивных качеств личности или организации, в том числе формирование активной деловой политики, утверждение своей продукции, технологии или имиджа; самовнушение, самодисциплина и лояльность; самоодобрение и самостимулирование; преодоление отрицательных эмоций.
Самоконтроль — это контроль собственной деятельности человека, коллектива или организации, осуществляемый с целью сравнения результатов деятельности с имеющимися нормами, правилами и стандартами. Это сравнение позволяет человеку или другому объекту организации неформально оценить свою деятельность, выявить свои возможности для улучшения деятельности или убедиться в несоответствии работы своим силам и знаниям. Для проведения самоконтроля применяются самоанализ, самоотчет, самооценка, самоисповедь, тестирование по индивидуальному тесту, внутренний голос. По отношению к общественному контролю результаты самоконтроля могут быть: адекватными, завышенными или заниженными.
-
3. Основные элементы самоуправления
Самоуправление присуще любой системе. Под самоуправлением понимается автономное функционирование какой-либо социальной системы (коллективов, организаций, объединений и даже одного человека). Оно реализует потребность человека и организации к свободе, самовыражению и самопроявлению.
Самоуправление может быть только конкретно, например, для высшего управленческого персонала организации, для персонала конструкторского бюро и тд. Процесс самоуправления служит элементом демократизации общего управления в результате непосредственного участия работников в разработке решений компании, стратегий ее развития и др.
Рассмотрим три принципа самоуправления.
Принцип вторичностн. Самоуправление не может быть первичным в организации. Любая организация создается для удовлетворения какой-то общественной потребности или интереса. Она включается в систему хозяйственных или общественных организаций с заданной структурой под общим государственным управлением. Если организация не будет следовать законодательным актам государства, она будет ликвидирована. Полностью самоуправляемая организация практически невозможна.
Принцип сочетания управления и самоуправления. В любой организации управление и самоуправление должны сочетаться на каждом уровне управления. Данный принцип основан на обязательности удовлетворения потребностей и интересов персонала в организации, относящихся как к управлению, так и к самоуправлению (табл. 2.1.).
Таблица 2.1. Базисные потребности человека и общества, реализуемые с помощью самоуправления
| Потребности и интересы человека и общества | |
| относящиеся к управлению | относящиеся к самоуправлению |
| Организация жизни и деятельности Безопасность Управление Порядок и стабильность Информация Пища, жилье, одежда Творческий труд Вера и патриотизм Прибавочный продукт | Самовыражение и самопроявление Управление Неформальная информация Отдых Свободное время Творческий труд |
Принцип мягкой регламентации. Процесс самоуправления не может быть жестко регламентированным законодательными актами и положениями организации. Самоуправление основано на субъективизме активного персонала. В случае жесткой регламентации самоуправление вырождается в обычное управление с потерей ряда активизирующих потребностей и интересов.
-
-
4. Основные элементы самоорганизации
Изначально самоорганизация возникает спонтанно, а затем постепенно формируется самоуправление и, наконец, профессиональное управление, которое создает организационные функции и структуры управления.
Внутренние и внешние возмущающие воздействия приводят к нарушению принятого порядка деятельности в организации (к нарушению гармонии). Вследствие этого возникают процессы, помимо воли и сознания людей стремящиеся сформировать новые пропорции, ввести новые элементы в деятельность организации или вывести из нее устаревшие. Люди являются проводниками (осознанными или неосознанными) этих процессов. Кроме того, возмущающие процессы могут инициироваться и самоуправлением, профессиональным управлением, реализацией функций и структур управления (рис. 2.2.). Таким образом, может быть достаточно много циклов возникновения самоорганизации и вследствие этого самоуправления.
Рис. 2.2. Циклы возникновения самоорганизации в системе
Социальная самоорганизация может быть личной и коллективной. Личная самоорганизация в большей мере рассматривается в психологии и только частично в рамках теории организации в плане информационного обеспечения и формах самоорганизации. Коллективная самоорганизация может происходить в среде:
• внутренних коммуникаций (при выполнении работ в отделе, цехе, лаборатории и т.д.);
• внешних коммуникаций (при проведении региональных собраний, конференций, объединенных работ, при виртуальных контактах);
• рисковых (венчурных) операций (работа в условиях стрессов, неожиданностей, опасностей)
5. Схемы коммуникаций при самоорганизации
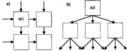
Схемы коллективной самоорганизации определяются типом среды коммуникаций. Для внутренней среды характерны типовые схемы отношений в виде линии, кольца, колеса, звезды и т.д., в которых узловым элементом является не руководитель, а неформальный лидер (НЛ) (рис. 2.3.).
Для среды внешних коммуникаций в добавление к приведенным на рис. 2.4. могут использоваться матричная и редко применяемая иерархическая схемы (рис. 2.5.), а также сочетания всех приведенных схем, которые могут быть реализованы в виртуальном виде.
Рис. 2.3. Некоторые схемы коллективное самоорганизации при внутренних коммуникациях:
а) пиния, б) кольцо, в) колесо, г) звезда, ( - члены неформальных организаций)
Рис. 2.4. Схемы коллективной самоорганизации при внешних коммуникациях:
а) матрица, б)иерархия
Для среды рисковых (венчурных) операций кроме приведенных на рис. 2.3. и 2.4. используется узловая схема на базе всех существующих схем, в которых на ключевых (узловых) местах выдвигаются неформальные лидеры. Они организуют только часть общей структуры и могут не знать о существовании других (рис. 2.5).
Рис. 2.5. Схема коллективной самоорганизации при рисковых операциях
-
-
Тесты
1. Основополагающие законы организации – это:
а) закон синергии;
б) корпоративная миссия;
в) закон самосохранения;
г) закон развития.
Основополагающими законами организации являются: закон синергии, самосохранения и развития.
Такие элементы как производительность, заинтересованность, научный потенциал, отношение к внешней среде, микроклимат в коллективе, кадровый потенциал, технический потенциал, перспективы развития, имидж составляют общий потенциал организации.
Закон синергии формулируется так: для любой организации существует такой набор элементов, при котором ее потенциал всегда будет либо существенно больше простой суммы потенциалов входящих в нее элементов (людей, компьютеров и т.д.), либо существенно меньше.
Этот закон важен т.к руководитель зная его будет стремиться найти такой набор элементов, который в совокупности будет носить созидательный характер и повысит способность к деятельности у организации.
Закон самосохранения: каждая материальная система (организация, коллектив, семья) стремится сохранить себя (выжить) и использует для достижения этого весь свой потенциал (ресурс).
Руководитель зная этот закон сможет вовремя распознать надвигающуюся опасность и принять меры, поэтому этот закон также важен.
Закон развития формулируется так: каждая материальная система стремится достичь наибольшего суммарного потенциала при прохождении всех этапов жизненного цикла. Является неотъемлемой частью жизни организации. Любая организация стремится к росту и развитию
2. Наиболее важные принципы организации:
а) лояльность организации;
б) полная самостоятельность в принятии организации;
в) принципы соответствия;
г) принципы приоритета цели.
Два последних принципа являются наиболее важными. Принцип приоритета цели – т.к любая организация создаётся с какой – либо целью, то стремление к ней и есть одно из важных условий для организации. Принцип соответствия важен, т.к организации всегда нужно соответствовать каким либо требованиям, например, соответствие принципу поставленных целей и выделенных ресурсов , для достижения поставленной цели и стабильному функционированию и развитию.
Список использованной литературы:
1. Смирнов Э.А. Основы теории организации. Учебное пособие. – М.: ЮНИТИ, 2000.
2. Мильнер Б.З. Теория организации. – М Инфра-М, 2004
3. Баранников А.Ф. Теория организации Учебник для вузов – М.: ЮНИТИ-ДАНА, 2004
4. Теория организации: Учебник/Под ред. В.Г. Алиева. – М Луч, 1999















