101257 (576042)
Текст из файла
1. Организация труда и её формы
Сущность, цель и задание организации труда
Функционирование производства, производственных систем всех уровней реализуется организованным трудом людей. Сущность организации труда заключается в создании оптимального взаимодействия работающих людей, орудий и предметов труда на основе целесообразной организации рабочих систем (рабочих мест) с учетом производительности и потребностей человека. Организация труда направлена на создание самых благоприятных условий труда, сохранение и поддержку на высоком уровне работоспособности работников, повышения степени привлекательности их труда и достижения полного использования средств производства.
Другими словами, организация труда – совокупность технических, организационных, санитарно-гигиенических мероприятий, которые обеспечивают более эффективное использование рабочего времени, оборудования, производственных навыков и творческих способностей каждого члена коллектива, устранения тяжёлого ручного труда и осуществления благоприятных влияний на организм человека.
Цель организации труда состоит из двух взаимоувязанных частей: повысить доходность предприятия или коэффициент полезного действия рабочей системы, то есть производить большее количество продукции надлежащего качества при низких расходах; гуманизировать труд путем снижения высокой нагрузки на работников и повышения безопасности труда. В условиях рыночной экономики на всех уровнях управления можно выделить экономические и социально-психологические задания относительно улучшения организации труда.
Экономические задания предусматривают достижение максимальной экономии живого труда, повышение производительности, снижения расходов на производство продукции и предоставление услуг надлежащего качества.
Социально-психологические задания заключаются в создании благоприятных условий труда и повышении культурно-технического уровня работников для обеспечения высокой их работоспособности и удовольствия от работы до основных практических заданий организации труды принадлежат:
1) разработки и улучшения процессов, методов и условий труда;
2) проектирование и рационализация рабочих мест, машин, инструментов, вспомогательных средств, процессов обработки предметов труда с учетом характера трудовых процессов.
Объектами организации труда являются рабочие системы (рабочие места) или системы труда разной величины, иерархического уровня сложности.
На уровне рабочих мест предметом организации являются трудовые движения, действия, приемы (комплексы) и условия их эффективного осуществления. На уровне нескольких взаимосвязанных «организованных» рабочих мест (например, участки) предметом организации выступают процессы труда, которые связывают эту группу в единственный технологический (производственный) процесс. На уровне подразделений или предприятия в целом предметом являются производственные процессы (производства), где основной составляющей являются трудовые процессы. Организация труда непосредственно связана с рационализацией, также анализом себестоимости и стоимости процессов и изделий.
Организация труда предусматривает комплекс мероприятий, который охватывает: организацию трудовых процессов, рабочих мест и средств производства с ориентацией на критерии: количественный результат, качество, расходы, нагрузка на работающих, безопасность; Организацию процесса труда в пределах нескольких рабочих мест с ориентацией на критерии: время прохождения материала, использование средств труда; проектирование изделия по критериям: функция, продуктивность, форма.
Направления организации труда
Рыночная ситуация требует от предприятий осуществления постоянных технико-технологических нововведений, результативность которых зависит от уровня организации труда работников. Основными направлениями повышения уровня организации труда и ее эффективности являются:
• распределение и кооперация труда, которые заключаются научно в обоснованном распределении работников по определенным трудовым функциям, рабочим местам, а также объединение их в производственные коллективы;
• организация и обслуживание рабочих мест, которые способствуют рациональному использованию рабочего времени;
• нормирование труда, что предусматривает определение норм трудовых затрат на производство продукции и предоставления услуг как основу для организации труда и определения эффективности производства;
• организация подбора персонала и его развитие, которые охватывают планирование, профориентацию, профотбор, наем персонала, повышение его квалификации, планирование карьеры и тому подобное;
• оптимизация режимов труда и отдыха, которые предусматривают установление самого рационального дежурства времени работы и отдыха на протяжении рабочей смены, недели, месяца. Отдых, его содержание и длительность должны максимально способствовать достижению высокой работоспособности на протяжении рабочего времени;
• рационализация трудовых процессов, приемов и методов труда на основе обобщения прогрессивного опыта. Рациональным считается такой способ работы, который обеспечивает минимальные затраты времени;
• улучшение условий труда, что приводит к минимизации вредности производства, тяжелых физических, психологических нагрузок, а также формирования системы охраны и безопасности труда;
• укрепление дисциплины труда, повышения творческой активности работников;
• мотивация и оплата труда.
Организация труда на предприятиях, в отдельных отраслях производства осуществляется в конкретных формах, разнообразие которых зависит от таких основных факторов: уровня научно-технического прогресса; системы организации производства; психологических особенностей людей; экологического состояния среды; а также от ряда факторов, обусловленных характером заданий, которые решаются в разных звеньях производственной системы.
Деление труда.
Обособление отдельных производственных процессов и работ предусматривает деление труда. Под внутренне производственным делением труда понимают отделение разных видов работ, которые представляют собой частичные процессы создания продукции и закрепления их за рабочими местами, участками производственного процесса.
Цель деления труда – выпуск в установленные сроки высококачественной продукции с минимальными затратами труда и материальных ресурсов.
Есть такие формы деления труда на предприятия: операционная, функциональная, технологическая, профессионально-квалификационная.
Кооперация труда – это объединение исполнителей для скоординированного участия в одном или разных, но связанных между собой процессах труда. Исходя из конкретных организационно-технических условий и особенностей производства, на предприятии используются такие основные формы кооперации труда: межцеховая, внутренне цеховая и внутренне участковая.
Границы деления и коопераций труда. Большое значение для организации трудовых процессов имеет установление рациональных границ деления и кооперации труда. У деления труда это: экономическая граница, в которой её предельно возможная величина увеличения совокупного фонда рабочего времени или производственного цикла; техническая граница, которая зависит от технических возможностей производства; физиологичная граница, связанная с допустимыми физическими и психическими нагрузками на рабочего; социальная граница, которую определяет минимально необходимое разнообразие выполняемых функций, которые обеспечивают содержательность и привлекательность труда. Кооперация труда зависит, главным образом, от организационных и экономических границ.
Организационные формы труда
Рациональное внутрипроизводственное деление труда предусматривает соблюдение таких обязательных условий:
• обеспечение использования трудового потенциала работников;
• расширение трудового профиля и рост квалификации;
• устранение однообразия труда и повышения ее содержательности.
Эффективность осуществления производственных процессов, использование средств труда, расходы на изготовление продукции и ее качество в значительной мере зависят от выбора той или другой формы организации труда: совмещения профессий (функций), многостаночного обслуживания, коллективного (бригадной) труда. – это выполнение одним работником разнообразных функций или работ при овладении несколькими профессиями или специальностями.
Совмещение профессий играет важную роль в обеспечении более рационального использования рабочего времени, более полной загрузки оборудования, эффективного использования кадров, повышении квалификации, а также является весомым фактором повышения эффективности труда без дополнительных трудовых ресурсов.
Среди эффективных форм организации труда, которые способствуют повышению производительности труда, важное место занимает многостаночное обслуживание.
Многостаночное обслуживание базируется на совмещении профессий и определении очередности выполнения ручных операций на нескольких единицах оборудования. Другими словами, один рабочий, или группа (бригада) исполнителей работает одновременно на нескольких станках (машинах, агрегатах), выполняя ручные приёмы на каждом из них во время автоматической работы всех других. В итоге несколько станков работают параллельно или параллельно-последовательно, при этом количество операторов будет меньше, чем количество единиц оборудования, что обслуживаются ими.
Расчет параметров многостаночного обслуживания
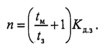
Количество станков (n), на которых может одновременно работать исполнитель, определяется за формулой:
tм – машинное время работы станка, мин;
tз – время занятости рабочего на станке, что обслуживается;
– общее время выполнения всех ручных приемов на станке (установка, снятие детали, включение агрегата, подвод резца и т.д.) мин.;
– общее время активного контроля рабочего-многоверстатника за работой станков, мин.;
– время на переходы рабочего между станками за установленным маршрутом, мин.
Количество верстатов, что обслуживаются, определяется с учетом коэффициента занятости (Кз)
Да, при одинаковой длительности операций количество станков, что обслуживается, определяется по формуле:
При разной длительности операций, которые выполняются, количество станков, которое подлежит обслуживанию, определяется по формуле:
сумма машинного времени на всех станках, которые обслуживаются, мин. В случае получения в результате расчета мелкого числа станков его округляют к меньшему или большему целому. Если принятое число (n) меньше расчетного (nр), то (n-1) tз
Характеристики
Тип файла документ
Документы такого типа открываются такими программами, как Microsoft Office Word на компьютерах Windows, Apple Pages на компьютерах Mac, Open Office - бесплатная альтернатива на различных платформах, в том числе Linux. Наиболее простым и современным решением будут Google документы, так как открываются онлайн без скачивания прямо в браузере на любой платформе. Существуют российские качественные аналоги, например от Яндекса.
Будьте внимательны на мобильных устройствах, так как там используются упрощённый функционал даже в официальном приложении от Microsoft, поэтому для просмотра скачивайте PDF-версию. А если нужно редактировать файл, то используйте оригинальный файл.
Файлы такого типа обычно разбиты на страницы, а текст может быть форматированным (жирный, курсив, выбор шрифта, таблицы и т.п.), а также в него можно добавлять изображения. Формат идеально подходит для рефератов, докладов и РПЗ курсовых проектов, которые необходимо распечатать. Кстати перед печатью также сохраняйте файл в PDF, так как принтер может начудить со шрифтами.















