85755 (574906)
Текст из файла
Варивант №2
Задание 1
Дан треугольник ABC, где А(-3,2), В(3,-1), С(0,3). Найти:
-
Длину стороны АВ;
-
Внутренний угол А с точностью до градуса;
-
Уравнение и длину высоты, опущенной из вершины С;
-
Точку пересечения высот;
-
Уравнение медианы, опущенной из вершины С;
-
Систему неравенств, определяющих треугольник АВС;
-
Сделать чертеж;
Решение:
-
Найдем координаты вектора АВ:
Длина стороны АВ равна:
-
Угол А будем искать как угол между векторами АВ и АС(-3,1)
Тогда
-
Прямая СК перпендикулярна АВ проходит через точку С(0,3) и имеет нормалью вектор
.
По формуле получим уравнение высоты:
Сокращаем на 3 получим уравнение высоты:
-
Координаты основания медианы будут:
;
Уравнение медианы найдем, пользуясь данной формулой, как уранение прямой, проходящей через 2 точки: С и М
Так как знаменатель левой части равен нулю, то уравнение медианы будет иметь такой вид х=0
-
Известно что высоты треугольника пересекаются в одной точке Р. Уравнение высоты СК найдено, выведем аналогично высоту BD проходящую через точку В перпендикулярно вектору
Координаты точки Р найдем как решение системы уравнений:
х=11 у=23
-
Длину высоты hc будем ее искать как расстояние от точки С до прямой АВ. Эта прямая проходит через точку А и имеет направляющий вектор
.
Теперь воспользовавшись формулой
Подставляя в нее координаты точки С(0,3)
Задание 2
Даны векторы
Доказать, что
образуют базис четырехмерного пространства, и найти координаты вектора «в» в этом базисе.
Решение:
-
Докажем, что подсистема
линейно независима:
Из четвертого уравнения имеем , что
, тогда из первого, второго и третьего следует, что
. Линейная независимость доказана.
Докажем, что векторы
можно представить в виде линейных комбинации векторов
.
Очевидно,
Найдем представление
через
.
Из четвертого уравнения находим
и подставляем в первые три
Получили , что данная система векторов не может называться базисом!
Задание 3
Найти производные функций:
Задание 4.
Исследовать функцию и построить ее график
-
Область определения:
, то есть
2. Кривая
имеет вертикальную ассимптоту х=-1, так как
Находим наклонные асимптоты.
а то означает, что есть вертикальная асимптота у=0.
-
Функция общего вида, так как
и
-
Функция периодичностью не обладает
-
Находим производную функции
Получаем 3 критические точки х=-1 х=1, и х=5.
Результаты исследования на монотонность и экстремумы оформляется в виде таблицы
| х | | | 1 | | 5 | |
| y’ | - | - | 0 | + | 0 | - |
| y | убывает | убывыает | 0 min | возрастает | 0,074 | убывает |
-
Находим вторую производную функции
Получаем критические точки х=-1; х=0,22; х=6,11
Результаты исследований на выпуклость и точки перегиба оформляем в виде таблицы.
| х | | | 0.22 | | 6.11 | |
| y” | - | + | 0 | + | 0 | - |
| y | выпукла | вогнута | 0,335 перегиб | вогнута | 0,072 | выпукла |
-
Находим точки пересечения графика с осями координат Ох и Оу
получаем точку (0;1);
получаем точку (1;0)
-
При х=-2, у=-9, при х=-5, у=-0,56, при х=-10, у=-0,166
-
Строим график в соответствии с результатами исследований:
Задание 5
Найти неопределенные интегралы и проверить их дифференцированием.
а)
; б)
; в)
; г)
Решение:
а) сделаем подстановку sin3x=t, тогда dt=cos3x dx, следовательно:
Проверка:
б) сделаем подстановку
Проверка:
в) Воспользуемся способом интегрирования по частям
Проверка:
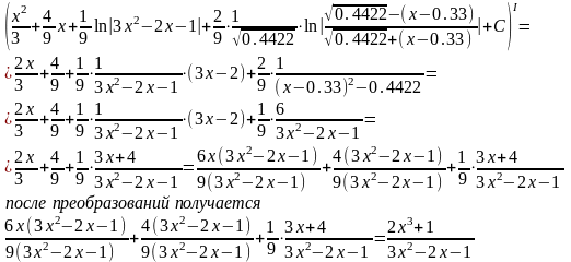
г) воспользуемся способом интегрирования рациональных дробей
Проверка:
Задание 6
Вычислить площадь фигуры, ограниченной графиками функций:
Решение:
находим координаты точек пересечения заданных графиков функций:
приравнивая правые части, получаем квадратное уравнение
корни этого квадратного уравнения
следовательно :
, и значит координаты точек пересечения А(0,7) и В(5,2). Точка х=2 находится между точками 0 и 5. Подставляя в уравнения 2 получаем:
т.к
получаем:
Характеристики
Тип файла документ
Документы такого типа открываются такими программами, как Microsoft Office Word на компьютерах Windows, Apple Pages на компьютерах Mac, Open Office - бесплатная альтернатива на различных платформах, в том числе Linux. Наиболее простым и современным решением будут Google документы, так как открываются онлайн без скачивания прямо в браузере на любой платформе. Существуют российские качественные аналоги, например от Яндекса.
Будьте внимательны на мобильных устройствах, так как там используются упрощённый функционал даже в официальном приложении от Microsoft, поэтому для просмотра скачивайте PDF-версию. А если нужно редактировать файл, то используйте оригинальный файл.
Файлы такого типа обычно разбиты на страницы, а текст может быть форматированным (жирный, курсив, выбор шрифта, таблицы и т.п.), а также в него можно добавлять изображения. Формат идеально подходит для рефератов, докладов и РПЗ курсовых проектов, которые необходимо распечатать. Кстати перед печатью также сохраняйте файл в PDF, так как принтер может начудить со шрифтами.
.
.
линейно независима:
и














