83118 (574714), страница 2
Текст из файла (страница 2)
М — количественная оценка фактически оказываемого объема логистического сервиса,
м — количественная оценка теоретически возможного объема логистического сервиса. 4
Для оценки уровня логистического сервиса выбираются наиболее значимые виды услуг, т.е. услуги, оказание которых сопряжено со значительными затратами, а не оказание — с существенными потерями на рынке.
Как правило увеличение объема производства за счет количества или ассортимента сопровождается ростом уровня сервиса. Эти два фактора — увеличение объема производства и сервисных услуг тесно взаимосвязаны. Т.е. с одной стороны, повышаются расходы на сервис, а с другой — ростом объема продаж и, соответственно, ростом доходов. Задача, стоящая перед службой логистики заключается в поиске оптимальной величины уровня сервиса, с необходимыми количественными и качественными показателями.
Убыточность торгового процесса при низких значениях логистического сервиса возникает на развитых рынках услуг. Допустим, предприятие оптовой торговли намеревается работать на развитом рынке оптовых услуг с широтой ассортимента в пределах 10% от предлагаемого конкурентами. Затраты по созданию ассортимента могут не окупаться в связи с низкой заинтересованностью покупателей в условиях этого оптовика и, соответственно, низким объемом продаж.
Оптимальное значение уровня сервиса можно найти также сложив затраты на сервис и потери на рынке, вызванные снижением уровня сервиса.
Для оценки качества логистического сервиса применяются следующие критерии:
-
надежность поставки;
-
соблюдение указанного в договоре полного время от получения заказа до поставки партии товаров;
-
способность учитывать особые пожелания клиентов (гибкость поставки);
-
наличие запасов на складе поставщика;
-
возможность предоставления кредитов, а также ряд других.
9. Практическая часть
Определение размеров технологических зон склада
Оптовая фирма, торгующая широким ассортиментом продовольственных товаров, планирует расширить объем продаж. Анализ рынка складских услуг региона деятельности показал целесообразность организации собственного склада. Определить размер склада.
Общая площадь склада (Sобщ) определяется по формуле:
Sобщ = Sгр+ Sвсп + Sпр+ Sкм+ Sр.м + Sп.э+ Sо. э,
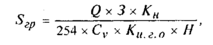
1) Грузовая площадь (Sгр) рассчитывается по формуле:
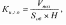
Коэффициент использования грузового объема склада характеризует плотность и высоту укладки товара и рассчитывается по формуле:
Vпол=600*400*(144+1200)
Vпол=0,6*0,4*1,344=0,32256
Sобщ=(600+60)*(400+30)*(144+1200+80)
Sобщ=0,66*0,43*1,424=0,4041
Киго=0,32250/0,4041=0,7983
Sгр=20*25*1,2/254*350*0,7983*1,2=600/85162,644=7045,34м2
2) Площадь проходов и проездов (Sвсп) определяется после выбора варианта механизации и зависит от типа использованных в технологическом процессе подъемно-транспортных машин. Если ширина рабочего коридора работающих между стеллажами машин равна ширине стеллажного оборудования, то площадь проходов и проездов будет приблизительно равна грузовой площади.
Sвсп= Sгр=7045,34 м2
3) Площади участков приемки и комплектования (Sпр и Sкм) рассчитываются на основании укрупненных показателей расчетных нагрузок на 1 м2 площади на данных участках. В общем случае в проектных расчетах исходят из необходимости размещения на каждом квадратном метре участков приемки и комплектования 1 м3 товара.
Площади участков приемки и комплектования рассчитываются по следующим формулам:
'
Sпр=20*1,2*65*0,2/50*254*0,7*100=312/8890000=35,09 м2
Sкм=20*1,2*55*0,3/500*254*0,7*100=396/8890000=44,54м2
4) Площадь рабочих мест (Sрм)
Рабочее место заведующего складом, размером в 12 м2, оборудуют вблизи участка комплектования с максимально возможным обзором складского помещения.
Sрм=12 м2
5) Площадь приемочной экспедиции (Sпэ) используется для размещения товара, поступившего в нерабочее время и должна обеспечить размещение такого количества товара, которое может поступить в это время. Размер площади приемочной экспедиции определяют по формуле:
Sпэ=20*1*1,2/500*365*05=24/91250=263,01 м2
6) Площадь отправочной экспедиции (Sоэ) используется для комплектования отгрузочных партий и определяется по формуле:
Sоэ=20*1,5*80*1,2/500*254*0,5*100=2880/6350000=453,54 м2
Sобщ=7045,34+7045,34+35,09+44,54+12+263,01+453,54=14901,2 м2
Таблица 2 Значение технологических параметров склада
| № n/n| | Наименование площадей склада | Значение |
| 1. | Грузовая | 7045,34 м2 |
| 2. | Проходов и проездов | 7045,34 м2 |
| 3. | Участка приемки | 35,09 м2 |
| 4. | Участка комплектования | 44,54 м2 |
| 5. | Рабочих мест | 12 м2 |
| 6. | Приемочной экспедиции | 263,01 м2 |
| 7. | Отправочной экспедиции | 453,54 м2 |
| 8. | Общая площадь склада | 14901,2 м2 |
Список используемой литературы
-
Гаджинский А.М. Логистика: учебник для высших и средних специальных учебных заведений. – 19-е изд., перераб. и доп. - М.: Издательско-торговая корпорация «Дашков и Ко», 2011. – 484 с.
-
Моисеева Н.К. Экономические основы логистики: Учебник. – М.: ИНФРА М, 2008. – 528 с.
-
Неруш Ю.М. Логистика: учебник для вузов. - 4-е изд., перераб. и доп. - М.: Проспект, 2011. – 520 с.
1 Моисеева Н.К. Экономические основы логистики: Учебник. – М.: ИНФРА – М, 2008. – 528 с.
2 http://logistic-info.org.ua/
3 Гаджинский А.М. Логистика: учебник для высших и средних специальных учебных заведений. – 19-е изд., перераб. и доп. - М.: Издательско-торговая корпорация «Дашков и Ко », 2011. – 484 с.
4 www.bibliotekar.ru















