80941 (574302)
Текст из файла
Федеральное агентство по образованию
Новосибирский государственный университет экономики и управления
Кафедра сервиса и организации коммерческой деятельности
Контрольная работа
Учебная дисциплина: маркетинг
Новосибирск 2009 год
Введение
Маркетинг представляет собой нечто большее, чем просто продвижение товаров и услуг на рынок. Заставить покупателя купить то, что может предложить компания задача сбыта. С помощью маркетинга заставляют предприятие делать то, что необходимо потребителю. Маркетинг двусторонний процесс, который основан на взаимосвязи производственных сил и потребителя.
Маркетинг - это процесс планирования и управления разработкой изделий и услуг, ценовой политикой, продвижением товаров к потребителю и сбытом, чтобы достигнутое таким образом разнообразие благ приводило к удовлетворению потребностей, как отдельных личностей, так и организаций. Современная концепция маркетинга состоит в том, чтобы все виды деятельности предприятия основывались на знании потребительского спроса и его изменений в перспективе. Более того, одна из целей маркетинга заключается в выявлении неудовлетворенных запросов покупателей, чтобы ориентировать производство на удовлетворение этих запросов. Система маркетинга ставит производство товаров в функциональную зависимость от запросов и требует производить товары в ассортименте и количестве, нужном потребителю.
Появление маркетинга как определенной системы хозяйствования, метода решения производственно-рыночных проблем - это на что иное, как ответная реакция хозяйственной единицы, на такие процессы, как усложнение проблемы производства и реализации товаров вследствие стремительного расширения их ассортимента, быстрого обновления, небывалого ранее возрастания производственных возможностей, частых сдвигов в характере и структуре рыночного спроса, его конъюнктурных колебаний, все большего обострения конкуренции на рынке.
1. Маркетинг как философия бизнеса
Маркетинг - результат многолетней эволюции взглядов менеджеров на цели, задачи и методы развития промышленности и торговли. Большое влияние на формирование концепции маркетинга оказал научно-технический прогресс, обеспечивший широкое разнообразие товаров, высокие темпы их обновления, эффективное управление производством.
В контексте становления маркетинга, управление производством, прошло в своем развитии несколько этапов. Они стали отражением социальных, экономических и политических перемен, происходивших в том или ином обществе, причем, несмотря на то, что каждая страна вписывала свои страницы в историю становления и развития маркетинга сформировалась общая тенденция развития, которая выразилась в переносе акцента с производства товара для потребителя вообще на более удовлетворение нужд и потребностей конкретных потребителей или их групп.
Исторически первой возникла так называемая концепция совершенствования производства, основывавшаяся на утверждении, что потребители будут благожелательно относиться к товарам, которые широко представлены на рынке и доступны по цене.
Решение такой задачи требует:
-
постоянного совершенствования технологии и организации производства;
-
сосредоточения усилий на производстве максимального объёма товаров для получения экономии на масштабе производства и, следовательно, снижения себестоимости и цены продукции;
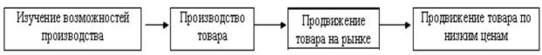
Такой подход вполне оправдан, когда спрос существенно превышает предложение или, когда себестоимость единицы продукции достаточно велика и ее необходимо уменьшить за счет организации массового производства.
Схема организации деятельности фирмы в условиях применения концепции совершенствования производства представлена на рис. 1.
Рис. 1 - Схема концепции совершенствования производства
В мировой экономической истории классическим примером разработки и реализации такой концепции является автомобильная компания Ford. Суть проблемы, которую вознамерился решить Г. Форд I заключалась в совершенствовании производства автомобиля модели " Т" таким образом, чтобы за счет снижения его себестоимости сделать автомобиль доступным широкому потребителю, что волне отвечало потребностям эпохи бурного развития американского общества конца XIX начала XX века. В результате Г. Форд I не только сделал автомобиль массовым средством передвижения, а не предметом роскоши, коим он являлся ранее, но и создал рынок потребителя первым повысив заработную плату своим рабочим, доведя ее до пяти долларов в день, что в 2,5 раза превышало уровень на других предприятиях Америки.
Этап ориентации на производство может быть ограничен следующими временными рамками - конец XIX века - 20-е годы XX века. Главная проблема производителей заключалась в стремлении любым способом продать потребителю (без изучения его потребностей) произведенные товары, в которых он - потребитель часто не был заинтересован. Фактически судьба продукции за воротами предприятия руководителей предприятий, как правило, не волновала. Подобный подход в значительной степени был характерен для командно-административной системы управления производством.
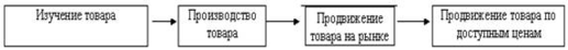
Практически одновременно с концепцией совершенствования производства сформировалась концепция совершенствования товара. Она исходит из утверждения, что потребители будут отдавать предпочтение товарам, имеющим высшее качество и обладающим лучшими эксплуатационными свойствами и характеристиками.
Следовательно, фирма должна сосредоточить свои усилия на совершенствовании товара, при обеспечении умеренных и доступных основной массе потребителей ценах.
Однако, увлеченность модернизацией собственной продукции не должна быть абсолютной. Необходимо следить за новыми разработками конкурентов и, что особенно важно, за появлением товаров заменителей, которые способны свести на нет усилия фирмы по совершенствованию свой продукции. Существует термин маркетинговая близорукость, впервые введенный в научный оборот Т. Левиттом (Гарвардская высшая школа бизнеса). Поводом для этого послужил анализ причин краха железнодорожных компаний в США, владельцы которых упустили из виду возникновение и развитие конкурирующих видов транспорта - автомобильного и авиационного прежде всего.
Для концепции совершенствования товара характерны:
-
концентрация усилий на производстве высококачественных товаров или услуг и попытке завоевать покупателей путём предложения лучших товаров в своей товарной группе;
-
сосредоточение внимания на функциональных особенностях, качестве, новизне и репутации лучшего товара, в условиях, когда цена не является решающим фактором для покупателя;
Концепция используется в случае широкого распространения продукта в своей товарной группе, а также, когда в попытке достижения высокого качества производителем выбрана для продукта "ниша качества" (небольшая часть рынка);
Она неприменима:
-
при отсутствии общепринятого определения "самого высокого" качества;
-
когда некоторые покупатели предпочитают простые, дешёвые изделия более сложным и дорогим;
-
в случае взаимозаменяемости различных типов изделий или использования их с одной и той же целью (по причине разницы в цене покупатель может предпочесть книжный шкаф из покрытой шпоном ДСП книжному шкафу из натурального дерева).
Схема организации деятельности фирмы в условиях применения концепции совершенствования товара представлена на рис. 2.
Рис. 2 - Схема концепции совершенствования товара
Концепция интенсификации коммерческих усилий стала закономерным результатом развития первых двух концепций, которые, уделяя максимум внимания наращиванию производства и совершенствованию товара рано или поздно, но обязательно приводит обострению проблем сбыта. Экономический кризис 1929-1932 гг. показал, что надо уметь не только произвести продукцию, но и сбыть ее. Кризис не только доказал бесперспективность первоначальной трактовки (первое классическое определение) маркетинга в условиях более высокого уровня развития мировой экономики, но и привел к тому, что маркетинг постепенно стал составной частью управленческой деятельности направленной на разработку и продвижение продукции к потребителям, создание благоприятных условий для приобретения товаров.
Такой подход просуществовал примерно до середины 50-х годов - начала 60-х годов.
Концепция интенсификации коммерческих усилий впервые вышла за границы фирмы в поисках средств и методов увеличения сбыта продукции. Согласно этой концепции потребители не будут приобретать товары организации в достаточных количествах, если она не предпримет значительных усилий в сфере сбыта и стимулирования.
Настоящая концепция:
делает акцент на преодолении нежелания покупателей и "сбыте" им продукта;
сосредоточивает усилия на сбыте продукции, а не на удовлетворении запросов потребителей;
цены и стимулирование часто используются для достижения заданного объема сбыта;
Это тяжелый процесс, с высокими трудозатратами, являющийся эффективным в том случае, когда более ориентированные на потребителя методы сбыта не принесли результата или в том случае, когда цена является единственным отличием между различными продуктами.
Концепция интенсификации коммерческих усилий непригодна в тех случаях, когда имеются цели по установлению долгосрочных отношений с покупателями и осуществлению повторных продаж, или, когда имеется возможность применения подхода ориентированного на покупателя.
Схема организации деятельности фирмы в условиях применения концепции интенсификации коммерческих усилий представлена на рис. 3.
Рис. 3 - Схема концепции интенсификации коммерческих усилий
К этому времени в ведущих промышленно развитых странах была создана новая система регулирования производственно-сбытовых процессов, обусловленная значительным увеличением производства товаров, объем которых превышал реальный спрос. Стали использоваться разнообразные методы воздействия на покупателей с целью "заставить" их совершить покупку.
Однако в условиях усиления конкурентной борьбы коммерческий успех имели те предприниматели, которые привлекали покупателей не только к разовым покупкам, но и ориентировали их на долгосрочные контакты со своей фирмой. Это можно было осуществить лишь в случае достаточно хорошего изучения потребностей и спроса, использования рекламы, стимулирования продаж и т.д. В результате в теории маркетинга был сделан акцент на конкретного потребителя с его реальными нуждами и потребностями и сформулирована собственно концепция маркетинга.
В соответствии с этой концепцией залогом достижения целей организации являются определение нужд и потребностей целевых рынков и удовлетворение их более эффективными, чем у конкурентов, способами.
В этой связи, вся деятельность предприятия должна базироваться на постоянном учете состояния рынка, точном знании нужд и потребностей покупателей, их оценке, предвидении возможных изменений в будущем. Лозунгом такого подхода к предпринимательской деятельности может быть выражение. Любите клиента, а не товар.
Фирма достигает преимущества:
-
концентрацией усилий на определении потребностей и желаний покупателей;
-
обеспечением потребителей теми продуктами и услугами, которые им необходимы и вероятность покупки которых довольно высока;
-
сосредоточением усилий на определении сегментов (составных частей) общего рынка и концентрации своего внимания на одном или нескольких из них, которые, по мнению организации, являются предпочтительными и, для которых существует вероятность их эффективного использования;
-
координации производственных и сбытовых функций (например, разработку продукции, рекламу, подбор торгового персонала, стимулирование сбыта, исследование конъюнктуры рынка, ценовой политики и т.д.);
-
поощрении функции сбыта путём производства товаров, имеющих высокую вероятность покупки на целевом рынке;
Вероятность этой концепции часто становится очевидной при снижении объёма продаж, замедлении роста, изменении структуры сбыта, усилении конкуренции, и/или в случае неконтролируемых затрат на сбыт продукции и неконтролируемых методов сбыта продукции. Получение прибылей не рассматривается в качестве конечной цели вместо этого внимание концентрируется на лучшем удовлетворении запросов покупателей, из которого организация извлечёт свою прибыль
Этап ориентации на маркетинг, продолжался до конца 70-х годов.
Схема организации деятельности фирмы в условиях применения концепции собственно маркетинга представлена на рис. 4.
Рис. 4 - Схема концепции собственно маркетинга
Характеристики
Тип файла документ
Документы такого типа открываются такими программами, как Microsoft Office Word на компьютерах Windows, Apple Pages на компьютерах Mac, Open Office - бесплатная альтернатива на различных платформах, в том числе Linux. Наиболее простым и современным решением будут Google документы, так как открываются онлайн без скачивания прямо в браузере на любой платформе. Существуют российские качественные аналоги, например от Яндекса.
Будьте внимательны на мобильных устройствах, так как там используются упрощённый функционал даже в официальном приложении от Microsoft, поэтому для просмотра скачивайте PDF-версию. А если нужно редактировать файл, то используйте оригинальный файл.
Файлы такого типа обычно разбиты на страницы, а текст может быть форматированным (жирный, курсив, выбор шрифта, таблицы и т.п.), а также в него можно добавлять изображения. Формат идеально подходит для рефератов, докладов и РПЗ курсовых проектов, которые необходимо распечатать. Кстати перед печатью также сохраняйте файл в PDF, так как принтер может начудить со шрифтами.















