64070 (573501), страница 3
Текст из файла (страница 3)
Оба метода имеют свои преимущества и недостатки. Однако более широкое применение нашел второй метод, как более простой и более эффективно устраняющий локальную нелинейность.
При первом подходе ищутся параметры функции известной формы (например, степенного полинома), при которых точки (xj; Cj) наименее удалены от этой функции.
Кусочно-линейная аппроксимация (на рис. 4 длина отрезка 1 характеризует нелинейность) заключается в том, что нелинейная характеристика канала заменяется отрезками прямых, проходящих через экспериментально полученные точки (xi; Ci) и (хi + 1; Ci + l), где i = 1, п. Обычно число точек равно 6... 11, что соответствует аппроксимации пятьюдесятью отрезками прямых.
Координаты узлов аппроксимации должны быть измерены с погрешностями, в несколько раз меньшими допускаемой погрешности ИК, аналогично тому, как это делается при калибровке или поверке.
С учетом вида аппроксимации характеристики преобразования обратное преобразование, обеспечивающее линеаризацию, также будет линейно-кусочной функцией
Очевидно, что с увеличением числа линейных отрезков обеспечивается более высокая линейность. Однако при этом возрастают требуемый объем памяти (что не очень существенно) и объем экспериментальных работ по получению исходных данных.
Кусочная линеаризация позволяет уменьшить нелинейность в несколько раз и даже в десятки раз. Благодаря этому, используя датчики, конструкция которых не менялась несколько десятилетий, можно обеспечить значительно более высокую точность измерения. При этом подчеркнем, что в соответствии с рассмотренным алгоритмом производится линеаризация характеристики конкретного экземпляра датчика, а не усредненной характеристики, что устраняет и влияние разброса характеристик.
Аппаратно линеаризация может производиться центральной ЭВМ или специальными микропроцессорными устройствами, входящими в состав ИК и конструктивно объединенными с вторичными преобразователями или с АЦП. Некоторые датчики выпускаются в комплекте с ПЗУ, в котором записаны данные о его характеристике, достаточные для линеаризации.
3. Сглаживание исходных данных
На первичную информацию, выдаваемую ИК, могут накладываться локальные возмущения, искажающие характер этой информации. Причин этих локальных возмущений в основном две.
Первой причиной становятся случайные погрешности ИК, которые, как и для любых СИ, определяются только свойствами ИИС.
Второй причиной являются локальные неоднородности ИО, которые не зависят от свойств СИ и не учитываются в рамках используемых физических и математических моделей ИО. Наличие таких возмущений не является принципиально новым. Например, при измерении действующего значения напряжения сети переменного тока с помощью вольтметра на результате измерения сказываются шумы и помехи, накладывающиеся на это напряжение. Однако влияние этих шумов незначительно, поскольку они усредняются за счет инерционности вольтметра. В этом случае быстродействие ИК (в целом положительный фактор) приводит к отрицательным последствиям — фиксации в "мгновенных" отсчетах значений шумов.
Другой пример локальных воздействий, обусловленных свойствами ИО, — локальные флуктуации температуры воздуха за счет турбулентных потоков. К локальным неоднородностям относится шероховатость, имеющая масштабы порядка микрометров и долей микрометров, и волнистость поверхности, имеющая существенно большие масштабы.
Получая с ИК большое количество отсчетов, детально описывающих изменения исследуемой физической величины, можно построить оптимальные алгоритмы обработки этой информации, обеспечивающие наилучшее подавление этих локальных возмущений. Однако объем передаваемой и обрабатываемой информации при этом может оказаться нерационально большим. Для уменьшения этого объема производится сглаживание информации. В результате сглаживания ее объем уменьшается в несколько раз, а иногда и в десятки раз. Сразу отметим, что вводя предварительное сглаживание, мы отказываемся от оптимальной обработки исходной информации. Поэтому используемые субоптимальные алгоритмы обработки сглаженной информации дадут несколько худшие результаты. Это ухудшение обычно оказывается незначительным. Однако при выборе алгоритма сглаживания наличие этого ухудшения нужно иметь в виду и хотя бы ориентировочно оценивать его величину.
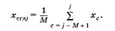
Наиболее часто производится сглаживание первичной информации во времени. В этом случае алгоритм обработки, называемый иногда оператором текущего среднего, очень прост:
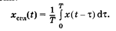
Это соотношение записано в дискретной форме. Однако с целью теоретического анализа удобнее записать его для непрерывного времени:
Соотношение (6) является приближением к (5), поскольку на практике в большинстве случаев обработка ведется в дискретной форме, хотя иногда и используется сглаживание аналоговых сигналов с помощью интегрирующих RС-цепочек, интегрирующих операционных усилителей или других аналоговых фильтров. Алгоритмы (5) и (6) физически реализуемы и могут работать в реальном времени, поскольку для расчета усредненного значения используются значения (отсчеты) сигнала только в предшествующие моменты времени. Однако это приводит к задержке информативной составляющей на время T/2 или на М/2 отсчетов. От этого недостатка свободен алгоритм
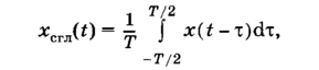
который в силу своей физической нереализуемости может применяться только к накопленному массиву данных. Поэтому информация все равно будет получаться с запаздыванием, но будет привязана к правильному моменту времени.
Алгоритм текущего среднего как в дискретном, так и в непрерывном виде очень прост. Однако он имеет некоторый недостаток. Весовая функция, соответствующая линейному оператору (6) , имеет вид 1, показанный на рис. 5, а, и записывается как
Взяв преобразование Фурье, получим комплексную частотную характеристику, соответствующую этой весовой функции.
Модуль этой частотной характеристики показан на рис. 5, б (кривая 1). Из ее графика видно, что частотная характеристика (8) существенно неравномерна и на частотах, кратных π/Т, обращается в нуль, то есть сигнал на этих частотах полностью подавляется.
Для улучшения качества сглаживания используются другие весовые функции, отличные от прямоугольной. Тогда оператор текущего среднего в общем случае примет вид
Весовая функция в (7) должна удовлетворять условию
которое обеспечивает для постоянного сигнала коэффициент передачи, равный единице. Обычно весовую функцию берут симметричной относительно середины интервала [0; Т], например полином второй или четвертой степени. Получаемая частотная характеристика все равно остается неравномерной и имеет нулевые провалы, но на более высоких частотах. Очень часто в качестве весовой функции оператора текущего среднего используется усеченное нормальное распределение (кривая 2 на рис. 5, а), поскольку преобразование Фурье от нормального распределения имеет ту же форму, а значит, модуль частотной характеристики монотонно убывает и она практически не обращается в нуль (кривая 2 на рис. 5, б).
При замене интеграла (9) суммой отсчеты усредняются с весовыми коэффициентами, близкими к отсчетам весовой функции. Некоторое уточнение требуется для строгого выполнения модифицированного условия (10), в соответствии с которым сумма весовых коэффициентов должна равняться единице.
К задачам сглаживания примыкает задача фильтрации информационного сигнала с энергетическим спектром Sx(w) на фоне шума с энергетическим спектром Sn(w). Частотная характеристика фильтра, обеспечивающего наименьшую среднеквадратичную погрешность воспроизведения информативной составляющей, задается соотношением
Фазовая характеристика такого фильтра должна быть максимально близка к линейной.
Практическое применение соотношения (11) осложнено необходимостью располагать априорной информацией о спектрах информационной составляющей и локальных возмущений. Однако из этой формулы можно сделать один качественный вывод. Поскольку спектр шума, как правило, более широкополосный, чем спектр информативной составляющей, частотная характеристика, задаваемая (11), соответствует фильтру нижних частот, то есть и в этом случае производится сглаживание первичной информации.
Аналогично с помощью многократных интегралов или многократных сумм можно записать алгоритмы сглаживания по пространству.
Сглаженные функции изменяются медленнее по сравнению с исходными. Поэтому при их дискретизации можно использовать больший интервал, что и уменьшает объем передаваемых данных. Однако следует иметь в виду, что если введение поправок или линеаризация всегда приводят к положительным результатам, то к сглаживанию нужно относиться с осторожностью. При сильном сглаживании можно потерять быстро изменяющиеся компоненты, важные для описания ИО.
Для уменьшения объема обрабатываемых данных сглаживание может проводиться на центральной ЭВМ. Однако это не приведет к уменьшению загрузки каналов связи. В целях уменьшения объема передаваемых данных для сглаживания должны использоваться микропроцессорные устройства, встроенные в ИК.
Выводы
В процессе выполнения контрольной работы мы ознакомились с:
- типовыми алгоритмами сбора измерительной информации;
- введением поправок;
- сглаживанием исходных данных.
Литература
1. Автоматизация физических исследований и эксперимента: компьютерные измерения и виртуальные приборы на основе Lab VIEW / под ред. П. А. Бутыркина. — М.: ДМК-Пресс, 2005.— 264 с.
2. Анисимов Б. В., Голубкин В. Н. Аналоговые и гибридные вычислительные машины. — М.: Высшая школа, 1990., — 289 с.
3. Атамалян Э. Г. Приборы и методы измерения электрических величин. — М.: Дрофа, 2005. — 415 с.
4. Ацюковский В. А. Основы организации системы цифровых связей в сложных информационно-измерительных комплексах. — М.: Энергоатомиздат, 2001. — 97 с.
5. Барский А. Б. Нейронные сети. Распознавание, управление, принятие решений. — М.: Финансы и статистика, 2004. — 176 с.
6. Батоврин В., Бессонов А., Мошкин В. Lab VIEW: Практикум по электронике и микропроцессорной технике. — М.: ДМК-Пресс, 2005 —182 с.
7. Вентцелъ Е. С, Овчаров Л. А. Теория вероятностей и ее инженерные приложения. — М.: Высшая школа, 2007. — 491 с.
8. Волкова В. Н., Денисов А. А. Теория систем. — М.: Высшая школа, 2006. — 511 с.
9. ГОСТ Р 8.596—2002. ГСИ. Метрологическое обеспечение измерительных систем. Основные положения.
















