62751 (573329), страница 3
Текст из файла (страница 3)
λ = t • σĀр = 1,989 • 0,0918 = 0,1825902 ≈ 0,18
Āр є величиною випадковою, унаслідок чого вона має розкид і тому дає тільки наближену оцінку вимірюваної величини. Для Рдов=0,93 можна більш повно охарактеризувати вимірювану величину, застосувавши інтервальну оцінку у виді довірчого інтервалу результату виміру: Āр – λ ≤ Āр ≤ Āр + λ
Āр – λ =16,949231 - 0,18 =16,769231 ≈ 16,77 дб
Āр + λ =16,949231 + 0,18 = 17,129231 ≈ 17,13 дб
Звідси: 16,77 ≤ Āр ≤ 17,13
-
Систематичну похибку виміру можна визначити як відхилення результату виміру від дійсного значення вимірювальної фізичної величини, якщо остання відома з високою точністю, тобто як їхня різниця:
∆с = Āр - Ар.д.= 16,949231 - 16,94=0,009231 дб
У зв’язку з тим, що результату виміру Āр присуща випадкова похибка, систематична похибка ∆с може бути визначена тільки приблизно з точністю до випадкової похибки середнього арифметичного значення. У результаті в нашому випадку ׀∆с׀ =0,009231 ‹ ׀λ׀=0,18, отже варто вважати, що систематична похибка переходить у категорію випадкової похибки, тому що її наявність не може бути доведено.
Висновок: Під точністю засобу вимірювань розуміють якість засобу вимірювань, що відбиває близькість до нуля його похибок. При цьому близькість до нуля систематичних похибок визначає правильність засобу вимірювань. В нашому випадку значення систематичної похибки ׀∆с׀ =0,009231 близьке до нуля і не перевищує 0,5 дб ,як вимагається в умові задачі. Отже вимірювальна установка придатна для виміру робочого загасання тракту транзитних з’єднань.
Задача2.
При проведенні акредитації лабараторії перевірялася методика визначення внесеного загасання лінії зв'язку ( чотириполюсника) і здійснювався непрямий вимір напруги Uн і потужність Pн, виділюваних на опорі навантаження Rн, підключеному безпосередньо до виходу генератора низьких частот (мал.1), що має ЕРС Еr і внутрішній опір Rr . Поряд з цим вимірялася повна потужність P∑ , що розвивається генератором; потужність Pr, що втрачається на його внутрішньому опорі Rr , а також спадання напруги Ur на цьому опорі.
В
ихідні дані: Еr =7,0 В; Rr =135 Ом; ±δRn=1,3%; Rн = 820Ом; ±δЕГ=3,5%; ±δRГ=2,2%; Px=PH (мВт); Ux=UH (В).
Знайти: Pн , Uн .
Розв’язок.
-
Запишемо вихідні дані з вказанням похибок:
Еr =Еr ±δЕГ = 7,0 ±3,5% ;
Rr = Rr ±δRГ =135±2,2%; Rн = Rн ± δRn=820±1,3%.
2. Виразимо відносні значення похибок цих величин через абсолютні:
а) δЕГ = (∆Еr • 100) / Еr
∆Еr = (δЕГ • Еr ) / 100 = (3,5•7,0) / 100 = 0,245 В
Е= Еr ±∆Еr = 7,0 ±0,245 В
б) δRГ = (∆Rr • 100) / Rr
∆Rr = (δRГ • Rr ) /100 = (2,2 • 135) / 100 = 2,97 Ом
R = Rr ± ∆Rr =135±2,97 Ом
в) δRH =(∆Rн • 100) / Rн
∆Rн = (δRn• Rн ) /100 = (1,3 • 820) / 100 = = 10,66 Ом
R = Rн ± ∆Rн = 820±10,66 Ом
3. Розрахуємо основні параметри кола:
Сила струму: I=Еr / (Rr + Rн)
За законом Ома: U=I•R, звідси Uнр= (Еr • Rн ) /(Rr + Rн)=
= (7 • 820)/(135+820)=6,01В
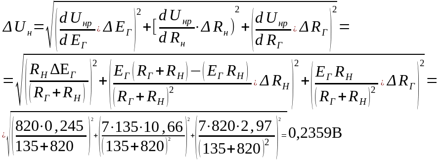
Так як Uн нам потрібно представити у вигляді Uн= Uнр ± ∆Uн , знайдемо абсолютну похибку падіння напруги ∆Uн за формулою:
Звідси Uн =6,01±0,2359 В.
4. Потужність визначається за формулою: Р = U2/R ,
звідси Pнр = Uн2/Rн = 6,012/820 = 0,044Вт
Звідси Pн = Pнр ± ∆Pн = 44±0,469 • 10-3 мВт
Задача 3. (по вимірюванню загасань)
При виконанні сертифікаційних випробувань лінії зв’язку визначалось робоче та вносиме загасання. До входу лінії зв’язку (чотириполюсника), навантаженого на активний опір Rн , підключений вимірювальний генератор, що має внутрішній опір Rг і діюче значення ЕРС, рівне Еr . Діюче значеня напруги на навантаженні лінії зв’язку (чотириполюсника) дорівнює Uн .
Необхідно визначити:
1.Робоче Ар та вносиме Авн загасання чотириполюсника;
2.Нульові рівні струму I0 та U0 для заданого значення опору навантаження Rн ;
3. Абсолютні рівні сигнала за струмом рі , напругою рu та потужності рр на опорі навантаження Rн ;
4. Абсолютну і відносну похибку робочого загасання, якщо похибки прямого вимірювання ЕРС генератора, напруги на навантаження, а також опорів Rг і Rн , лежали відповідно в межах: ±δЕ, ±δU, ±δГ, ±δН.
Вихідні дані: Ег=7,5В, Uн=1,3В, δЕг = 3,8%, δRг = 4,6%, ах = Ар ,
Rг = 600 Ом, Rн = 910 Ом, δUн = 1,2%, δRн = 0%.
Розв’язок.
-
Розрахуємо робоче та вносиме загасання чотириполюсника:
Ар = 10 lg((Er2• Rн ) / (4Rг • Uн2)) =
= 20lgEr - 20lgUн +10lgRн - 10lgRг – 20lg2 =
= 20lg7,5 - 20lg1,3 + 10lg910 – 10lg600 – 20lg2 =
= 17,5 – 2,279 + 29,59 + 27,78 – 6,02 = 11,011 дб
Авн = 20 lg ((Er • Rн ) / ((Rг + Rн )• Uн)) =
= 20 [lgEr - lgUн + lgRн - lg (Rг + Rн )] =
= 20 [lg7,5 – lg1,3 + lg910 – lg(600+910)] =
= 20 [0,875 – 0,114 + 2,959 – 3,179] = 10,82 дб
-
Розрахуємо нульові рівні струму та напруги для заданого опору навантаження Rн :
Р0 = 10 –3 Вт – нульова позначка шкали потужності.
I0 = U0 / RН = 0,954 / 910 = 0,001А
-
Розрахуємо абсолютні рівні сигнала за струмом рі , напругою рu та потужності рр на опорі навантаження Rн :
Рі = 20 lg (UН/(І0 • Rн )) = 20lg (1,3 / (0,001• 910)) = 2,688 дб
Рн = 20 lg (UН/U0) = 20lg (1,3 / 0,954) = 2,688 дб
Рр = 10 lg (UН2 / (Р0 • Rн )) = 10lg (1,32/10 –3 • 910) = 2,688 дб
Виходячи з результатів розрахунків можна зробити висновок, що абсолютні рівні сигналу по струму, потужності та напрузі рівні.
-
Розрахуємо абсолютну та відносну похибки:
ЕГ =
= 0,285 В
ΔRн =
= 0 Ом
ΔUн =
= 0,0156 В
ΔRг =
= 27,6 Ом
dAp/dEг= 20lg e / Er = 20lg e / 7,5 = 1,158
dAp/dRг= -10lg e / Rг= -10lg e / 600 = -0,00724
dAp/dUн= - 20 lg e / Uн= - 20 lg e / 1,3 = -6,681
dAp/dRн= 10lg e / Rн= 10lg e / 910 = 0,00477
Підставляючи одержані значення в формулу, одержимо:
Тепер знаходимо відносну похибку:
δАр = (ΔАр • 100)/Ар = (0,4•100)/11,011 = 3,63%
Висновок: Лінія зв’язку пройшла сертифікаційні випробування, по результатам яких можна зробити висновок про можливість використання лінії зв’язку, так як робоче загасання не більше
13,65 дб.
Задача4. (по вимірюванню нелінійних спотворень)
При проведенні сертифікаційних випробувань нелінійних властивостей генератора звукової частоти, навантаженого на активний опір Rн , були проведені дослідження шляхом вибіркого вказування рівня. В результаті вимірювань було встановлено, що при діючому значенні напруги на виході генератора Uвих = M • Uп відносні рівні напруги гармонічних складових в порядку номерів гармонік відповідно дорівнюють р2 ,р3, . . . ,рі, . . . , рn дб.
Тут р2 =20lg(U2/U1), р3 =20lg(U3/U1) і т.д.; Uп – показання вольтметра генератора;М – перемикаємий множник шкали напруг.
Необхідно визначити:
-
коефіцієнти КГ2 - КГn гармонічних складових на виході генератора;
-
результуючий коефіцієнт гармонік КГ ;
-
коефіцієнт нелінійних спотворень КН ;
-
діюче значення напруги основної частоти U1 ;
-
діюче значення напруг гармонічних складових U2 - Un ;
-
загасання нелінійності ані по 1-й гармоніці.
Скласти висновок про результати сертифікаційних досліджень, якщо вимоги до коефіцієнта гармонік та коефіцієнта нелінійних спотворень:
КГ ‹ 0,001; КН ‹ 0,001.
Вихідні дані: UП =2,8 В; Pі = P2; P2 = -38,42 дб; P3 = - 41,51 дб; P4 = -50,45 дб;
Р5 = - 50,07 дб; P6 - -64,43 дб; М = 0,2.
Розв’язок.
Нелінійні спотворення – це спотворення форми сигналів.
-
Розрахуємо коефіцієнти КГ2 - КГn гармонічних складових на виході генератора за ф-лою:
Pi=20lg(Ui/U1)=20lgKi
Ki = 10 0,05•Pi
КГ2 = 10 0,05•(-38,42) = 0,012
КГ3 = 10 0,05•(-41,51) = 0,0084
КГ4 = 10 0,05•(-50,45) = 0,003
КГ5 = 10 0,05•(-50,07) = 0,0031
КГ6 = 10 0,05•(-64,43) = 0,0006
-
Визначимо результуючий коефіцієнт гармонік Кг:
-
Розрахуємо коефіцієнт нелінійних спотворень:
-
Знаходимо діюче значення напруги основної частоти U1. Для цього по заданим параметрам визначаємо Uвих:
Uвих = М • Uп = 0,2• 2,8=0,56 В
-
Знаходимо діюче значення напруг гармонічних складових U2-Un:
U2 = U1 • КГ2 = 0,56 • 0,012 = 6,72 • 10-3 В
U3 = U1 • КГ3 = 0,56 • 0,0084 = 4,704 • 10-3 В
U4 = U1 • КГ4 = 0,56 • 0,003 = 1,68 • 10-3 В
U5 = U1 • КГ5 = 0,56 • 0,0031 = 1,7 • 10-3 В
U6 = U1 • КГ6 = 0,56 • 0,0006 = 3,36 • 10-4 В
-
Розрахуємо загасання нелінійності по 1-й гармониці. Нам задано Pі = P2 (тобто і-та гармоніка є другою гармонікою), тому формулу загасання нелінійності aHі = 20lg (1/КHi) ≈ 20lg (1/КГi) запишемо для нашого випадку:
aH2 = 20lg (1/КГ2) = 20lg (1/0,012) = 38,42 дб
Одержані дані заносимо у таблицю:
| i | Pi , дб | Kгi | Kгi2 | Ui , мв | Kгi , % |
| 2 | -38,42 | 0,012 | 0,000144 | 6,72 • 10-3 | 1,2 |
| 3 | -41,51 | 0,0084 | 0,00007056 | 4,704 • 10-3 | 0,84 |
| 4 | -50,45 | 0,003 | 0,000009 | 1,68 • 10-3 | 0,3 |
| 5 | -50,07 | 0,0031 | 0,00000961 | 1,7 • 10-3 | 0,31 |
| 6 | -64,43 | 0,0006 | 0,00000036 | 3,36 • 10-3 | 0,06 |
Висновок: По результатам сертифікаційних досліджень можна зробити висновок про недоцільність використання генератора звукової частоти, так як не виконуються наступні вимоги:
КГ ‹ 0,001 , КН ‹ 0,001 ( в нашому випадку КГ =0,15 , КН = 0,15).
Використана література:
-
Конспект лекцій та методичні рекомендації по вивченню дисципліни “Метрологія, стандартизація, сертифікація та акредитація”;
-
Кушнир Ф.М., Савенко В.Г., Верник С.М. Измерения в технике связи. М.: Связь, 1976г.;
-
Шаповал М.І. Основи стандартизації, управління якістю і сертифікації. Київ, 1998р;
4. Атамалян Е.Г. Приборы и методы измерения электрических величин. Москва: Высшая школа, 1982г.















