62477 (573298)
Текст из файла
Министерство образования и науки Украины
Севастопольский национальный технический университет
Кафедра Радиотехники
Расчетно-графическое задание №1
по дисциплине “Радиоавтоматика”
Исследование частотно-временных характеристик и структурных преобразований систем радиоавтоматики
Выполнила: ст. гр. Р-41д
Грибенщиков А.А.
Проверил: профессор
Бабуров Э.Д.
Севастополь
2008
Задание №1
-
Для системы радиоавтоматики, схема которой приведена на рисунке 1, определить передаточные функции системы по управляющему сигналу и по помехе.
-
Для системы радиоавтоматики, схема которой приведена на рисунке 4, записать дифференциальное уравнение системы, определить аналитически и построить графически переходную и импульсную характеристики.
-
Построить амплитудно-фазовую характеристику разомкнутой системы.
-
Построить логарифмические амплитудно-частотную и фазо-частотную характеристики разомкнутой системы.
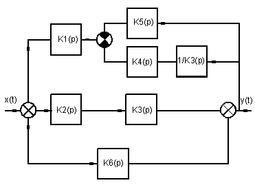
Рис. 1 – Структурная схема системы 1.
x(t) - входное управляющее воздействие;
y(t) - выходной регулируемый сигнал;
(t)- помеха;
Кi(р) - передаточные функции звеньев системы
-
Для системы радиоавтоматики, схема которой приведена на рисунке 1, определим передаточные функции системы по управляющему сигналу и по помехе. Как известно, коэффициент передачи цепи, охваченной обратной связью, определяется по формуле
(1)
где Кос(р) - коэффициент передачи обратной связи.
Передаточные функции звеньев системы 1 для данного варианта приведены в таблице 1.
Таблица 1 – Исходные данные
| № варианта | К1(р) | К2(р) | К3(р) | К4(р) | К5(р) | К6(р) |
| 8 | р-2 | р+1 | (р+58)-1 | 17р+10 | р | р-2 |
Для удобства вычисления передаточной функции системы по управляющему сигналу упростим структурную схему системы 1 и изобразим её на рисунке 2. Упрощение произведём следующим образом: выходы звеньев 4 и 5 соединим и заведём на обратную (отрицательную) связь в одну точку. Также перенесём вход звена 4 с точки соединения звеньев 2 и 3 на выход звена 3 при этом переносе добавим последовательно перед входом звена 4 звено с передаточной функцией обратной К3(р).
Р
ис. 2 – Упрощённая структурная схема системы 1(по управляющему сигналу)
Определим передаточную функцию системы 1 по управляющему сигналу.
,
К4
(р)=
К4
5(р)= К5(р)+
Тогда передаточная функция системы 1 К(р) будет равна:
К(р)=
Подставив значения К1236(р) и К4
5(р) получим:
К(р)=
Подставим значения передаточных функций звеньев из таблицы 1, получим:
После упрощений, с использованием математического пакета MathCAD 2001 имеем:
О
пределим передаточную функцию системы 1 по помехе, упрощенная структурная схема которой изображена на рисунке 3.
Рис. 3 – Упрощенная структурная схема
Очевидны следующие формулы:
Тогда с учетом (1) можно записать
Подставим значения передаточных функций звеньев из таблицы 1, тогда получим:
Для системы радиоавтоматики, схема которой приведена на рисунке 4 запишем дифференциальное уравнение системы, определим аналитически и построим графически переходную и импульсную характеристики.
Коэффициент передачи определяется по формуле
Рис. 4 — Структурная схема системы 2
Подставим значения передаточных функций звеньев из таблицы 1, тогда получим:
Напишем уравнение системы, на основании передаточной функции
где в скобках есть номер производной.
Определим переходную характеристику системы.
Переходная характеристика h(t) есть реакция динамического элемента на воздействие на воздействие в виде единичной ступенчатой функции 1(t):
где
символ обратного преобразования Лапласа.
Определим импульсную характеристику системы:
Импульсная характеристика – это реакция динамического элемента на воздействие в виде -функции:
Импульсная характеристика может быть определена как обратное преобразование Лапласа от передаточной функции динамического элемента:
Построим переходную и импульсную характеристики:
Рис. 5 – Переходная характеристика системы
Рис. 6 – Импульсная характеристика системы
3) Построить амплитудно-фазовую характеристику разомкнутой системы, схема которой приведена на рисунке 4.
Для перехода к разомкнутой системе преобразуем схему следующим образом:
K1(p)
K2(p)
K4(p)
K3(p)
x(t)
y(t)
Разомкнув цепь обратной связи, получим:
x(t)
y(t)
K1(p)
K2(p)
K3(p)
Рис. 7 – Структурная схема разомкнутой системы
Определим передаточную функцию разомкнутой системы:
Заменим p на j:
Построим график амплитудно-фазовой характеристики:
Рис. 8 – Амплитудно-фазовая характеристика разомкнутой системы
4) Построить логарифмические амплитудно-частотную и фазо-частотную характеристики разомкнутой системы, схема которой приведена на рисунке 4
Логарифмическая амплитудно-частотная характеристика определяется формулой:
Построим ЛАХ и ЛФХ:
Рис. 9 – ЛАХ системы
Рис. 10 – ЛФХ системы
Характеристики
Тип файла документ
Документы такого типа открываются такими программами, как Microsoft Office Word на компьютерах Windows, Apple Pages на компьютерах Mac, Open Office - бесплатная альтернатива на различных платформах, в том числе Linux. Наиболее простым и современным решением будут Google документы, так как открываются онлайн без скачивания прямо в браузере на любой платформе. Существуют российские качественные аналоги, например от Яндекса.
Будьте внимательны на мобильных устройствах, так как там используются упрощённый функционал даже в официальном приложении от Microsoft, поэтому для просмотра скачивайте PDF-версию. А если нужно редактировать файл, то используйте оригинальный файл.
Файлы такого типа обычно разбиты на страницы, а текст может быть форматированным (жирный, курсив, выбор шрифта, таблицы и т.п.), а также в него можно добавлять изображения. Формат идеально подходит для рефератов, докладов и РПЗ курсовых проектов, которые необходимо распечатать. Кстати перед печатью также сохраняйте файл в PDF, так как принтер может начудить со шрифтами.
















