48852 (572237)
Текст из файла
Міністерство освіти і науки України
Дніпропетровський національний університет
КОНТРОЛЬНА РОБОТА
з дисципліни „Інформатика”
Розв’язання задач з елементарної математики в пакеті MAPLE-8
(варіант №6)
Виконав студент групи____________________
______________________
До захисту__________________200 __року
Викладач_______________________________
Дніпропетровськ
2010
Зміст
Вихідні дані завдань варіанту №6
1. Завдання №1
1.1. Задача 1.1 (вар. №6)
1.2. Задача 1.2 (вар. №6)
2. Завдання №2
2.1. Задача 2.1 (вар. №6)
2.2. Задача 2.2 (вар. №6)
3. Завдання №3
3.1. Задача 3.1 (вар. №6)
3.2. Задача 3.2 (вар. №6)
4. Завдання №4
4.1. Задача 4.1 (вар. №6)
4.2. Задача 4.2 (вар. №6)
5. Завдання №5
5.1. Задача 5.1 (вар. №6)
5.2. Задача 5.2 (вар. №6)
6. Завдання №6
6.1. Задача 6.1 (вар. №6)
6.2. Задача 6.2 (вар. №6)
7. Завдання №7
7.1. Задача 7.1 (вар. №6)
7.2. Задача 7.2 (вар. №6)
8. Завдання №8
8.1. Задача 8.1 (вар. №6)
8.2. Задача 8.2 (вар. №6)
9. Завдання №9
9.1. Задача 9.1 (вар. №6)
9.2. Задача 9.2 (вар. №6)
10. Завдання №10
10.1. Задача 10.1 (вар. №6)
10.2. Задача 10.2 (вар. №6)
11. Завдання №11
Список використаної літератури
Вихідні дані завдань варіанту №6
1. Завдання №1
1.1 Задача 1.1 (вар. №6)
Спростити вираз
Розв’язання.
Використовуємо встроені функції елементарних перетворень пакету MAPLE:
simplify-спростити,
expand-розкрити скобки,
factor-розкласти на множники
normal-привести к спільному знаменнику
combine-перетворення ступеня
collect-привести подібні члени
> (sqrt(2)/(1-x^2)^(-1)+2^(3/2)/x^(-2))/(x^(-2)/(1+x^(-2)));
Спрощуємо вираз за допомогою оператора simplify – спростити (останній результат Maple зберігає під ім’ям %)
> simplify(%);
Відповідь:
1.2 Задача 1.2 (вар. №6)
Спростити вираз
Розв’язання.
> (sqrt(1+a)/(sqrt(1+a)-sqrt(1-a))+((1-a)/(sqrt(1-a^2)-1+a)))*(sqrt(1/a^2-1)-1/a);
Позначимо перший множник через q1
> q1:=(sqrt(1+a)/(sqrt(1+a)-sqrt(1-a))+((1-a)/(sqrt(1-a^2)-1+a)));
Позбавляємося від ірраціональності в знаменниках за допомогою оператора rationalize
> rationalize(sqrt(1+a)/(sqrt(1+a)-sqrt(1-a)))+rationalize((1-a)/(sqrt(1-a^2)-1+a));
Розкриваємо дужки в останньому виразі за допомогою оператора expand
> q1:=expand(%);
> q1 := 1/2*(1+a)^(1/2)/a*(1-a)^(1/2)+1/a+1/2/a*(1-a)^(1/2)*(1+a)^(1/2);
Приводимо до спільного знаменника вираз q1 за допомогою оператора normal
> q1:=normal(q1);
Розкладаємо на множники вираз q1 за допомогою оператора factor
> q1 := factor(q1);
Позначимо другий множник через q2
> q2:=(sqrt((1-a)*(1+a)/a^2)-1/a);
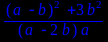
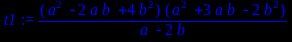
Спрощуємо вираз q2, припускаючи, що 0 > q2:=simplify(q2,assume(a>0,a<1)); Перемножуємо вирази q1 та q2 > q3:=q1*q2; Розкладаємо на множники вираз q3 > q3:=factor(q3); Розкриваємо дужки в останньому виразі > q3:=expand(%); Відповідь: -1. 2. Завдання №2 2.1 Задача 2.1 (вар. №6) Спростити вираз, а потім знайти чисельні значення при а =2 Розв’язання. Використовуємо встроені функції елементарних перетворень пакету MAPLE: simplify-спростити, expand-розкрити скобки, factor-розкласти на множники normal-привести к спільному знаменнику combine-перетворення ступеня collect-привести подібні члени > ((a-1)^(-1)/a^(-3)-(1-a)^(-1))*((1+a*(a-2))/(1/a^(-2)-a+1)/(1/sqrt((a+1)^(-2)))); Позначимо через r1 першу частину виразу > r1:=((a-1)^(-1)/a^(-3)-(1-a)^(-1))*((1+a*(a-2))/(1/a^(-2)-a+1)); Позначимо через r2 другу частину виразу > r2:=sqrt((a+1)^(-2)); Позначимо через r3 чисельник виразу r1 > r3:=((a-1)^(-1)/a^(-3)-(1-a)^(-1))*((1+a*(a-2))); Приводимо вираз r3 до спільного знаменника > r3:=normal(r3); Розкладаємо на множники вираз r3 > r3:=factor(r3); Позначимо через r4 знаменник виразу r1 > r4:=(a^2-a+1); Скорочуємо чисельник r3 та знаменник r4 першої частини виразу > r5:=r3/r4; Залишилося r5 помножити на r2 > r6:=r5*r2; Спрощуємо вираз r6, припускаючи, що a>-1 > simplify(r6,assume(a>-1)); Підставляємо a=2 в останній вираз % > subs(a=2,%); Відповідь: 1. 2.2 Задача 2.2 (вар. №6) Спростити вираз, а потім знайти чисельні значення при а = 4; b = 1. Розв’язання. > (a/(a-2*b)+b/(a+2*b))*(a^3+8*b^3)/(a^3+3*a^2*b-2*a*b^2); Чисельник вихідного дробу позначимо через t1 > t1:=(a/(a-2*b)+b/(a+2*b))*(a^3+8*b^3); Приводимо вираз, що стоїть в чисельнику t1, до спільного знаменника > t1:=normal(t1); Знаменник вихідного дробу позначимо через t2 > t2:=a^3+3*a^2*b-2*a*b^2; Розкладаємо знаменник t2 на множники > t2:=factor(t2); Скорочуємо чисельник t1 та знаменник t2 > t3:=t1/t2; Виділяємо повний квадрат в чисельнику за допомогою оператора completesquare (попередньо підключивши пакет student) > with(student):completesquare(t3,a); Підставляємо в останній вираз % числа a=4, b=1 > subs(a=4,b=1,%); Відповідь: 3/2. 3. Завдання №3 3.1 Задача 3.1 (вар. №6) Скоротити слідуючи дроби Розв’язання. Використовуємо встроені функції елементарних перетворень пакету MAPLE: simplify-спростити, factor-розкласти на множники combine-перетворення ступеня collect-привести подібні члени Розв’язання. > (x^4-10*x^2+9)/(x^4-13*x^2+36); Чисельник вихідного дробу позначимо через u1 > u1:=x^4-10*x^2+9; Розкладаємо чисельник u1 на множники > u1:=factor(u1); Знаменник вихідного дробу позначимо через u2 > u2:=x^4-13*x^2+36; Розкладаємо знаменник u2 на множники > u2:=factor(u2); Скорочуємо чисельник u1 та знаменник u2 > u3:=u1/u2; Відповідь: 3.2 Задача 3.2 (вар. №6) Скоротити слідуючи дроби Розв’язання. > (a^5+a^4+a^3+a^2+a+1)/((a^2+a+1)*(a+1)); Чисельник вихідного дробу позначимо через v1 > v1:=a^5+a^4+a^3+a^2+a+1; Розкладаємо чисельник v1 на множники > v1:=factor(v1); Знаменник вихідного дробу позначимо через v2 > v2:=(a^2+a+1)*(a+1); Скорочуємо чисельник v1 та знаменник v2 > v3:=v1/v2; Відповідь: 4. Завдання №4 4.1 Задача 4.1 (вар. №6) Розв’язати рівняння 1-й степені Розв’язання. Використовуємо встроені функції елементарних перетворень пакету MAPLE: solve(рівняння або нерівність, змінна), > ((x/a)-1)/(1-a^2/b^2)=1/(a/b-b/a); Задаємо рівняння eq > eq:=((x/a)-1)/(1-a^2/b^2)-1/(a/b-b/a)=0; Розв'язуємо рівняння eq відносно змінної x > solve(eq,{x}); Зробимо перевірку: підставляємо у вихідне рівняння eq розв'язок x і одержуємо тотожність > subs(x=-(-b+a)*a/b,((x/a)-1)/(1-a^2/b^2)-1/(a/b-b/a)); Спрощуємо останній вираз (останній результат Maple зберігає під ім’ям %) > simplify(%); Відповідь: 4.2 Задача 4.2 (вар. №6) Розв’язати рівняння 1-й степені Розв’язання. > (9*sqrt(x)+1)/(6*(6*sqrt(x)-1))=sqrt(x)/(4*sqrt(x)-1); Задаємо рівняння eq > eq:=(9*sqrt(x)+1)/(6*(6*sqrt(x)-1))-sqrt(x)/(4*sqrt(x)-1)=0; Розв'язуємо рівняння eq відносно змінної x > solve(eq,{x}); Зробимо перевірку: підставляємо у вихідне рівняння eq розв'язок x і одержуємо 0 > subs(x=1,(9*sqrt(x)+1)/(6*(6*sqrt(x)-1))-sqrt(x)/(4*sqrt(x)-1)); Відповідь: 1. 5. Завдання №5 5.1 Задача 5.1 (вар. №6) Розв’язати системи рівнянь з двома невідомими Розв’язання. Використовуємо встроені функції елементарних перетворень пакету MAPLE: solve(рівняння або нерівність, змінна). > (7*x-3*y)/5=(5*x-y)/3-(x+y)/2;3*(x-1)=5*(y+1); Задаємо систему рівнянь з двома невідомими > sistema:={(7*x-3*y)/5=(5*x-y)/3-(x+y)/2, 3*(x-1)=5*(y+1)}; Розв'язуємо систему рівнянь відносно x,y > s:=solve(sistema,{x,y}); Зробимо перевірку: підставляємо у вихідну систему розв’язок і одержуємо дві тотожності > eval(sistema,s); Відповідь: (1; 1). 5.2 Задача 5.2 (вар. №6) Розв'язати системи рівнянь з двома невідомими Розв’язання. > (x+2*y-7)/(2*y-x+15)/(2*x+y+19)=1/2/3;(3*x+y-3)/(4*x-2*y+1)/(5*x-3*y+8)= 6/3/5; Задаємо систему рівнянь > sistema:={(x+2*y-7)/(3*x+y-3)=t/6, (2*y-x+15)/(4*x-2*y+1)=2*t/3, (2*x+y+19)/(5*x-3*y+8)=3*t/5}; Розв'язуємо систему рівнянь відносно змінних x,y,t > s:=solve(sistema,{x,y,t}); Для подання результів розв'язання системи рівнянь Maple використовує спеціальну функцію RootOf( ), яка застосовується для позначення будь-якого кореня виразу, заданого як її параметр. Змінна _Z - системна змінна, згенерована Maple, яка набуває цілих значень. За допомогою функції eval( ) можна отримати наближені числові значення функції RootOf( ). > evalf(s); 6. Завдання №6 6.1 Задача 6.1 (вар. №6) Побудувати графіки наступних функцій Розв’язання. > f:=x^2-3*abs(x)+2; Будуємо графік функції f, обираємо проміжок для змінної x від -3 до 3, колір - синій, товщина лінії – 3 > plot(f,x=-3..3,color=blue,thickness=3); 6.2 Задача 6.2 (вар. №6) Побудувати графіки наступних функцій Розв’язання. > y-x^2-y^2+2-abs(y-x^2)=0; Будуємо графік функції, заданої неявно за допомогою пакету plots > with(plots):implicitplot(y-x^2-y^2+2-abs(y-x^2),x=-3..3,y=-1..2, color=black, thickness=2);
Характеристики
Тип файла документ
Документы такого типа открываются такими программами, как Microsoft Office Word на компьютерах Windows, Apple Pages на компьютерах Mac, Open Office - бесплатная альтернатива на различных платформах, в том числе Linux. Наиболее простым и современным решением будут Google документы, так как открываются онлайн без скачивания прямо в браузере на любой платформе. Существуют российские качественные аналоги, например от Яндекса.
Будьте внимательны на мобильных устройствах, так как там используются упрощённый функционал даже в официальном приложении от Microsoft, поэтому для просмотра скачивайте PDF-версию. А если нужно редактировать файл, то используйте оригинальный файл.
Файлы такого типа обычно разбиты на страницы, а текст может быть форматированным (жирный, курсив, выбор шрифта, таблицы и т.п.), а также в него можно добавлять изображения. Формат идеально подходит для рефератов, докладов и РПЗ курсовых проектов, которые необходимо распечатать. Кстати перед печатью также сохраняйте файл в PDF, так как принтер может начудить со шрифтами.














