48749 (572217)
Текст из файла
Федеральное агентство по образованию РФ
ГОУ ВПО «Российский химико-технологический университет имени Д.И. Менделеева»
Новомосковский институт (филиал)
Кафедра «ВТИТ»
Предмет «Надежность, эргономика, качество АСОИУ»
«РАСЧЕТ СТРУКТУРНОЙ НАДЕЖНОСТИ СИСТЕМЫ»
Новомосковск, 2009 год
Исходные данные
По структурной схеме надежности технической системы в соответствии с вариантом задания, требуемому значению вероятности безотказной работы системы
и значениям интенсивностей отказов ее элементов
(табл. 6.1) требуется:
1. Построить график изменения вероятности безотказной работы системы от времени наработки в диапазоне снижения вероятности до уровня 0.1 – 0.2.
2. Определить
– процентную наработку технической системы.
3. Обеспечить увеличение
– процентной наработки не менее чем в 1.5 раза за счет:
а) повышения надежности элементов;
б) структурного резервирования элементов системы.
Все элементы системы работают в режиме нормальной эксплуатации (простейший поток отказов). Резервирование отдельных элементов или групп элементов осуществляется идентичными по надежности резервными элементами или группами элементов. Переключатели при резервировании считаются идеальными.
На схемах обведенные пунктиром m элементов являются функционально необходимыми из n параллельных ветвей.
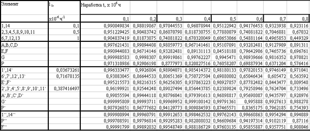
| № | , | Интенсивности отказов элементов, , x10-6 1/ч | |||||||||||||||
| вар. | % | 1 | 2 | 3 | 4 | 5 | 6 | 7 | 8 | 9 | 10 | 11 | 12 | 13 | 14 | 15 | |
| 4 | 50 | 0.1 | 0,5 | 1 | 0,5 | 1 | 0,1 | - | |||||||||
1. Элементы 2 и 3, 4 и 5, 8 и 9, 10 и 11 попарно образуют параллельное соединение, заменяем их соответственно элементами A, B, C, D. Т.к. элементы равны, то для них используется одна формула.
2. Элементы 6 и 7, 12 и 13 попарно образуют параллельное соединение, заменяем их соответственно элементами E, F. Т.к. элементы равны, то для них используется одна формула.
3. Элементы A, B, C, D и E образуют мостиковую систему, которую можно заменить квазиэлементом G. Для расчета вероятности безотказной работы воспользуемся методом разложения относительно особого элемента, в качестве которого выберем элемент E. Тогда
4. Полученные элементы образуют последовательное соединение, которое заменим на элемент E.
5. Таблица 1.
6. График 1
P‑вероятность безотказной работы исходной системы
P` – вероятность безотказной работы системы с повышенной надежностью
P`` – вероятность безотказной работы системы со структурным резервированием
По графику находим время, где вероятность безотказной работы исходной системы равна 50%, это 93093,1 ч.
7. Увеличение надежности элементов
Для того чтобы система при
ч система в целом имела вероятность безотказной работы
, необходимо увеличить надежность слабых элементов.
Увеличим надежность элементов 1 и 14 до 0,95
Соответственно
Далее увеличим надежность элементов F и E до 0,6
Далее методом подбора в Excel, используя известные даные о значениях элементов G и E, найдем значение элементов A, B, C, D и из них – 2,3,4,5,8,9,10,11.
Также в Excel найдем новые значения элементов 6,7,12,13 используя информацию о элементах E и F.
Т.к. по условию все элементы работают в периоде нормальной эксплуатации и подчиняются экспотенциальному закону, то
| Элемент | l i, x10–6 ч‑1 |
| 1`, 14` | 0,03673261 |
| 6`, 7`, 12`, 13` | 0,71678135 |
| 2`, 3`, 4`, 5`, 8`, 9`, 10`, 11` | 0,387416497 |
8. Резервирование
Вначале зарезирвируем элементы 1 и 14
1=15=14=16
При таком резервировании надежность системы в момент времени 93093,1 ч, будет равна 35%
Зарезирвируем элементы 12 и 13
12=13=17=18
Резервирование этих элементов привело к к увеличению надежности системы в момент времени 93093,1 ч до 54%, что достаточно.
Выводы
По графику видно, что оба метода увеличения времени наработки системы до 50% позволили добиться нужного результата. Однако у метода резервирования надежность выше, к тому же с точки зрения технической реализации системы этот метод предпочтительнее, т. к. не всегда технически возможно увеличить надежность элемента.
Характеристики
Тип файла документ
Документы такого типа открываются такими программами, как Microsoft Office Word на компьютерах Windows, Apple Pages на компьютерах Mac, Open Office - бесплатная альтернатива на различных платформах, в том числе Linux. Наиболее простым и современным решением будут Google документы, так как открываются онлайн без скачивания прямо в браузере на любой платформе. Существуют российские качественные аналоги, например от Яндекса.
Будьте внимательны на мобильных устройствах, так как там используются упрощённый функционал даже в официальном приложении от Microsoft, поэтому для просмотра скачивайте PDF-версию. А если нужно редактировать файл, то используйте оригинальный файл.
Файлы такого типа обычно разбиты на страницы, а текст может быть форматированным (жирный, курсив, выбор шрифта, таблицы и т.п.), а также в него можно добавлять изображения. Формат идеально подходит для рефератов, докладов и РПЗ курсовых проектов, которые необходимо распечатать. Кстати перед печатью также сохраняйте файл в PDF, так как принтер может начудить со шрифтами.
















