25259 (568896), страница 2
Текст из файла (страница 2)
Геодезические обоснования позволяют получить информацию о рельефе и ситуации местности, и служат не только для проектирования, но и для проведения других видов обоснований. В процессе геодезических изысканий выполняют работы по созданию геодезического обоснования и топографической съемке в разных масштабах на участке строительства, производят трассирование линейных сооружений, геодезическую привязку геологических выработок, точек геофизической разведки и многие другие работы.
Геологические обоснования дают возможность получить представление о геологическом строении местности, физико-геологических явлениях, прочности грунтов, составе и характере подземных вод и т.п. Эти сведения позволяют сделать оценку условий строительства сооружения.
В процессе геодезических обоснований определяют характер изменения уровней воды, уклоны, изучают направление и скорости течений, вычисляют расходы воды, производят промеры глубин и т.д.
К геодезическим обоснованиям также относятся: геотехнический контроль, оценка опасности и риска от природных и техногенных процессов; обоснование мероприятий по инженерной защите территорий; локальный мониторинг компонентов окружающей среды, научные исследования в процессе инженерных изысканий, авторский надзор за использованием изыскательской продукции и др.
Содержание и объемы геодезических обоснований определяются типом, видом и размерами планируемого сооружения, местными условиями и степенью их изученности, а также стадией проектирования.
Различные виды сооружений, технология строительства которых имеет много общего и обоснования для которых проводятся по схожей схеме, могут быть объединены в группы: площадные и линейные сооружения.
Основные задачи инженерно-геодезических обоснований – изучение природных и экономических условий района будущего строительства, составление прогнозов взаимодействия объектов строительства с окружающей средой, обоснование их инженерной защиты и безопасных условий жизни населения.
Каждая стадия инженерно-геодезических обоснования обеспечивает материалами соответствующую стадию проектирования.
В связи с этим различают следующие обоснования:
- предварительные на стадии технико-экономического обоснования или технико-экономического расчета;
- на стадии проекта;
- на стадии рабочей документации.
Обоснования делятся на экономические и технические.
Экономические проводят для определения экономической целесообразности строительства сооружения в конкретном месте с учетом обеспеченности его строительными материалами, сырьем, транспортом, водой, энергией, рабочей силой и т.п. Экономические обоснования обычно предшествуют техническим.
Технические обоснования ведут для того, чтобы дать исчерпывающие сведения о природных условиях участка для наилучшего учета и использования их при проектировании и строительстве.
Для оценки участка предполагаемого строительства комплексно проводят следующие обоснования: основные – инженерно-геодезические, инженерно-геологические и гидрогеологические, гидрометеорологические; а также климатологические, метеорологические, почвенно-геоботанические и другие. Основные изыскания выполняют в первую очередь для всех типов сооружений.
4. Геодезическое сопровождение при монтаже колонн в стаканы фундаментов
При сооружении кирпичного здания сначала от строительных осей на фундаменте строят контур внешней и внутренней поверхностей несущих стен. В процессе кладки не реже двух раз на 1 м высоты проверяют горизонтальность рядов кирпичей и нитяным отвесом - вертикальность стены. Дверные и оконные проемы, перегородки и т.п. разбивают от осей несущих стен рулеткой.
Горизонтальность и высоту несущих стен перед укладкой плит перекрытий проверяют нивелиром и Г-образной рейкой. При обнаружении отклонений их исправляют путем изменения толщины цементной стяжки. После укладки плит перекрытия оси здания выносят на уровень следующего этажа). При использовании в конструкции здания колонн на их фундаменты переносят соответствующие строительные оси и закрепляют их рисками (рис. 4). На фундаменты колонн помещают опорные башмаки, установочные риски, которые совмещают с ориентирными рисками на фундаменте. Отметку дна стакана определяют геометрическим нивелированием.
Рис. 4 - Схема ориентирных и установочных рисок на фундаменте и опорных башмаках колонны: 1 - ориентирные риски фундаментного блока; 2 - установочная риска; 3 - ориентирные риски опорного башмака; 4 - отверстие для установки колонны; 5 - опорный башмак (стакан); 6 - фундамент
Перед монтажом колонн на них наносят риски. Установочные риски маркируют с четырех сторон колонны на разных высотах. Высотную риску в виде черты наносят в нижней части колонны на расстоянии не менее 100 мм от основания, такую же риску маркируют в верхней части колонн. Колонну поднимают за верхнюю часть и устанавливают в стакан, на дно которого кладут металлическую пластину, ее толщину определяют путем геометрического нивелирования с учетом установки всех колонн на одном уровне по высоте.
С помощью деревянных клиньев или специальной оснастки колонну перемещают до совпадения установочных рисок на ней с ориентирными рисками на стакане. При высоком положении риски на колонне ее проектируют нитяным отвесом. С помощью расчалок колонну устанавливают в вертикальное положение, контроль вертикальности осуществляют двумя теодолитами, уставленными так, чтобы их коллимационные плоскости пересекались на колонне примерно под углом 90° (рис. 5).
После этого стакан бетонируют.
Рис. 5 - Выверка колонн по вертикали: 1 - ориентирная риска; 2 - визирный луч; 3 - установочная риска
При строительстве сборных крупнопанельных зданий на фундамент в пределах зоны монтажа выносят строительные оси. На этажах разбивку делают от строительных осей элементов стен, лестниц и т.п., для установки в проектное положение элементов конструкций используют телескопические откосы, упоры, различные захваты и т.п.
При строительстве сборных крупнопанельных зданий на фундамент в пределах зоны монтажа выносят строительные оси. На этажах разбивку делают от строительных осей элементов стен, лестниц и т.п., для установки в проектное положение элементов конструкций используют телескопические откосы, упоры, различные захваты и т.п.
При возведении высотных зданий фундамент устанавливают в виде монолитной плиты на всю площадь здания. В плиту закладывают металлические центры, взаимное положение которых определяют с высокой точностью путем включения в опорную геодезическую сеть, от пунктов этой сети определяют и закрепляют положение всех строительных осей. На каждый новый этаж пункты опорной сети переносят методом вертикального проектирования.
5. Задача
Определить румб линии 1-2 по известному азимуту А1-2 = 168°27`
Решение
Географическим (истинным) азимутом линии называется горизонтальный угол Аи, измеренный по ходу часовой стрелки от северного направления географического меридиана точки до ориентируемой линии. Пределы изменения географического азимута – от 0° до 360°.
Румбом линии местности в данной точке называют горизонтальный угол r, измеренный от ближайшего направления меридиана (северного или южного) до направления данной линии. Пределы изменения румба от 0° до 90°. Название румба зависит от названия меридиана: географический (истинный), дирекционный или магнитный.
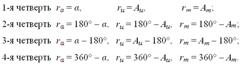
Дирекционный румб rα, географический (истинный) rи и магнитный румб rт линии вычисляются по формулам:
Номер четверти определяется по значению азимута: в 1-й четверти азимут изменяется от 0° до 90°, во 2-й четверти от 90° до 180°, в 3-й четверти – от 180° до 270°, в 4-й четверти – от 270° до 360°. Полное написание румба включает его числовое значение и название четверти (1-я – СВ, 2-я – ЮВ, 3-я – ЮЗ, 4-я – СЗ), например rт = ЮВ: 45°10'. В нашем случае А1-2 = 168°27`.
Определим по значениям ориентирных углов четверть, в которой находятся линии 1-2: 168°27` - 2 четверть
Вычислим значение результатов по формуле:
r=180°-168°27`=12°33`; ЮВ: 12°33`
Список литературы
1. Большаков В.Д., Гайдаев П.А. Теория математической обработки геодезических измерений. М.: Недра, 2007.
2. Большаков В.Д., Деймлих Ф., Васильев В.П., Голубев А.Н. Радиогеодезические и электрооптические измерения. М.: Недра, 2005.
3. Геодезия. М.: Недра, ч. I 2007г., ч. II 2007г. Авторы: Ч.I Гиршберг М.А., ч. II Селиханович В.Г.
4. Левчук Г.П., Новак В.Б., Конусов В.К. Прикладная геодезия. Основные методы и принципы инженерно-геодезических работ. М.: Недра, 2001.
5. Пеллинен Л.П. Высшая геодезия (Теоретическая геодезия). М.: Недра, 2000.
6. Справочник геодезиста кн. 1, кн. 2. М.: Недра 2005. Ред. Большаков В.Д., Левчук Г.П.
















