20643 (568683), страница 2
Текст из файла (страница 2)
Ответ: четыре пожарных расчета
7. Произвести расчет сил и средств на тушение пожара при организации подачи воды методом подвоза с помощью АЦ-40 (375)Ц1. Водоисточник расположен от места пожара на расстоянии 1,8 км. Заправка автоцистерн осуществляется с помощью АЦ-40 (130)63Б. Средняя скорость движения АЦ к водоисточнику – 35 км/ч; от водоисточника – 30 км/ч
Решение.
Определим время следования автоцистерн к водоисточнику и обратно:
Определим время заправки автоцистерны:
Определим время расхода воды на месте пожара:
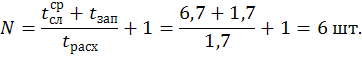
Определим число автоцистерн, необходимых для подвоза воды и обеспечения бесперебойной работы стволов.
Ответ: для организации подвоза воды требуется 6 автоцистерн.
Литература
1. Кимстач И.Ф., Девлишев П.П., Евтюшкин Н.М. Пожарная тактика. - М.: Стройиздат, 1984. - 590 с.
2. Лойко В.И., Михалюк С.А., Крюков В.В. Тактика спасательных работ и ликвидации чрезвычайных ситуаций. – Мн.: КИИ, 2002, - 42 с.
3. Теребнев В.В. Справочник руководителя тушения пожара. – М.: Пожкнига, 2004. – 248 с.
















