19921 (568639), страница 2
Текст из файла (страница 2)
Соотношение между темпами роста производительности труда и средней заработной платы характеризуется коэффициентом опережения, который определяется как соотношение индексов производительности труда и средней заработной платы.
Коэффициент опережения показывает, на сколько процентов (во сколько раз) рост производительности труда опережал или отставал от повышения средней заработной платы. Однако он не определяет величину соотношения между этими показателями. Поэтому в процессе анализа важно выяснить, какой процент роста средней заработной платы намечался по плану и получен фактически на каждый процент повышения производительности труда.
Показатели труда в коммерческом предприятии представляют интерес с точки зрения их влияния на финансовые средства предприятия. Так, например, правильный расчет и учет показателей оплаты труда позволяет правильно и эффективно организовать распределение денежных средств предприятия, что в свою очередь позволяет организовывать бесперебойную работу различных структур и всего предприятия в целом.
В целом же для эффективного осуществления хозяйственной деятельности коммерческого предприятия, в частности в сфере оплаты труда работников, необходимо совмещать теоретические аспекты данного вида деятельности, методологические основы расчетов с практическими приемами и навыками осуществления предпринимательской деятельности.
Помимо этого хотелось бы отметить необходимость развития применения новых прогрессивных методов в изучении показателей оплаты труда в предприятиях. Для чего используются электронно-вычислительная техника, новые методики расчета. Развитие этих направлений предопределяется фондом технической оснащенности предприятия, применением и использованием в практической деятельности научных подходов к изучению, анализу и прогнозированию положения и состояния своего предприятия.
Практическое задание
оплата труд тарифный налогообложение
На основании приведенных данных проанализируйте ритмичность выполнения плана розничного товарооборота ООО «Луч» за отчетный год, с этой целью исчислите:
- процент выполнения плана по месяцам, кварталам и за год;
- удельный вес товарооборота каждого квартала в общем объеме, по плану и фактически;
- коэффициенты вариации и ритмичности, а также их изменение (в прошлом году эти показатели соответственно составили 8,9 и 91,1);
- построить график ритмичности выполнения плана розничного товарооборота по месяцам;
-
сделайте выводы.
| Месяцы и кварталы | Розничный товарооборот, тыс. руб. | |
По плану | Фактически | |
| Январь | 320 | 320 |
| Февраль | 342 | 345 |
| Март | 425 | 420 |
| Итого 1 квартал | ||
| Апрель | 385 | 380 |
| Май | 360 | 370 |
| Июнь | 370 | 375 |
| Итого 2 квартал | ||
| Июль | 320 | 320 |
| Август | 370 | 370 |
| Сентябрь | 330 | 340 |
| Итого 3 квартал | ||
| Октябрь | 320 | 340 |
| Ноябрь | 240 | 341 |
| Декабрь | 345 | 390 |
| Итого 4 квартал | ||
| Итого за год | ||
Решение:
1) процент выполнения плана по месяцам, кварталам и за год:
| Месяцы и кварталы | Розничный товарооборот, тыс. руб. | % выполнения плана | Удельный вес (%) | ||
По плану | Фактически | По плану | Фактически | ||
| Январь | 320 | 320 | 100 | 7,7 | 7,4 |
| Февраль | 342 | 345 | 101 | 8,3 | 8 |
| Март | 425 | 420 | 99 | 10,3 | 9,7 |
| Итого 1 квартал | 1087 | 1085 | 99,8 | 26,3 | 25,1 |
| Апрель | 385 | 380 | 98,7 | 9,3 | 8,8 |
| Май | 360 | 370 | 102,8 | 8,7 | 8,6 |
| Июнь | 370 | 375 | 101,4 | 9 | 8,9 |
| Итого 2 квартал | 1115 | 1125 | 100,9 | 27 | 26,1 |
| Июль | 320 | 320 | 100 | 7,7 | 7,4 |
| Август | 370 | 370 | 100 | 9 | 8,6 |
| Сентябрь | 330 | 340 | 103 | 8 | 7,9 |
| Итого 3 квартал | 1020 | 1030 | 101 | 24,7 | 23,9 |
| Октябрь | 320 | 340 | 106 | 7,8 | 7,9 |
| Ноябрь | 240 | 341 | 142 | 5,8 | 7,9 |
| Декабрь | 345 | 390 | 113 | 8,4 | 9,1 |
| Итого 4 квартал | 905 | 1071 | 118,3 | 22 | 24,9 |
| Итого за год | 4127 | 4311 | 104,5 | 100 | 100 |
2) Удельный вес товарооборота каждого квартала в общем объеме, по плану и фактически:
по плану: 1087/4127х100%=26,3%
1115/4127х100%=27%
1020/4127х100%=24,7%
905/4127х100%=22%
в общем объеме: 26,3%+27%+24,7%+22%=100%
фактически: 1085/4311х100%=25,1%
1125/4311х100%=26,1%
1030/4311х100%=23,9%
1071/4311х100%=24,9%
в общем объеме: 25,1%+26,1%+23,9%+24,9%=100%
Вывод: удельный вес товарооборота каждого квартала колеблется от 22% до 27%, т.е. в районе 25%, следовательно предприятие работает ритмично в течение года, сезонных колебаний нет.
3) коэффициент ритмичности:
где
- товарооборот фактический, но не выше планового,
- товарооборот по плану.
Крит=(320+342+420+380+360+370+320+370+330+320+240+345)/4127х100==4117/4127х100=99,8
Крит = 99,8 - 91,1 = +8,7
Вывод: коэффициент ритмичности близок к 100%, следовательно предприятие работает ритмично в течение года.
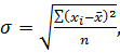
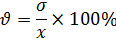
4) коэффициент вариации:
где
- выполнение плана за i- период
= 7,4%
8,9% =
1,5%
Вывод: так как коэффициент вариации показывает отклонение от среднего уровня выполнения плана в процентном выражении, то его уменьшение свидетельствует о том, что предприятие стало работать более ритмично.
5) график ритмичности выполнения плана (% из таблицы) розничного товарооборота по месяцам:
Список используемой литературы
1. Ефимова М.Р., Рябцев В.М. Общая теория статистики: Учебник. - М.: Финансы и статистика, 1999
2. Булатова З.Г., Юдина Л.Н. Технико-экономический анализ хозяйственной деятельности предприятий бытового обслуживания. Издание 2-е, переработанное и дополненное. М.: Легпромбытиздат, 2001
3. Кондраков Н.П. Бухгалтерский учет, анализ хозяйственной деятельности и аудит в условиях рынка. - М.: Перспектива, 2002
4. Кравченко Л.М. Анализ хозяйственной деятельности в торговле: Учебник для вузов. - Мн.: Выш. шк., 2005
5. Кравченко Л.М. Анализ хозяйственной деятельности предприятий общественного питания: Учебно-практическое пособие. - Мн.: «Финансы, учет, аудит», 2003
6. Ковалев В.В., Патров В.В. Как читать баланс. - М.: Финансы и статистика, 1999
7. Любушин М.П., Лещева В.Б., Дьякова В.Г. Анализ финансово-экономической деятельности предприятия. Учебное пособие для вузов. - М.: ЮНИТИ-ДАНА, 2002
8. Савицкая Г.В. Анализ хозяйственной деятельности предприятия АПК: Учебное пособие. - Мн.: ИП «Экоперспектива»,2004
9. Торговое дело: экономика, маркетинг, организация. Учебник под редакцией Л.А. Брагина, Т.П. Данько. М., Инфра, 2005
10. Шишкин А.К., Микрюков В.А., Дышкант И.Д. Учет, анализ, аудит на предприятии: Учебное пособие для вузов. - М.: Аудит, ЮНИТИ, 200
11. Шеремет А.Д. Комплексный экономический анализ деятельности предприятия (вопросы методологии). - М.: Экономика, 2003
Размещено на Allbest.ru















