4433 (567089)
Текст из файла
СИБИРСКИЙ УНИВЕРСИТЕТ
ПОТРЕБИТЕЛЬСКОЙ КООПЕРАЦИИ
Контрольная работа
по безопасности жизнедеятельности
Содержание
Нормирование воздухообмена по чистоте воздуха
Пути обеспечения вибробезопасных условий труда
Задачи
Список литературы
Нормирование воздухообмена по чистоте воздуха
Чистота воздуха характеризуется его качеством. Под качеством атмосферного воздуха понимают совокупность свойств атмосферы, которая определяет степень воздействия физических, химических, биологических факторов на людей, животных и растительный мир, а также на строения, конструкции, материалы и окружающую среду в целом.
В соответствии с природоохранным законодательством Российской Федерации нормирование качества окружающей природной среды производится с целью установления предельно допустимых норм воздействия, гарантирующих экологическую безопасность населения, сохранение генофонда, обеспечивающих рациональное использование и воспроизводство природных ресурсов в условиях устойчивого развития хозяйственной деятельности. При этом под воздействием понимается антропогенная деятельность, связанная с реализацией экономических, рекреационных, культурных интересов и вносящая физические, химические, биологические изменения в природную среду.
Экологическое нормирование предполагает учет так называемой допустимой нагрузки на экосистему. Допустимой считается такая нагрузка, под воздействием которой отклонение от нормального состояния системы не превышает естественных изменений и, следовательно, не вызывает нежелательных последствий у живых организмов и не ведет к ухудшению качества среды.
Как экологическое, так и санитарно-гигиеническое нормирование основаны на знании эффектов, оказываемых разнообразными факторами воздействия на живые организмы. Одним из важных понятий в токсикологии и в нормировании является понятие вредного вещества.
В специальной литературе принято называть вредными все вещества, воздействие которых на биологические системы может привести к отрицательным последствиям. Кроме того, как правило, все ксенобиотики (чужеродные для живых организмов, искусственно синтезированные вещества) рассматривают как вредные.
Установление нормативов качества окружающей среды и продуктов питания основывается на принципе порогового воздействия. Порог вредного действия — это минимальная доза вещества, при воздействии которой в организме возникают изменения, выходящие за пределы физиологических и приспособительных реакций, или скрытая (временно компенсированная) патология. Таким образом, пороговая доза вещества (или пороговое действие вообще) вызывает у биологического организма отклик, который не может быть скомпенсирован за счет гомеостатических механизмов (механизмов поддержания внутреннего равновесия организма).
Нормативы, ограничивающие вредное воздействие, устанавливаются и утверждаются специально уполномоченными государственными органами в области охраны окружающей природной среды, санитарно-эпидемиологического надзора и совершенствуются по мере развития науки и техники с учетом международных стандартов. В основе санитарно-гигиенического нормирования лежит понятие предельно допустимой концентрации.
Нормативами качества воздуха определены допустимые пределы содержания вредных веществ как в производственной (предназначенной для размещения промышленных предприятий, опытных производств научно-исследовательских институтов и т.п.), так и в селитебной зоне (предназначенной для размещения жилого фонда, общественных зданий и сооружений) населенных пунктов.
Предельно допустимая концентрация вредного вещества в воздухе рабочей зоны (ПДКрз) — концентрация, которая при ежедневной (кроме выходных дней) работе в течение 8 часов, или при другой продолжительности, но не более 41 часа в неделю, на протяжении всего рабочего стажа не должна вызывать заболевания или отклонения в состоянии здоровья, которые могут быть обнаружены современными методами исследования в процессе работы или в отдаленные сроки жизни настоящего и последующего поколений. Рабочей зоной следует считать пространство высотой до 2 м над уровнем пола или площади, на которой находятся места постоянного или временного пребывания рабочих.
Как следует из определения, ПДКрз представляет собой норматив, ограничивающий воздействие вредного вещества на взрослую работоспособную часть населения в течение периода времени, установленного трудовым законодательством. Совершенно недопустимо сравнивать уровни загрязнения селитебной зоны с ПДКрз, а также говорить о ПДК в воздухе вообще, не уточняя, о каком нормативе идет речь.
Предельно допустимая концентрация максимально разовая (ПДКмр) — концентрация вредного вещества в воздухе населенных мест, не вызывающая при вдыхании в течение 20 минут рефлекторных (в том числе, субсенсорных) реакций в организме человека.
Таблица 1. Соотношение различных видов ПДК в воздухе для некоторых веществ
| Вещество | ПДKсс, мг/м3 | ПДKмр, мг/м3 | vПДKрз, мг/м3 |
| Азота оксид (II) | 0,06 | 0,6 | 30 |
| Kобальта сульфат | 0,0004 | 0,001 | 0,005 |
| 4-хлоранилин | 0,01 | 0,04 | 0,30 |
Понятие ПДКмр используется при установлении научно-технических нормативов — предельно допустимых выбросов загрязняющих веществ. В результате рассеяния примесей в воздухе при неблагоприятных метеорологических условиях на границе санитарно-защитной зоны предприятия концентрация вредного вещества в любой момент времени не должна превышать ПДКмр.
Предельно допустимая концентрация среднесуточная (ПДКсс) — это концентрация вредного вещества в воздухе населенных мест, которая не должна оказывать на человека прямого или косвенного воздействия при неограниченно долгом (годы) вдыхании. Таким образом, ПДКсс рассчитана на все группы населения и на неопределенно долгий период воздействия и, следовательно, является самым жестким санитарно-гигиеническим нормативом, устанавливающим концентрацию вредного вещества в воздушной среде.
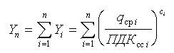
Предложен ряд комплексных показателей загрязнения атмосферы (совместно несколькими загрязняющими веществами); наиболее распространенным является комплексный индекс загрязнения атмосферы (ИЗА). Его рассчитывают как сумму нормированных по ПДКсс и приведенных к концентрации диоксида серы средних содержаний различных веществ:
,
где Yi — единичный индекс загрязнения для i-ого вещества;
qcpi — средняя концентрация i-ого вещества;
ПДКcci — ПДКсс для i-ого вещества;
ci — безразмерная константа приведения степени вредности i-ого вещества к вредности диоксида серы, зависящая от того, к какому классу опасности (см. ниже) принадлежит загрязняющее вещество.
| Классы опасности | 1 | 2 | 3 | 4 |
| Константа сi | 1,7 | 1,3 | 1,0 | 0,9 |
Для сопоставления данных о загрязненности несколькими веществами атмосферы разных городов или районов города комплексные индексы загрязнения атмосферы должны быть рассчитаны для одинакового количества (n) примесей. При составлении ежегодного списка городов с наибольшим уровнем загрязнения атмосферы для расчета комплексного индекса Yn используют значения единичных индексов Yi тех пяти веществ, у которых эти значения наибольшие.
Пути обеспечения вибробезопасных условий труда
Среди всех видов механических воздействий для технических объектов наиболее опасна вибрация. Знакопеременные напряжения, вызванные вибрацией, содействуют накоплению повреждений в материалах, появлению трещин и разрушению. Чаще всего и довольно быстро разрушение объекта наступает при вибрационных влияниях в условиях резонанса. Вибрация вызывает также и отказы машин, приборов.
По способу передачи на тело человека вибрацию разделяют на общую, которая передается через опорные поверхности на тело человека, и локальную, которая передается через руки человека. В производственных условиях часто встречаются случаи комбинированного влияния вибрации — общей и локальной. Вибрация вызывает нарушения физиологического и функционального состояний человека. Стойкие вредные физиологические изменения называют вибрационной болезнью. Симптомы вибрационной болезни проявляются в виде головной боли, онемения пальцев рук, боли в кистях и предплечье, возникают судороги, повышается чувствительность к охлаждению, появляется бессонница. При вибрационной болезни возникают патологические изменения спинного мозга, сердечно-сосудистой системы, костных тканей и суставов, изменяется капиллярное кровообращение.
Функциональные изменения, связанные с действием вибрации на человека-оператора — ухудшение зрения, изменение реакции вестибулярного аппарата, возникновение галлюцинаций, быстрая утомляемость. Негативные ощущения от вибрации возникают при ускорении, которое составляет 5% ускорения силы веса, то есть при 0,5 м/с2. Особенно вредны вибрации с частотами, близкими к частотам собственных колебаний тела человека, большинство которых находится в границах 6...30, Гц.
Резонансные частоты отдельных частей тела следующие, Гц:
— глаза — 22...27;
— горло — б...12;
— грудная клетка — 2...12;
— ноги, руки — 2...8:
— голова — 8...27;
— лицо и челюсти — 4...27;
— поясничная часть позвоночника — 4...14;
— живот — 4...12.
Общая вибрация классифицируется следующим образом:
— транспортная, которая возникает вследствие движения по дорогам;
— транспортно-технологическая, которая возникает при работе машин, которые выполняют технологические операции в стационарном положении или при перемещении по специально подготовленным частям производственных помещений, производственных площадок;
— технологическая, которая влияет на операторов стационарных машин или передается на рабочие места, которые не имеют источников вибрации.
Общие методы борьбы с вибрацией базируются на анализе уравнений, которые описывают колебание машин в производственных условиях и классифицируются следующим образом:
* снижение вибраций в источнике возникновения путем снижения или устранения возбуждающих сил;
* регулировка резонансных режимов путем рационального выбора приведенной массы или жесткости системы, которая колеблется;
* вибродемпферование — снижение вибрации за счет силы трения демпферного устройства, то есть перевод колебательной энергии в тепловую;
* динамическое гашение — введение в колебательную систему дополнительной массы или увеличение жесткости системы;
* виброизоляция — введение в колебательную систему дополнительной упругой связи с целью ослабления передачи вибраций смежному элементу, конструкции или рабочему месту;
* использование индивидуальных средств защиты.
Снижение вибрации в источнике ее возникновения достигается путем уменьшения силы, которая вызывает колебание. Поэтому еще на стадии проектирования машин и механических устройств следует выбирать кинематические схемы, в которых динамические процессы, вызванные ударами и ускорением, были бы исключены или снижены.
Для ослабления вибраций существенное значение имеет предотвращение резонансных режимов работы с целью исключения резонанса с частотой принуждающей силы. Собственные частоты отдельных конструктивных элементов определяются расчетным методом по известным значениям массы и жесткости или же экспериментально на стендах.
Вибродемпферование. Этот метод снижения вибрации реализуется путем превращения энергии механических колебаний колебательной системы в тепловую энергию. Увеличение расхода энергии в системе осуществляется за счет использования конструктивных материалов с большим внутренним трением: пластмасс, металлорезины, сплавов марганца и меди, никелетитанових сплавов, нанесения на вибрирующие поверхности слоя упруговязких материалов, которые имеют большие, потери на внутреннее трение. Наибольший эффект при использовании вибродемпферных покрытий достигается в области резонансных частот, поскольку при резонансе значение влияния сил трения на уменьшение амплитуды возрастает.
Виброгашение, Для динамического гашения колебаний используются динамические виброгасители: пружинные, маятниковые, эксцентриковые гидравлические. Недостатком динамического гасителя является то, что он действует только при определенной частоте, которая отвечает его резонансному режиму колебаний. Динамическое виброгашение достигается также установлением агрегата на массивном фундаменте.
Характеристики
Тип файла документ
Документы такого типа открываются такими программами, как Microsoft Office Word на компьютерах Windows, Apple Pages на компьютерах Mac, Open Office - бесплатная альтернатива на различных платформах, в том числе Linux. Наиболее простым и современным решением будут Google документы, так как открываются онлайн без скачивания прямо в браузере на любой платформе. Существуют российские качественные аналоги, например от Яндекса.
Будьте внимательны на мобильных устройствах, так как там используются упрощённый функционал даже в официальном приложении от Microsoft, поэтому для просмотра скачивайте PDF-версию. А если нужно редактировать файл, то используйте оригинальный файл.
Файлы такого типа обычно разбиты на страницы, а текст может быть форматированным (жирный, курсив, выбор шрифта, таблицы и т.п.), а также в него можно добавлять изображения. Формат идеально подходит для рефератов, докладов и РПЗ курсовых проектов, которые необходимо распечатать. Кстати перед печатью также сохраняйте файл в PDF, так как принтер может начудить со шрифтами.















