151445 (566929)
Текст из файла
Министерство образования и науки российской федерации
Федеральное агенство по образованию
Дальневосточный государственный университет
Лабораторная работа № 4
Изучение счетчика Гейгера-Мюллера
Выполнил студент
131б группы
ИФИТ ДВГУ
Ефимов Тимофей Александрович
Владивосток 2006 г.
Цель работы: Ознакомление с газоразрядными детекторами ядерных излучений (ионизационные камеры, пропорциональные счетчики, счетчики Гейгера-Мюллера) и физикой процессов, происходящих в счетчиках при регистрации ядерных частиц. Исследование счетчика Гейгера-Мюллера.
Выполнение работы:
-
Снятие плато счетчика, определение его наклона и выбор рабочей точки.
а) снимем зависимость скорости счета частиц от напряжения.
Таблица 1. - Показатели
| U,В | ∆ν, 1/с |
| 300 | 0,591946 |
| 310 | 0,617981 |
| 320 | 0,619193 |
| 330 | 0,633009 |
| 340 | 0,631427 |
| 360 | 0,64467 |
| 380 | 0,663099 |
| 400 | 0,676535 |
| 420 | 0,672607 |
| 440 | 0,678012 |
| 460 | 0,692892 |
| 480 | 0,695414 |
| 410 | 0,673869 |
График 1. – Кривая
б) Выберем рабочую точку соответствующую напряжению U=410 В.
-
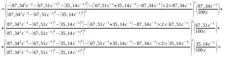
Определение мертвого времени счетчика методом двух источников.
При заданном значении напряжении для комбинации 2х источников получим
Таблица 2. - Результат
| образец №1 ∆ν,1/с | образец №2 ∆ν, 1/с | образец №1+2 ∆ν, 1/с |
| 6751 | 3514 | 8734 |
По формуле
Определим мертвое время счетчика
Рассчитаем ошибку определения мертвого времени счетчика
Таким образом, мертвое время счетчика (8,3±1,3)*10-3 с. Относительная ошибка определения мертвого времени счетчика ε(τ)=15%.
Вывод: мы изучили работу газоразрядных детекторов, построили счетную характеристику счетчика Гейгера-Мюллера, определили его мертвое время.
Характеристики
Тип файла документ
Документы такого типа открываются такими программами, как Microsoft Office Word на компьютерах Windows, Apple Pages на компьютерах Mac, Open Office - бесплатная альтернатива на различных платформах, в том числе Linux. Наиболее простым и современным решением будут Google документы, так как открываются онлайн без скачивания прямо в браузере на любой платформе. Существуют российские качественные аналоги, например от Яндекса.
Будьте внимательны на мобильных устройствах, так как там используются упрощённый функционал даже в официальном приложении от Microsoft, поэтому для просмотра скачивайте PDF-версию. А если нужно редактировать файл, то используйте оригинальный файл.
Файлы такого типа обычно разбиты на страницы, а текст может быть форматированным (жирный, курсив, выбор шрифта, таблицы и т.п.), а также в него можно добавлять изображения. Формат идеально подходит для рефератов, докладов и РПЗ курсовых проектов, которые необходимо распечатать. Кстати перед печатью также сохраняйте файл в PDF, так как принтер может начудить со шрифтами.















