150339 (566846)
Текст из файла
Лабораторная работа по физике
ИЗУЧЕНИЕ ЯВЛЕНИЙ ИНТЕРФЕРЕНЦИИ
Краткая теория работы
Интерференция света
Интерференция – это результат наложения двух когерентных световых волн. В результате чего в одних местах появляются минимумы, а в других – максимумы.
Согласованное протекание во времени и пространстве нескольких колебательных или волновых процессов называется когерентностью.
Когерентности удовлетворяют монохроматические волны – неограниченные в пространстве волны одной определенной и строго постоянной частоты.
Геометрической разностью хода Δl называется разность расстояний, которые проходят лучи до данной точки от двух разных источников.
Оптической разностью хода
- это произведение показателя преломления в той среде, где движется луч с геометрической разностью хода.
Опыт Юнга
Пусть имеется два когерентных источника S1 и S2 (в виде узких щелей) расположенных на расстоянии D от экрана.
Зная D и λ рассчитаем расстояния между соседними максимумами:
Если
, то
. Тогда
.
Для двух соседних максимумов разность хода должна быть равна четному числу полуволн. Расстояние между двумя соседними максимумами называется шириной интерференционной полосы
.
Кольца Ньютона
Кольца Ньютона – это один из вариантов «полос равной толщены».
– Радиус кольца.
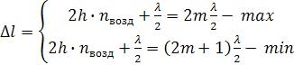
Если наблюдение проводится в отраженном виде, то
Выразим толщину h через радиус кривизны линзы:
Из AOB
При nвозд = 1:
;
Максимумам интерференции в отраженном свете соответствуют минимумы в проходящем, и наоборот.
Исходные данные
L = 4(м); λкр = 700(нм); λзел = 550(нм); λсин = 450 (нм);
Таблица результатов измерений
Опыт Юнга (табл. 1)
| Кольца Ньютона (табл. 2)
| |||||||||||||||||||||||||||||||||||||||||||||||||||||||||||||||||||||||||||||||||||||||||
Подробный расчет всех необходимых величин
Опыт Юнга
По таблице 1 построим график зависимости ширины полос Δl от угла схождения лучей на экране Ψ:
Определим длину волны через угол наклона соответствующей прямой к оси абсцисс:
Кольца Ньютона
По таблице 2 построим график зависимости квадрата радиуса темного кольца r к радиусу кривизны поверхности линзы R:
Определим длину волны через угол наклона соответствующей прямой к оси абсцисс:
Выводы по работе
Рассчитаны длины волн в опыте Юнга и кольцах Ньютона.
Характеристики
Тип файла документ
Документы такого типа открываются такими программами, как Microsoft Office Word на компьютерах Windows, Apple Pages на компьютерах Mac, Open Office - бесплатная альтернатива на различных платформах, в том числе Linux. Наиболее простым и современным решением будут Google документы, так как открываются онлайн без скачивания прямо в браузере на любой платформе. Существуют российские качественные аналоги, например от Яндекса.
Будьте внимательны на мобильных устройствах, так как там используются упрощённый функционал даже в официальном приложении от Microsoft, поэтому для просмотра скачивайте PDF-версию. А если нужно редактировать файл, то используйте оригинальный файл.
Файлы такого типа обычно разбиты на страницы, а текст может быть форматированным (жирный, курсив, выбор шрифта, таблицы и т.п.), а также в него можно добавлять изображения. Формат идеально подходит для рефератов, докладов и РПЗ курсовых проектов, которые необходимо распечатать. Кстати перед печатью также сохраняйте файл в PDF, так как принтер может начудить со шрифтами.















