47521 (566455)
Текст из файла
|
|
| Транспортна задача | ||||||||||||||||||||||||||||||||||
|
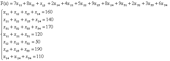
| Розв'язок задач лінійного програмування. Транспортна задача. Мета роботи: Набути навичок складання математичної моделі транспортної задачі та її реалізації з використанням табличного процесору Excel Задача: Чотири консервних заводи для виробництва продукції використовують сировину, яка надходить із трьох КСП.На кожен завод підприємств сировина може завозитися з будь-якого КСП. Потреби в сировині кожного із заводів,запаси сировини та тарифи перевезень наведені у таблиці. Скласти такий план перевезень, при якому загальна вартість перевезень є мінімальною.
Математична модель задачі буде мати наступний вигляд Порядок виконання роботи 1.Створити новий текстовий документ за шаблоном Лабораторна робота і скопіювати до нього назву та мету лабораторної роботи, а також умови задачі. 3. Під таблицею увести до відповідних комірок математичну модель задачі:
4. Викликати программу Поиск решения і розв'язати задачу 5.Результат розв'язку задачі 6.Скопіювати блок електронної таблиці із математичною моделлю та результатом розв'язку до документу Word із лабораторною роботою. 7.Зберегти робочу книгу табличного процесора Excel на сервері. 8.Зберегти документ Word на сервері.
Завдання для самостійної роботи | |||||||||||||||||||||||||||||||||||
|
| 2007-09-06 16:52:05 | |||||||||||||||||||||||||||||||||||
|
|
| Самостійна робота "Транспортна задача" | ||||||||||||||||||||||||||||||||||
Завдання до лабораторної роботи "Транспортна задача"
Завдання 1.
Створити новий документ на основі шаблону Самостійна робота та скопіювати до документу умови задачі.
Завдання 2. Записати математичну модель задачі (використовуючі редактор формул).
Завдання 3.
Знайти розв"язок задачі із використанням задачі пошуку рішень табличного процесора Excel. У процесі запису математичної моделі задачі до комірок ЕТ викорисовувати функцію СУММПРОИЗВ()
Завдання 4.
Зберегти документи Word і Excel у паці Самостійна робота.
Задача
До піприємства харчової галузі надходить сировина із різних КСП. Сировина надходить із будь-якого КСП на будь-яке підприємство. Потреби, запаси і тарифи перевезень наведені у таблиці. Скласти Оптимальний план перевезень (із найменшими витиратами).
| Варiант 1 | ||||||
| КСП | Харчові підприємства | Запаси | ||||
| І | ІІ | ІІІ | ||||
| І | 4 | 1 | 10 | 200 | ||
| ІI | 2 | 3 | 2 | 300 | ||
| ІІІ | 1 | 2 | 5 | 100 | ||
| Потреби | 150 | 250 | 200 |
| ||
Математична модель задачі буде мати наступний вигляд
F(x)=4 x11+x12+10 x13+2 x21+3 x22+2 x23+x31+2 x32+5 x33
| x11+x12+x13 = 200 |
| x21+x22+x23 = 300 |
| x31+x32+x33 = 100 |
| x11+x21+x31 = 150 |
| x12+x22+x32 = 250 |
| x13+x23+x33 = 200 |
| Математична модель задачі | ||||||||
| Змінні | Значення | |||||||
| x11 | x12 | x13 |
|
| 0 | 0 | 200 | |
| x21 | x22 | x23 |
|
| 50 | 250 | 0 | |
| x31 | x32 | x33 |
|
| 100 | 0 | 0 | |
Цільова функція
2950
| Обмеження | Значення |
| 200 | 200 |
| 300 | 300 |
| 100 | 100 |
| 150 | 150 |
| 250 | 250 |
| 200 | 200 |
| КСП | Харчові підприємства | Запаси | ||||
| І | ІІ | ІІІ | ||||
| І | 0 | 0 | 200 | 200 | ||
| ІI | 50 | 250 | 0 | 300 | ||
| ІІІ | 100 | 0 | 0 | 100 | ||
| Потреби | 150 | 250 | 200 |
| ||
1.ЗАГАЛЬНИЙ ВИГЛЯД РОЗВ’ЯЗКУ ТРАНСПОРТНОЇ ЗАДАЧІ:
Математична модель задачі буде мати наступний вигляд
-
Порядок виконання
-
2. Як викликати "Редактор формул"?
Вставка – обьект - microsoft eguation 3.0
-
3. Як вибрати необхідну функцію?
Вставка – функція
-
Яким чином задаються обмеження?
Обмеження задаються за допомогою
“ПОИСК РЕШЕНИЯ” – ОГРАНИЧЕНИЯ - ДОБАВИТЬ
Характеристики
Тип файла документ
Документы такого типа открываются такими программами, как Microsoft Office Word на компьютерах Windows, Apple Pages на компьютерах Mac, Open Office - бесплатная альтернатива на различных платформах, в том числе Linux. Наиболее простым и современным решением будут Google документы, так как открываются онлайн без скачивания прямо в браузере на любой платформе. Существуют российские качественные аналоги, например от Яндекса.
Будьте внимательны на мобильных устройствах, так как там используются упрощённый функционал даже в официальном приложении от Microsoft, поэтому для просмотра скачивайте PDF-версию. А если нужно редактировать файл, то используйте оригинальный файл.
Файлы такого типа обычно разбиты на страницы, а текст может быть форматированным (жирный, курсив, выбор шрифта, таблицы и т.п.), а также в него можно добавлять изображения. Формат идеально подходит для рефератов, докладов и РПЗ курсовых проектов, которые необходимо распечатать. Кстати перед печатью также сохраняйте файл в PDF, так как принтер может начудить со шрифтами.















