лаба Кобко 1 (564525), страница 2
Текст из файла (страница 2)
Исходные данные для построения циклограмм представлены в таблице I.
В качестве правила предпочтения для построения циклограммы (рис.1) используется правило кратчайшей операции.
Методика построения циклограммы заключается в рассмотрении производственной ситуации на рабочих местах участка в конкретные моменты времени и разрешении возможных конфликтов.
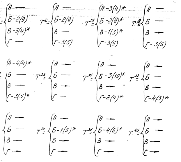
Рассмотрим момент времени Т° - начала запуска деталей в обработку.
В этот момент времени деталь А претендует на I станок, время обработки ее на станке I составляет 5 единиц.
Деталь Б претендует на обработку на 2 станке, время обработки ее на нем 9 единиц. Деталь В претендует на обработку на 2 станке со временем 7 единиц.
Деталь Г претендует на обработку на I станке со временем 7 единиц.
Кратко данную ситуации можно описать следующим образом
А – 1 (5)
Б – 2 (9)
То = В – 2 (7)
Г – 1 (7)
Таким образом перед первым станком существует очередь из двух деталей (А и Г) и перед 2 станком существует очередь из двух деталей (Б и В).
Руководствуясь правилом кратчайшей операции выбираем для обработка на каждом станке ту деталь, время обработки которой на данном станке наименьшее. Т.е. на первом станке сначала будем обрабатывать деталь А, а на станке 2-ом - деталь В (см. рис.1).
В момент времени Т1, Т2, Т3, Т4 ситуация на производственном участке не изменится, поэтому рассматривать их подобно нецелесообразно. В момент времени Т5 деталь А закончит обработку на I станке, и, следуя по своему технологическому маршруту, должна перейти к обработке на 2 станке со временем 8 единиц. Соответственно, на первом станке может обрабатывав следующая из очереди деталь.
Таким образом, ситуацию в момент времени Т5 можно записать следующим образом:
А – 2 (8)
Т5 = Б – 2 (9)
В -
Г – 1 (7)*
Из этой записи видно, что перед 2 станком снова образовалась очередь из двух деталей (А и Б), но время обработки детали А меньше времени обработки детали Б. Следовательно, в момент освобождения второго станка предпочтение будет отдано детали А.
В момент времени Т5 деталь В находится в обработке (в краткой записи такому состоянию соответствует прочерк).
На станок I претендует только деталь Г, и поскольку в момент времени Т5 1 станок свободен, то на нем в этот момент времени можно начать обработку детали Г.
Знак (*) ставится против той детали, которая в данный момент времени запускается в обработку на соответствующем станка.
В момент времени Т6 ситуация на производственном участке не изменится, поэтому она не рассматривается.
В момент времени Т7 изменилось состояние детали В и соответственно, 2 станке. Согласно своему технологическому маршруту деталь В может перейти теперь к обработке на 4 станке со временем обработки 4 единицы.
Кратко ситуацию в момент времени Т7 можно записать следующим образом:
А – 2 (8)
Т5 = Б – 2 (9)
В – 4 (4)
Г -
Руководствуясь правилами кратчайшей операции, для обработки на 2 станке выбираем деталь А. На станок 4 претендует только деталь В, поэтому в момент времени Т7 на станке начинается обработка детали В (см. рис.1). Аналогично рассматриваем построение расписания и в дальнейшем, подробно останавливаясь на тех моментах времени, в которые происходит изменение ситуаций.
Знак "" означает, что деталь вышла из обработки на данной производственном участке.
Тц для данного расписания равно 45 единицам времени, т.е. через 45 единиц времени все детали закончат обработку на данном производственном участке.
Из графика видно, что на время Тц существенно влияет обработка 2 детали. Следовательно, одним из путей взаимного уменьшения Тц является ускорение обработки
2 детали.
Заметив, что деталь Б имеет наибольшее время обработки на всех станках, можно воспользоваться правилом наибольшего оставшегося времени обработки, которое позволяет в первую очередь пропустить детали с наибольшим суммарным временем обработки на всех станках.
Статистика показала, что в большинстве случаев правило наибольшего оставшегося времени дает меньшее время цикла, чем правило наикратчайшей операции. В этой случае Тц равно 37 единиц (рис.2).
При другой постановке задачи (предположим, что требуется; построить циклограмму, обеспечивающую минимальное пролеживание деталей) лучшим оказывается правило кратчайшей операции. Действительно, из данного примера видно, что суммарное пролеживание деталей по циклограмме, построенной исходя из правила наикратчайшей операции (рис. I), равно 29 ед. времени (деталь А пролеживает 2 ед. времени, деталь Б - 15 единиц, В - 0 единиц, Г - 12 единиц времени,2+15+12=29 ед.). По правилу наибольшего оставшегося времени при тех же исходных данных суммарное пролеживание деталей равно 48 единиц времени ('13+0+17+18=48 ед. времени), (см.рис.2). Следовательно, в задачах, где требуется построить циклограмму, обеспечивающую минимум пролеживания или минимум стоимости производства, предпочтительно выбирать правило наикратчайшей операции.
Рис.1. Циклограмма работы станков, построенная по правилу
















