Matrix Theory and Linear Algebra (562420), страница 12
Текст из файла (страница 12)
The fundamental concept of calculus, which distinguishes it from other branches of mathematics and is the source from which all its theory and applications are developed, is the theory of limits of functions of variables (see Function).
Let f be a function of the real variable x, which is denoted f(x), defined on some set of real numbers surrounding the number x0. It is not required that the function be defined at the point x0 itself. Let L be a real number. The expression
|
|
is read: “The limit of the function f(x), as x approaches x0, is equal to the number L.” The notation is designed to convey the idea that f(x) can be made as “close” to L as desired simply by choosing an x sufficiently close to x0. For example, if the function f(x) is defined as f(x) = x2 + 3x + 2, and if x0 = 3, then from the definition above it is true that
|
|
This is because, as x approaches 3 in value, x2 approaches 9, 3x approaches 9, and 2 does not change, so their sum approaches 9 + 9 + 2, or 20.
Another type of limit important in the study of calculus can be illustrated as follows. Let the domain of a function f(x) include all of the numbers greater than some fixed number m. L is said to be the limit of the function f(x) as x becomes positively infinite, if, corresponding to a given positive number , no matter how small, there exists a number M such that the numerical difference between f(x) and L (the absolute value |f(x) - L|) is less than whenever x is greater than M. In this case the limit is written as
|
|
For example, the function f(x) = 1/x approaches the number 0 as x becomes positively infinite.
It is important to note that a limit, as just presented, is a two-way, or bilateral, concept: A dependent variable approaches a limit as an independent variable approaches a number or becomes infinite. The limit concept can be extended to a variable that is dependent on several independent variables. The statement “u is an infinitesimal” meaning “u is a variable approaching 0 as a limit,” found in a few present-day and in many older texts on calculus, is confusing and should be avoided. Further, it is essential to distinguish between the limit of f(x) as x approaches x0 and the value of f(x) when x is x0, that is, the correspondent of x0. For example, if f(x) = sin x/x, then
|
|
however, no value of f(x) corresponding to x = 0 exists, because division by 0 is undefined in mathematics.
The two branches into which elementary calculus is usually divided are differential calculus, based on the consideration of the limit of a certain ratio, and integral calculus, based on the consideration of the limit of a certain sum.
| II | DIFFERENTIAL CALCULUS |
Let the dependent variable y be a function of the independent variable x, expressed by y = f(x). If x0 is a value of x in its domain of definition, then y0 = f(x0) is the corresponding value of y. Let h and k be real numbers, and let y0 + k = f(x0 + h). (Δx, read “delta x,” is used quite frequently in place of h.) When Δx is used in place of h,Δy is used in place of k. Then clearly
|
|
and
|
|
This ratio is called a difference quotient. Its intuitive meaning can be grasped from the geometrical interpretation of the graph of y = f(x). Let A and B be the points (x0, y0), (x0 + h, y0 + k), respectively, as in the Derivatives illustration. Draw the secant AB and the lines AC and CB, parallel to the x and y axes, respectively, so that h = AC, k = CB. Then the difference quotient k/h equals the tangent of angle BAC and is therefore, by definition, the slope of the secant AB. It is evident that if an insect were crawling along the curve from A to B, the abscissa x would always increase along its path but the ordinate y would first increase, slow down, then decrease. Thus, y varies with respect to x at different rates between A and B. If a second insect crawled from A to B along the secant, the ordinate y would vary at a constant rate, equal to the difference quotient k/h, with respect to the abscissa x. As the two insects start and end at the same points, the difference quotient may be regarded as the average rate of change of y = f(x) with respect to x in the interval AC.
If the limit of the ratio k/h exists as h approaches 0, this limit is called the derivative of y with respect to x, evaluated at x = x0. For example, let y = x2 and x = 3, so that y = 9. Then 9 + k = (3 + h)2; k = (3 + h)2 - 9 = 6h + h2; k/h = 6 + h; and
|
|
Referring back to the Derivatives illustration, the secant AB pivots around A and approaches a limiting position, the tangent AT, as h approaches 0. The derivative of y with respect to x, at x = x0, may be interpreted as the slope of the tangent AT, and this slope is defined as the slope of the curve y = f(x) at x = x0. Further, the derivative of y with respect to x, at x = x0, may be interpreted as the instantaneous rate of change of y with respect to x at x0.
If the derivative of y with respect to x is found for all values of x (in its domain) for which the derivative is defined, a new function is obtained, the derivative of y with respect to x. If y = f(x), the new function is written as y’ or f’(x), Dxy or Dxf(x), (dy)/(dx) or df(x)/dx. Thus, if y = x2, y + k = (x + h)2; k = (x + h)2 - x2 = 2xh + h2; k/h = 2x + h, whence
|
|
Thus, as before, y’ = f’(x) = 6 at x = 3, or f’(3) = 6; also, f’(2) = 4, f’(0) = 0, and f’(-2) = -4.
As the derivative f’(x) of a function f(x) of x is itself a function of x, its derivative with respect to x can be found; it is called the second (order) derivative of y with respect to x, and is designated by any one of the symbols y” or f”(x), Dx2y or Dx2f(x), (d2y)/(dx2) or (d2f(x))/(dx2). Third- and higher-order derivatives are similarly designated.
Every application of differential calculus stems directly or indirectly from one or both of the two interpretations of the derivative as the slope of the tangent to the curve and as the rate of change of the dependent variable with respect to the independent variable. In a detailed study of the subject, rules and methods developed by the limit process are provided for rapid calculation of the derivatives of various functions directly by means of various known formulas. Differentiation is the name given to the process of finding a derivative.
Differential calculus provides a method of finding the slope of the tangent to a curve at a certain point; related rates of change, such as the rate at which the area of a circle increases (in square feet per minute) in terms of the radius (in feet) and the rate at which the radius increases (in feet per minute); velocities (rates of change of distance with respect to time) and accelerations (rates of change of velocities with respect to time, therefore represented as second derivatives of distance with respect to time) of points moving on straight lines or other curves; and absolute and relative maxima and minima.
| III | INTEGRAL CALCULUS |
Let y = f(x) be a function defined for all x’s in the interval [a,b], that is, the set of x’s from x = a to x = b, including a and b, where a<b (suitable modifications can be made in the definitions to follow for more restricted ranges or domains). Let x0, x1, ..., xn be a sequence of values of x such that a = x0<x1<x2<...<xn - 1 <xn = b, and let h1 = x1 - x0, h2 = x2 - x1, ..., hn = xn - xn - 1, in brief, hi = xi - xi - 1, where i = 1, 2, ..., n. The x’s form a partition of the interval [a, b]; an h with a value not exceeded by any other h is called the norm of the partition. Let n values of x, for example, X1, X2, ..., Xn, be chosen so that xi - 1<Xi<xi, where i = 1, 2, ..., n. The sum of the area of the rectangles is given by
| f(X1)h1 + f(X2)h2 + .... + f(Xn)hn |
usually abbreviated to
|
|
(Σ is the Greek capital letter sigma.) Aside from the given function f(x) and the given a and b, the value of the sum clearly depends on n and on the choices of the xi’s and Xi’s. In particular, if, after the xi’s are chosen, the Xi’s are chosen so that f(Xi), for each i, is a maximum in the interval [xi - 1, xi] (that is, no ordinate from xi - 1 to xi exceeds the ordinate at Xi), the sum is called an upper sum; similarly, if, after the xi’s are chosen, the Xi’s are chosen so that f(Xi), for each i, is a minimum in the interval [xi - 1, xi], the sum is called a lower sum. It can be proved that the upper and lower sums will have limits, and , respectively, as the norm approaches 0. If and are equal and have the common value S, S is called the definite integral of f(x) from a to b and is written
|
|
The symbol ∫ is an elongated S (for sum); the f(x) dx is suggested by a term f(Xi)hi = f(Xi) Δxi of the sum which is used in defining the definite integral.
If y = g(x), then by differentiation y’ = g’(x). Let g’(x) = f(x), and C be any constant. Then f(x) is also the derivative of g(x) + C. The expression g(x) + C is called the antiderivative of f(x), or the indefinite integral of f(x), and it is represented by
|
|
The dual use of the term integral is justified by one of the fundamental theorems of calculus, namely, if g(x) is an antiderivative of f(x), then, under suitable restrictions on f(x) and g(x),
|
|
The process of finding either an indefinite or a definite integral of a function f(x) is called integration; the fundamental theorem relates differentiation and integration.
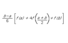
If the antiderivative, g(x), of f(x) is not readily obtainable or is not known, the definite integral
can be approximated by the trapezoidal rule, (b - a) [f(a) + f(b)]/2 or by the more accurate Simpson’s rule:
|
|
If |b - a| is small, Simpson’s rule gives a fairly close result. If |b - a| is large, a good approximation can be obtained by dividing the interval from a to b into a number of small intervals and applying Simpson’s rule to the subintervals.
Integral calculus involves the inverse process of finding the derivative of a function, that is, it is the process of finding the function itself when its derivative is known. For example, integral calculus makes it possible to find the equation of a curve if the slope of the tangent is known at an arbitrary point; to find distance in terms of time if the velocity (or acceleration) is known; and to find the equation of a curve if its curvature is known. Integral calculus can also be used to find the lengths of curves, the areas of plane and curved surfaces, volumes of solids of revolution, centroids, moments of inertia, and total mass and total force.
| IV | DIFFERENTIAL EQUATIONS |
Calculus leads directly to the branch of mathematics called differential equations, which is extremely useful in engineering and in the physical sciences. An ordinary differential equation is an equation involving an independent variable, a dependent variable (one or both of these two may be missing), and one or more derivatives (at least one derivative must be present). Many physical laws or statements are initially expressed as differential equations. For example, the law that the acceleration of gravity is a constant g can be expressed mathematically by the differential equation d2x/dt2 = g; the principle that the rate of disintegration of radium is proportional to the amount present is expressed as dR/dt = -kR. A differential equation is solved if an equivalent equation is found involving only the independent and dependent variables.
















