Э-101 (559725)
Текст из файла
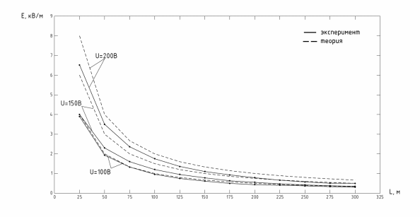
Показания вольтметра V2 в вольтах при замерах напряженности электрического поля конденсатора. 10 В соответствуют напряженности 1 кВ/м.
Табл. №1
| L,мм | 25 | 50 | 75 | 100 | 125 | 150 | 175 | 200 | 225 | 250 | 275 | 300 |
|
|
| |||||||||||
| U, В | 100 | |||||||||||
| U[V2], В | 39 | 19,3 | 13,3 | 9,6 | 7,45 | 6,1 | 4,95 | 4,3 | 4 | 3,7 | 3,3 | 3 |
| E, кВ/м | 3,9 | 1,93 | 1,33 | 0,96 | 0,745 | 0,61 | 0,495 | 0,43 | 0,4 | 0,37 | 0,33 | 0,3 |
| Eтеор, кВ/м | 4 | 2 | 1,333 | 1 | 0,8 | 0,667 | 0,571 | 0,5 | 0,444 | 0,4 | 0,364 | 0,333 |
|
|
| |||||||||||
| U, В | 150 | |||||||||||
| U[V2], В | 40 | 23 | 16 | 12 | 9,5 | 7,8 | 6,3 | 5,5 | 4,73 | 4,18 | 3,76 | 3,5 |
| E, кВ/м | 4 | 2,3 | 1,6 | 1,2 | 0,95 | 0,78 | 0,63 | 0,55 | 0,473 | 0,418 | 0,376 | 0,35 |
| Eтеор, кВ/м | 6 | 3 | 2 | 1,5 | 1,2 | 1 | 0,857 | 0,75 | 0,667 | 0,6 | 0,545 | 0,5 |
|
|
| |||||||||||
| U, В | 200 | |||||||||||
| U[V2], В | 65,2 | 35 | 23,6 | 17,5 | 13,6 | 11 | 9,3 | 7,85 | 6,6 | 5,7 | 5,05 | 5 |
| E, кВ/м | 6,52 | 3,5 | 2,36 | 1,75 | 1,36 | 1,1 | 0,93 | 0,785 | 0,66 | 0,57 | 0,505 | 0,5 |
| Eтеор, кВ/м | 8 | 4 | 2,667 | 2 | 1,6 | 1,333 | 1,143 | 1 | 0,889 | 0,8 | 0,727 | 0,667 |
График зависимости E(L) по экспериментальным и теоретическим данным.
Показания вольтметра V2 в вольтах при замерах напряженности электрического поля конденсатора. 10В соответствуют напряженности 1 кВ/м.
Табл. №2
| U, В | 25 | 50 | 75 | 100 | 125 | 150 | 175 | 200 | 225 | 250 | 275 | 300 |
|
|
| |||||||||||
| L, мм | 50 | |||||||||||
| U[V2], В | 8.8 | 13.3 | 17.7 | 21.9 | 26.4 | 30.5 | 35 | 39.5 | 43.9 | 48.2 | 52.9 | 57.7 |
| E, кВ/м | 0.88 | 1.33 | 1.77 | 2.19 | 2.64 | 3.05 | 3.5 | 3.95 | 4.39 | 4.82 | 5.29 | 5.77 |
| Eтеор, кВ/м | 0.5 | 1 | 1.5 | 2 | 2.5 | 3 | 3.5 | 4 | 4.5 | 5 | 5.5 | 6 |
|
|
| |||||||||||
| L, мм | 75 | |||||||||||
| U[V2], В | 6.8 | 10.1 | 13.4 | 16.7 | 20 | 23.4 | 27.2 | 30 | 33.2 | 36.8 | 39.8 | 43 |
| E, кВ/м | 0.68 | 1.01 | 1.34 | 1.67 | 2 | 2.34 | 2.72 | 3 | 3.32 | 3.68 | 3.98 | 4.3 |
| Eтеор, кВ/м | 0.33333 | 0.667 | 1 | 1.333 | 1.667 | 2 | 2.333 | 2.667 | 3 | 3.333 | 3.667 | 4 |
|
|
| |||||||||||
| L, мм | 100 | |||||||||||
| U[V2], В | 4.87 | 7.2 | 9.3 | 11.7 | 14 | 16.4 | 18.7 | 21 | 23.2 | 25.5 | 28 | 31 |
| E, кВ/м | 0.487 | 0.72 | 0.93 | 1.17 | 1.4 | 1.64 | 1.87 | 2.1 | 2.32 | 2.55 | 2.8 | 3.1 |
| Eтеор, кВ/м | 0.25 | 0.5 | 0.75 | 1 | 1.25 | 1.5 | 1.75 | 2 | 2.25 | 2.5 | 2.75 | 3 |
График зависимости E(U) по экспериментальным и теоретическим данным.
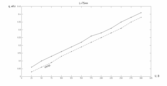
Значения электрического заряда (q) на конденсаторе от напряжения (U). При L=75мм ( C=9.44E-12 Ф )
Табл. №3
| U, В | 25 | 50 | 75 | 100 | 125 | 150 | 175 | 200 | 225 | 250 | 275 | 300 |
| q(э), нКл | 0.06 | 0.10 | 0.13 | 0.16 | 0.19 | 0.22 | 0.26 | 0.28 | 0.31 | 0.35 | 0.38 | 0.41 |
| q(т), нКл | 0.03 | 0.06 | 0.09 | 0.13 | 0.16 | 0.19 | 0.22 | 0.25 | 0.28 | 0.31 | 0.35 | 0.38 |
Характеристики
Тип файла документ
Документы такого типа открываются такими программами, как Microsoft Office Word на компьютерах Windows, Apple Pages на компьютерах Mac, Open Office - бесплатная альтернатива на различных платформах, в том числе Linux. Наиболее простым и современным решением будут Google документы, так как открываются онлайн без скачивания прямо в браузере на любой платформе. Существуют российские качественные аналоги, например от Яндекса.
Будьте внимательны на мобильных устройствах, так как там используются упрощённый функционал даже в официальном приложении от Microsoft, поэтому для просмотра скачивайте PDF-версию. А если нужно редактировать файл, то используйте оригинальный файл.
Файлы такого типа обычно разбиты на страницы, а текст может быть форматированным (жирный, курсив, выбор шрифта, таблицы и т.п.), а также в него можно добавлять изображения. Формат идеально подходит для рефератов, докладов и РПЗ курсовых проектов, которые необходимо распечатать. Кстати перед печатью также сохраняйте файл в PDF, так как принтер может начудить со шрифтами.
















