Полный конспект лекций по статистике. (554850), страница 8
Текст из файла (страница 8)
В статистической практике могут встречаться такие случаи, когда качества факторных и результативных признаков не могут быть выражены численно. Поэтому для измерения тесноты зависимости необходимо использовать другие показатели. Для этих целей используются так называемые непараметрические методы.
Наибольшее распространение имеют ранговые коэффициенты корреляции, в основу которых положен принцип нумерации значений статистического ряда. При использовании коэффициентов корреляции рангов коррелируются не сами значения показателей х и у, а только номера их мест, которые они занимают в каждом ряду значений. В этом случае номер каждой отдельной единицы будет ее рангом.
К
оэффициент корреляции рангов Спирмэна (р) основан на рассмотрении разности рангов значений результативного и факторного признаков и может быть рассчитан по формуле
где d = Nx - Ny , т.е. разность рангов каждой пары значений х и у; n - число наблюдений.
К непараметрическим методам исследования можно отнести коэффициент ассоциации Кас и коэффициент контингенции Ккон, которые используются, если, например, необходимо исследовать тесноту зависимости между качественными признаками, каждый из которых представлен в виде альтернативных признаков.
Для определения этих коэффициентов создается расчетная таблица (таблица «четырех полей»), где статистическое сказуемое схематически представлено в следующем виде:
| Признаки | А(да) | А(нет) | Итого |
| В(да) | a | b | a + b |
| В(нет) | c | d | c + d |
| Итого | a + c | b + d | n |
Здесь а, b, c, d - частоты взаимного сочетания (комбинации) двух альтернативных признаков ; n - общая сумма частот.
К
оэффициент ассоциации можно рассчитать по формуле
К
оэффициент контингенции рассчитывается по формуле
Нужно иметь в виду, что для одних и тех же данных коэффициент контингенции (изменяется от -1 до +1) всегда меньше коэффициента ассоциации.
Наконец, следует упомянуть коэффициент Фехнера, характеризующий элементарную степень тесноты связи, который целесообразно использовать для установления факта наличия связи, когда существует небольшой объем исходной информации. Данный коэффициент определяется по формуле
где na - количество совпадений знаков отклонений индивидуальных величин от их средней арифметической; nb - соответственно количество несовпадений. Коэффициент Фехнера может изменяться в пределах -1,0 Кф +1,0.
Целью применения корреляционно-регрессионного метода является построение такого уравнения регрессии, которое включает основные факторы, влияющие на вариацию результативного признака, обладающего высоким (не ниже 0,5) коэффициентом детерминации и коэффициентами регрессии, интерпретируемыми в соответствие с теоретическим знанием о природе связей в изучаемой системе.
При использовании корреляционно-регрессионного метода при анализе социально-экономических явлений необходимо учесть следующие ограничения.
Интерпретировать корреляционные показатели строго следует лишь в терминах вариации (различий в пространстве) отклонений от средней величины. Если задача состоит в изменении связи не между вариацией двух признаков в совокупности, а меду изменениями признаков объекта во времени, то корреляционно-регрессионный анализ требует значительных изменений.
Корреляционно-регрессионный метод основан на том, что группировка совокупности по одному факторному признаку при условии, что все другие не связаны с изучаемым, а случайные отклонения и ошибки взаимопогасились в большой совокупности. Если же фактор связан с другими факторами, то будет получена не чистая характеристика влияния.
При этом относительная простота и применение компьютерной техники позволяет достаточно широко и эффективно применять данных метод на практике.
Параметрический методы определения тесноты связи состоит в расчете F критерия Фишера, который рассчитывается по формуле:
где r2 – коэффициент корреляции, n – число единиц в совокупности, к- число степеней свобожы.
Для оценки надежности результатов уравнения регрессии F сравнивают c Fтабл при заданном уровне вероятности. Если полученное значение больше табличного, то можно говорить о высокой степени надежности результатов регрессионного моделирования. Если ниже – то полученные оценки коэффициентов регрессии статистически незначимы.
Коэффициент конкордации
где n - количество анализируемых объектов, m - количество экспертов, Rij - ранг j-го объекта, который присвоен ему i-ым экспертом.
Следует обратить внимание на отличие значений коэффициента конкордации от коэффициента корреляции, так как он существует в пределах от 0 до 1. Если мнения экспертов полностью противоположны, коэффициент конкордации равен нулю (W = 0), а коэффициент корреляции в этом случае будет равен -1.
Тема № 10. Ряды динамики и их применение в анализе
социально-экономических явлений.
Изменение социально-экономических явлений во времени изучается статистикой методом построения и анализа динамических рядов. Ряды динамики - это значения статистических показателей, которые представлены в определенной хронологической последовательности.
Каждый динамический ряд содержит две составляющие: 1) показатели периодов времени (годы, кварталы, месяцы, дни или даты); 2) показатели, характеризующие исследуемый объект за временные периоды или на соответствующие даты, которые называют уровнями ряда.
Уровни ряда выражаются как абсолютными, так и средними или относительными величинами. В зависимости от характера показателей строят динамические ряды абсолютных, относительных и средних величин. Ряды динамики из относительных и средних величин строят на основе производных рядов абсолютных величин. Различают интервальные и моментные ряды динамики.
Динамический интервальный ряд содержит значения показателей за определенные периоды времени. В интервальном ряду уровни можно суммировать, получая объем явления за более длительный период, или так называемые накопленные итоги.
Динамический моментный ряд отражает значения показателей на определенный момент времени (дату времени). В моментных рядах исследователя может интересовать только разность явлений, отражающая изменение уровня ряда между определенными датами, поскольку сумма уровней здесь не имеет реального содержания. Накопленные итоги здесь не рассчитываются.
Важнейшим условием правильного построения динамических рядов является сопоставимость уровней рядов, относящихся к различным периодам. Уровни должны быть представлены в однородных величинах, должна иметь место одинаковая полнота охвата различных частей явления.
Для того, чтобы избежать искажения реальной динамики, в статистическом исследовании проводятся предварительные расчеты (смыкание рядов динамики), которые предшествуют статистическому анализу динамических рядов. Под смыканием рядов динамики понимается объединение в один ряд двух и более рядов, уровни которых рассчитаны по разной методологии или не соответствуют территориальным границам и т.д. Смыкание рядов динамики может предполагать также приведение абсолютных уровней рядов динамики к общему основанию, что нивелирует несопоставимость уровней рядов динамики.
Для характеристики интенсивности развития во времени используются статистические показатели, получаемые сравнением уровней между собой, в результате чего получаем систему абсолютных и относительных показателей динамики: абсолютный прирост, коэффициент роста, темп роста, темп прироста, абсолютное значение 1% прироста. Для характеристики интенсивности развития за длительный период рассчитываются средние показатели: средний уровень ряда, средний абсолютный прирост, средний коэффициент роста, средний темп роста, средний темп прироста, среднее абсолютное значение 1% прироста.
Базисные показатели характеризуют итоговый результат всех изменений в уровнях ряда от периода базисного уровня до данного (i-го) периода. Рассчитываются как отношение i-го уровня к базисному (начальному).
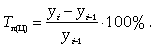
Цепные показатели характеризуют интенсивность изменения уровня от одного периода к другому в пределах того промежутка времени, который исследуется. Рассчитываются как отношение i-го к предшествующему уровню.
Абсолютный прирост выражает абсолютную скорость изменения ряда динамики и определяется как разность между данным уровнем и уровнем, принятым за базу сравнения.
А
бсолютный прирост (базисный)
где yi - уровень сравниваемого периода; y0 - уровень базисного периода.
Абсолютный прирост с переменной базой (цепной), который называют скоростью роста,
где yi - уровень сравниваемого периода; yi-1 - уровень предшествующего периода.
Коэффициент роста Ki определяется как отношение данного уровня к предыдущему или базисному, показывает относительную скорость изменения ряда. Если коэффициент роста выражается в процентах, то его называют темпом роста.
Коэффициент роста базисный
Коэффициент роста цепной
Т
емп роста
Темп прироста ТП определяется как отношение абсолютного прироста данного уровня к предыдущему или базисному.
Темп прироста базисный
Темп прироста цепной
Темп прироста можно рассчитать и иным путем: как разность между темпом роста и 100 % или как разность между коэффициентом роста и 1 (единицей):
1) Тп = Тр - 100%; 2) Тп = Ki - 1.
А
бсолютное значение одного процента прироста Ai . Этот показатель служит косвенной мерой базисного уровня. Представляет собой одну сотую часть базисного уровня, но одновременно представляет собой и отношение абсолютного прироста к соответствующему темпу роста. Данный показатель рассчитывают по формуле
Для характеристики динамики изучаемого явления за продолжительный период рассчитывают группу средних показателей динамики. Можно выделить две категории показателей в этой группе: а) средние уровни ряда; б) средние показатели изменения уровней ряда.
Средние уровни ряда рассчитываются в зависимости от вида временного ряда.
Для интервального ряда динамики абсолютных показателей средний уровень ряда рассчитывается по формуле простой средней арифметической:
где n - число уровней ряда.
Средний уровень моментного ряда с равными интервалами рассчитывается по формуле средней хронологической:
где n - число дат.
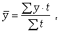
Средний уровень моментного ряда с неравными интервалами рассчитывается по формуле средней арифметической взвешенной, где в качестве весов берется продолжительность промежутков времени между временными моментами изменений в уровнях динамического ряда:
где t - продолжительность периода (дни, месяцы), в течение которого уровень не изменялся.
Средний абсолютный прирост (средняя скорость роста) определяется как средняя арифметическая из показателей скорости роста за отдельные периоды времени:
где yn - конечный уровень ряда; y1 - начальный уровень ряда.
Средний коэффициент роста рассчитывается по формуле средней геометрической из показателей коэффициентов роста за отдельные периоды:
















