лекции 2физика 1 семестр (552404)
Текст из файла
Московский Авиационный Институт
Конспект по физике
Молекулярная физика и
Термодинамика
1 Курс, 1 Семестр.
Москва
2002г.
Содержание:
Вопрос № 1 “ Идеальный и реальный газы ” 3
Вопрос № 2 “ Число степеней свободы ” 3
Вопрос № 3 “ Первое начало термодинамики ” 4
Вопрос № 4 “ Изопроцессы ” 5
Вопрос № 5 “ Теплоёмкость при постоянном объёме и давлении ” 7
Вопрос № 6 “ Работа при изотермическом расширении ” 8
Вопрос № 7 “ Работа газа при адиабатическом процессе ” 8
Вопрос № 8 “ Второе начало термодинамики в формулировках
Клаузиса и Томпсона ” 8
Вопрос № 9 “ Запись первого начала термодинамики через
энтропию ” 9
Вопрос № 10 “ Круговые процессы (циклы) ” 9
Вопрос № 11 “ Методы статистической физики ” 10
Вопрос № 12 “ Вероятность случайного события ” 11
Вопрос № 13 “ Среднее значение случайной величины ” 11
Вопрос № 14 “ Распределение Максвелла молекул газа по
проекциям скорости ” 12
Вопрос № 15 “ Распределение Максвелла молекул газа по модулю
скорости ” 13
Вопрос № 16 “ Распределение Максвелла молекул газа по
энергии ” 14
Вопрос № 17 “ Распределение Максвелла молекул газа по
импульсу ” 14
Вопрос № 18 “ Наиболее вероятная скорость движения молекул ” 14
Вопрос № 19 “ Среднеарифметическая и среднеквадратичная
скорости движения молекул ” 15
Вопрос № 20 “ Распределение Больцмана ” 15
Вопрос № 21 “Явления переноса” 16
Вопрос № 1: Идеальный и реальный газы:
-
Уравнение состояния идеального газа (три формы записи)
Идеальный газ – это газ, молекулы которого рассматриваются как материальные точки, между которыми отсутствуют силы взаимодействия.
Реальный газ – газ, в котором между молекулами действуют силы притяжения и отталкивания.
Уравнение состояния:
Для фиксированной массы можно записать:
Нормальными – называются условия, при которых давление составляет 101325 Па или 105 Па, температура – 273 К. Число Авогадро = 6,02 1023 моль-
Уравнение состояния для одного моля:
Уравнение состояния для произвольной массы:
a – добавка, необходимая для учёта взаимодействия молекул реального газа.
б – добавка, учитывающая реальные объемы молекул реального газа.
Внутренняя энергия системы:
– то есть полная энергия системы равна сумме кинетической энергии системы, как единого целого, потенциальной энергии молекулярного взаимодействия, энергии электронных оболочек и энергии взаимодействия нуклонов в ядре.
Вопрос № 2: Число степеней свободы:
-
Закон равномерного распределения по степеням свободы.
-
Внутренняя энергия идеального газа.
Число независимых координат, которые необходимо задать, что бы полностью определить положение тела в пространстве называют числом степеней свободы. Число степеней свободы складывается из числа поступательных, числа вращательных и числа колебательных степеней свободы.
В одноатомном газе число степеней свободы равно трём, в двухатомном – (три поступательных и две вращательных – жёсткая гантель) равно пяти, в трёх и более – шести.
Закон равного распределения энергии по степеням свободы:
На каждую степень свободы приходится энергия:
следовательно
Рассмотрим идеальный газ, состоящий из N молекул:
В реальном газе внутренняя энергия включает в себя ещё и энергию межмолекулярного взаимодействия.
Вопрос № 3: Первое начало термодинамики:
-
Дифференциальная, интегральная формы записи.
-
Работа газа.
-
Теплоёмкость.
-
Удельная.
-
Молярная.
-
Связь.
-
Запись первого начала термодинамики с учётом теплоёмкостей.
Обмен энергией между термодинамической системой и внешними телами осуществляется двумя путями: совершением работы и теплообменом.
Дифференциальная форма записи первого начала термодинамики:
Интегральная форма записи первого начала термодинамики:
Теплоёмкость:
Физическая величина, численно равная отношению
к дифференциалу
тела в рассматриваемом термодинамическом процессе называется теплоёмкостью.
зависит от химического состояния вещества, массы тела, термодинамического состояния и от вида процесса, в котором поступает теплота.
Удельная теплоёмкость – это отношение теплоёмкости к массе
Вопрос № 4: Изопроцессы:
-
Законы для изопроцессов.
-
Графики.
-
-
Адиабатный процесс.
-
Закон Паусона.
-
Изохорный процесс:
Объём неизменен.
Изобарный процесс:
Д
авление неизменно.
Работа в изобарном процессе:
Изотермический процесс:
Т
емпература неизменна.
А
диабатический процесс:
где γ – показатель адиабаты.
Вопрос № 5: Теплоёмкость при постоянном объёме и давлении:
-
Вывод уравнения Маера.
Теплоёмкость при постоянном объёме:
Теплоёмкость при постоянном давлении:
Вывод уравнения Маера:
– газовая постоянная численно равна работе, совершаемой одним молем идеального газа при его изобарном нагреве на один градус кельвина.
Физический смысл уравнения Маера заключается в том, что при изобарном нагревании газа к нему необходимо подвести большее количество теплоты, нежели при таком же изохорном.
Вопрос № 6: Работа при изотермическом расширении:
Вопрос № 7: Работа газа при адиабатическом процессе:
Вопрос № 8: Второе начало термодинамики в формулировках Клаузиса и Томпсона:
-
Энтропия.
-
Формулировка второго начала термодинамики через энтропию.
-
Второе начало термодинамики по Клаузису:
Невозможен процесс, единственным результатом которого является передача теплоты от холодного тела к горячему.
Второе начало термодинамики по Томпсону:
Невозможен процесс, единственным результатом которого является совершение работы за счёт охлаждения одного тела.
Энтропия:
Энтропия – это функция состояния термодинамической системы.
В изолированной системе энтропия неизменна. Если в системе присутствуют необратимые процессы, то энтропия будет возрастать.
Формулировка второго начала термодинамики через энтропию:
Энтропия замкнутой системы не может убывать при любых происходящих в ней процессах.
Внутренняя энергия и энтропия являются функциями состояния, а работа и теплота – нет, по этом по энтропии и внутренней энергии берутся полные дифференциалы, а по работе и теплоте – частичные.
Т – S – диаграмма:
Вопрос № 9: Запись первого начала термодинамики через энтропию:
-
Энтропия в изопроцессах.
Энтропия в изохорном процессе:
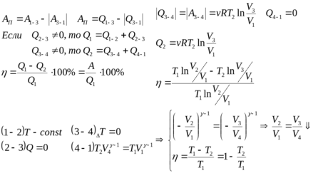
Вопрос № 10: Круговые процессы (циклы):
-
Цикл Карно
-
Расчёт К.П.Д. цикла Карно.
-
Циклом называется такая совокупность термодинамических процессов, в результате которых система возвращается в исходное состояние.
Тепловая машина – устройство, преобразующее тепло в работу.
Для непрерывного цикла необходимо: нагреватель, рабочее тело, холодильник. Холодильник необходим, чтобы вернуть рабочее тело в исходное состояние.
К.П.Д. цикла рассчитывается как отношение работы цикла к затраченному теплу. Или как отношение разности между затраченным и выделившимся теплом к затраченному теплу.
Цикл Карно:
Цикл Карно состоит из двух изотерм и двух адиабат. Что бы получить максимально возможную работу, мы расширяем газ по изотерме, но за тем нам необходимо вернуть рабочее тело в исходное состояние. Для этого мы даём газу расширится по адиабате, при этом мы ещё получаем работу. После этого газ, при контакте с холодильником сжимается по изотерме, а затем по адиабате возвращается в исходное состояние.
Вопрос № 11: Методы статистической физики:
-
Основное уравнение молекулярно-кинетической теории.
Методы статистической физики – это методы, при помощи которых удобно изучать системы, состоящие из огромного числа частиц.
Молекулярно-кинетическая теория – это теория, основанная на статистическом методе.
Термодинамические параметры (макро параметры) – существуют величины, которые могут быть определены из законов движения атомов и молекул методами статистической физики.
Давление – макроскопический параметр теплового движения молекул.
– средняя кинетическая энергия движения одной молекулы.
n – концентрация молекул – число молекул на единицу объема.
ω – вероятность события – качественная мера возможности появления случайного события.
Состояние макросистемы можно задать с помощью микросостояний.
Вероятность макросостояния больше вероятности микросостояния в р раз:
. р – термодинамическая вероятность системы – число различных микросостояний, соответствующих макросостоянию.
Вопрос № 12: Вероятность случайного события:
-
Формула Больцмана.
-
Термодинамическая вероятность состояния системы.
-
Функция распределения вероятности.
-
Условие нормировки.
Больцман доказал, что существуют связи между энтропией и термодинамической вероятностью:
, где к – постоянная Больцмана.
Изометрическая система, предоставленная самой себе, переходит из менее вероятного состояния в более вероятное. Вероятность перехода от порядка к хаосу всё время возрастает.
Функция распределения:
dN – число опытов, когда результат лежит в заданном диапазоне значений.
N – общее число опытов.
Характеристики
Тип файла документ
Документы такого типа открываются такими программами, как Microsoft Office Word на компьютерах Windows, Apple Pages на компьютерах Mac, Open Office - бесплатная альтернатива на различных платформах, в том числе Linux. Наиболее простым и современным решением будут Google документы, так как открываются онлайн без скачивания прямо в браузере на любой платформе. Существуют российские качественные аналоги, например от Яндекса.
Будьте внимательны на мобильных устройствах, так как там используются упрощённый функционал даже в официальном приложении от Microsoft, поэтому для просмотра скачивайте PDF-версию. А если нужно редактировать файл, то используйте оригинальный файл.
Файлы такого типа обычно разбиты на страницы, а текст может быть форматированным (жирный, курсив, выбор шрифта, таблицы и т.п.), а также в него можно добавлять изображения. Формат идеально подходит для рефератов, докладов и РПЗ курсовых проектов, которые необходимо распечатать. Кстати перед печатью также сохраняйте файл в PDF, так как принтер может начудить со шрифтами.
















