Диплом_RD (544984), страница 2
Текст из файла (страница 2)
Чтобы смоделировать взаимодействие между повстанцами в Ираке и возглавляемой США коалицией, рассмотрим присутствие возглавляемых США сил, как противостояние двух эффектов, связанных с количеством атак повстанцами:
1) приводит к уменьшению в числе атак повстанцами из-за боевых потерь для повстанцев;
2) приводит к увеличению в числе повстанческих атак из-за добавленного числа новичков, которые выступают против возглавляемых США сил в Ираке и из-за явного числа войск США и коалиции, которые находятся в непосредственной близости от повстанцев. Эти два эффекта иллюстрированы следующим образом:
где
I - число нападений повстанцами;
С - число возглавляемых США сил коалиции;
- коэффициент эффективности коалиции;
- эффект, который коалиция во главе с США оказывает на повстанческие нападения (норма вербовки повстанцев).
Первый параметр предполагает, что повстанческие нападения уменьшатся с присутствием коалиции. Символ
используется, чтобы представить норму вербовки для повстанцев, так как большее присутствие коалиции приводит к большему количеству повстанческих новичков. Символ
, однако, только свободно используется как норма вербовки, так как повстанческие нападения I могут увеличиться, как может увеличиваться размер коалиции C, просто вследствие того, что больше войск коалиции находится в зоне поражения, притом, что нет никаких новых повстанческих новичков. В этой системе повстанческие нападения I не появляются в правой стороне уравнения. Причина этого состоит в том, что предполагается, что большее число повстанческих нападений непосредственно не приводит к большему количеству повстанческих новичков в течение долгого времени. Вербовка повстанцев и их нападения, зависят только от присутствия возглавляемой США коалиции. Однако размер коалиции в течение долгого времени зависит от числа повстанческих нападений (
). Таким образом, изменение в повстанческих нападениях,
, только косвенно зависит от повстанческих нападений. Это отличается от партизанской войны, в чем партизанская вербовка кардинально и непосредственно зависит от взаимодействия партизан и населения, которым они управляют. Фактически, нападения мятежников и вербовка повстанцев больше соответствуют террористической модели Фариа и Арса(2005) тем, что террористическая деятельность может зависеть от прошлой террористической деятельности, но она также может и не зависеть от прошлой террористической деятельности. Например, из-за существования повстанцев, которые нападают чаще просто из-за их укоренившихся верований, что на их земле присутствуют иностранные войска.
По подобным причинам повстанческие нападения I, не приводят к меньшему количеству повстанческих нападений в течение долгого времени. Простое присутствие возглавляемой США коалиции может привести к меньшему количеству повстанческих нападений из-за повышения денежных средств, необходимых на организацию теракта. Чтобы заставить повстанческие нападения уменьшаться, не должно быть никакого взаимодействия между повстанцами и коалицией. В моделях партизанской войны взаимодействие между партизанами и правительственными войсками крайне важно для определения потерь среди партизан.
Уравнение, подобное предыдущему, может быть получено, если мы покажем, как нападения повстанцев I затрагивают размер коалиции C в течение долгого времени. Данное число нападений повстанцами I приводит к уменьшению возглавляемых США сил C в течение долгого времени (они должны сражаться с потерями), но это также приводит к большему количеству американских войск, посланных в Ирак, чтобы сократить число нападений. Эти два эффекта показаны ниже.
где
I - представляет число нападений повстанцами;
C - представляет размер коалиции;
- представляет боевую эффективность повстанческих нападений;
- представляет норму вербовки коалиции.
В этой модели больше военных коалиции послано в Ирак. Увеличение численности военных происходит из-за повстанческих нападений, а не из-за численности повстанцев. Эти два противостоящих эффекта C на
и I на
, дают начало следующей системе одновременных отличительных уравнений:
где
и
- коэффициенты показателя вербовки повстанцев и коалиции;
и
- боевые коэффициенты эффективности повстанцев и коалиции, все положительны.
Таким образом, в первом уравнении, повстанческие нападения I увеличиваются в течение долгого времени из-за присутствия коалиции C, если показатель вербовки повстанцев превышает повстанческие потери из-за боевой эффективности коалиции. Так же для второго уравнения, размер коалиции увеличивается в течение долгого времени для данного числа повстанческих нападений, если норма вербовки коалиции превышает потери коалиции. Данная система может быть записана так:
где
и
- "чистые" нормы вербовки повстанцев и коалиции соответственно (вербовка оценивается минус убытки из-за борьбы).
Есть несколько возможных решений этой системы в зависимости от знаков показателей чистой вербовки
и
. Первый случай, который рассматривают (Случай 1), - когда
и
- оба положительных. Общее решение системы (1):
где A и B - константы.
Решение для равновесия является I = 0 и C = 0, когда возглавляемая США коалиция пропадает, а иракская полиция и вооруженные силы больше не поддерживаются Соединенными Штатами. Это равновесие - результат модели мятежа, в котором
, когда нет никакого присутствия коалиции и никаких дальнейших нападений мятежа. В модели мятежа предполагается, что коалиция не обеспокоена постоянным занятием территории, и нападения повстанцев происходят только в ответ на возглавляемое США присутствие коалиции. В то время как отсутствие возглавляемой США коалиции может привести к продолжающейся гражданской войне между Суннитами и Шиитами, этот конфликт был бы частью большей модели конфликта. Равновесие
является непостоянным решением, так как собственные значения системы
. Орбиты или траектории фазы системы даются уравнением
. Объединение этого уравнения приводит к уравнению
, где V константа, которая приводит к кривым (рисунок 1). Только сектор с положительными переменными I и C (первая четверть) имеет смысл: так как переменные представляют число повстанческих нападений и размер возглавляемой США коалиции соответственно. Решение, данное в соответствии с рисунком 1, показывает, что нет никакого победителя в этом случае. С положительными чистыми нормами вербовки (
>0 и
>0) число нападений повстанцами увеличивается с размером коалиции, и увеличение размера коалиции приводит к росту числа повстанческих нападений. Нет конца конфликту: и размер коалиции и число нападений повстанцев непрерывно увеличиваются в течение долгого времени.
В случае 2 чистые нормы вербовки для повстанцев и коалиции в системе уравнения отрицательны (
и
). Присутствие возглавляемых США сил приводят к уменьшению в числе повстанческих нападений, а повстанческие нападения приводят к уменьшению в числе войск коалиции, так как боевая эффективность каждой стороны перевешивает усилия по пополнению с обеих сторон. Решение для равновесия системы: I=0, C=0, которые также оказывают непостоянное решение с теми же самыми собственными значениями, как показано в случае 1. Орбиты или траектории фазы даны тем же самым уравнением, как и в случае 1, и снова диаграмма фазы представляет седло. Однако стрелки, указывают на траектории фазы, в этом случае различны. Это показано на рисунке 2.
Соответствующий сектор содержит положительные переменные I и C, и траектории фазы снова дают
, где
и
,
и
в случае 2. Коалиция C победит, если C>0 и I=0 (коалиция все еще будет присутствовать, когда повстанческие нападения будут устранены), это произойдет, если V<0. Таким образом, результат победы для коалиции (V<0) требует: 1) увеличения боевой эффективности коалиции, понижая норму вербовки повстанцев и уменьшая их боевую эффективность; 2) увеличения нормы вербовки коалиции. Если V>0, коалиция будет устранена прежде, чем прекратятся нападения повстанцев, и они выиграют конфликт. Заключительная возможность состоит в том, если V=0. Здесь и коалиция, и повстанческие нападения совместно устранены, конфликт заканчивается вничью.
В случае 3 чистая норма вербовки повстанцев отрицательна (
), но чистая норма вербовки коалиции положительна (
). Присутствие коалиции сокращает число повстанческих нападений. Это приводит к следующей системе дифференциальных уравнений:
где
. В этом примере
- отрицательный коэффициент чистой нормы вербовки повстанцев,
- чистая норма вербовки коалиции. Таким образом, получаем общее решение системы (2):
Собственные значения этой системы. Диаграмма фазы для этой системы показана на рисунке 3. Как можно заметить по стрелкам-указателям на траекториях фазы (сектор с положительным I и C), коалиция выиграет конфликт. Этот случай довольно ясный. Если присутствие коалиции, приведет к уменьшению в числе повстанческих нападений в течение долгого времени (отрицательная чистая норма вербовки для повстанцев,
и
), и повстанческие нападения приводят к увеличению в числе возглавляемых США войск в течение долгого времени (положительная чистая норма вербовки для коалиции,
и
), то возглавляемая США коалиция выиграет конфликт. На рисунке 3 (первая четверть) видно, что повстанческие нападения I будут устранены, в то время как коалиция остается в Ираке.
В случае 4 чистая норма вербовки повстанцев положительна (
), а чистая норма вербовки коалиции отрицательна (
). Присутствие ведомых США сил (коалиция) приводит к увеличению в числе повстанческих нападений, а это приводит к уменьшению численности коалиции. Эта система дифференциальных уравнений показана ниже.
В этом примере
- отрицательная чистая норма вербовки для коалиции, а
- положительная чистая норма вербовки для повстанцев. Собственные значения системы -
. Диаграмма фазы системы показана на рисунке 4. В случае 4, повстанцы выигрывают конфликт. Причина ясна: если присутствие ведомой США коалиции приведет к большему количеству повстанческих нападений в течение долгого времени (из-за положительной чистой нормы вербовки для повстанцев,
и
), а повстанческие нападения приведут к уменьшению численности коалиции в течение долгого времени (из-за отрицательной чистой нормы вербовки для коалиции,
и
), то повстанцы выиграют конфликт.
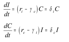
Подведем итоги - динамическая модель восстания задана системой следующей одновременных уравнений:
где
I - количество атак повстанцев; C - размер коалиции;
ri (rc) - коэффициент показателя вербовки повстанцев (коалиции);
γi (γc) - боевой коэффициент эффективности повстанцев (коалиции);
δi и δc - определены, чтобы быть коэффициентами показателя чистой вербовки (вербовка оценивается минус боевые убытки из-за боевой эффективности противоположной стороны) повстанцев и коалиции соответственно.
Используя реальные данные, полученные в ходе войны в Ираке, из статьи «A Dynamic Model of Insurgency: The Case of the War in Iraq» [3], была реализована «Динамическая модель восстания: случай войны в Ираке» (на основе системы дифференциальных уравнений), которая рассматривает возможное развитие событий. Эта модель имеет четыре случая:
-
δi > 0 и δc > 0. В данном случае повстанцы увеличивают количество нападений, и размер коалиции тоже увеличивается в течение долгого времени. Результат: никакая сторона не выигрывает, и конфликт усиливается с C и I (рисунок 5).
Рисунок 5. «Динамическая модель восстания: случай войны в Ираке» (δi>0, δc>0).
-
δi < 0 и δc < 0. Для данного случая характерно уменьшение численности коалиции и атак повстанцев. Результат: для коалиции, чтобы выиграть конфликт (C > 0 и I = 0), должны быть удовлетворены определенные условия: a) увеличение боевой эффективности коалиции; b) уменьшение показателя вербовки повстанцев; c) снижение боевой эффективность повстанцев; d) увеличение показателя вербовки коалиции (рисунок 6).
















