TV1 (543710), страница 4
Текст из файла (страница 4)
Функция
называется измеримой, если для любого BО множество
множество, полученное следующим образом:
Функция g(x) называется борелевской функцией, если для любого B множество
Борелевская функция - функция, определяемая на системе борелевских множеств.
В функциональном анализе показано, что все известные аналитические функции являются борелевскими.
ТЕОРЕМА:
Пусть g(x) борелевская функция,
- случайная величина, т.е. измеримая функция. Тогда функция
является измеримой и, следовательно, случайной величиной.
Берем произвольное B.
по определению борелевской функции.
Рассмотрим множество
т.к.
измеримая функция и
, то A-алгебре
Следовательно, функция
- измеримая функция, т.е. случайная величина.
Теорема Колмогорова
Любая числовая скалярная функция, которая удовлетворяет свойствам, которым удовлетворяет функция распределения, является функцией распределения и однозначно задает вероятностное пространство вида:
- борелевская алгебра;
P - мера на борелевской алгебре;
R1 - числовая скалярная ось.
Введем функцию F(x)
Эта функция определена для всех x, неубывающая, непрерывная сверху. Показать самим, что такая функция однозначно задает счетно-аддитивную меру на поле, порожденном всеми полуинтервалами ненулевой длины.
Докажем, что 0<F(x)<1
Согласно терминологии, если функция y=f(x) непрерывна на отрезке [a, b], то она ограничена. Поскольку наша функция не убывающая, то максимум и минимум она соответственно будет иметь такой:
т.е. 0<F(x)<1.
2. Пусть имеем следующие функции.
Построим борелеву алгебру на поле, тогда по теореме о продолжении счетно-аддитивная функция, определенная на поле, без изменения аксиом теории вероятности, однозначно распространяется на все элементы борелевой алгебры, не принадлежащие полю. Т.о. вероятностное пространство построено, теорема доказана.
Смысл теоремы.
Теорема Колмогорова позволяет утверждать, что если вы исследуете случайную величину, то не надо строить абстрактное пространство элементарных событий, -алгебру, счетно-аддитивную меру, конкретный вид функции
. Нашей задачей будет лишь то, что считая R1 - числовой скалярной осью - пространство элементарных событий, мы должны найти функцию распределения F(x), использую статистику: результата конкретного испытания над случайной величиной:
X1, X2, ..., Xn
Дискретные случайные величины
Случайная величина называется дискретной, если в результате испытания она может принять значение из конечного либо счетного множества возможных числовых значений.
Случайные величины в дальнейшем будем обозначать большими буквами:
X, Y, Z
Вероятностное пространство дискретной случайной величины задается в виде:
, n - конечное или бесконечное.
Пример:
Испытание - композиция n-независимых испытаний, в каждом из которых происходит событие A с вероятностью p, либо
с вероятностью 1-p.
Вероятностное пространство
В этом примере -алгеброй является множество всех подмножеств пространства элементарных событий. Введенную нами случайную величину x по определению можно задать:
- верхняя строчка - это совокупность возможных числовых значений, которые может принимать случайная величина;
- нижняя строчка - вероятность наступления этих числовых значений.
Практически во всех задачах естествознания отсутствует промежуточный этап: испытание, - пространство всех возможных исходов испытания,
- числовая скалярная функция, элементы которой w.
На самом деле структура:
- испытание;
- исход испытания;
- число на числовой оси.
Вероятностные характеристики дискретных случайных величин.
Математическим ожиданием случайной величины X называется число вида
xi - все возможные различные конкретные исходы испытания;
pi - вероятности их наступления.
Математическое ожидание является как бы аналогом центра масс точечной механической системы:
Как центр масс:
Смысл характеристики мат.ожидания заключается в следующем: это точка на числовой оси, относительно которой группируются результаты конкретных испытаний над дискретной случайной величиной.
Свойства математического ожидания
1. MC=C
2. MCX=CMX
Построим таблицу для случайной величины CX:
по определению математического ожидания:
3. M(X+a)=MX+a, a=const
Построим таблицу для случайной величины x+a
Доказать следствие
4. M(aX+b)=aMX+b, где a, b - константы
Пусть случайная величина Y является функцией f(x) от случайной величины X. Построим вероятностное пространство случайной величины Y.
Верхняя строчка является пространством элементарных событий для случайной величины Y. В противном случае верхняя строчка является пространством элементарных событий для величины Y.
Все одинаковые числа в верхней строчке заменяется одним, вероятность наступления которого равна сумме соответствующих вероятностей.
Следствие.
Математическое ожидание случайной величины Y равняется:
Начальным моментом К-го порядка случайной величины X называется математическое ожидание случайной величины Xk.
Центрированная случайная величина - это величина, равная X’=X-MX
Покажем, что математическое ожидание MX’ равно 0.
Центральным моментом К-го порядка называется начальный момент К-го порядка случайной величины X’
при решении реальных задач практические вероятности рi неизвестны, но считая, что вероятность - это частость, при большом числе испытаний
Дисперсией случайной величины X, называется центральный момент второго порядка случайной величины X.
Дисперсия является мерой концентрации результатов конкретных испытаний над случайной величиной X.
Свойства.
1. Чем меньше дисперсия, тем более тесно группируются результаты конкретных испытаний относительно математического ожидания.
Пусть дисперсия мала, тогда мало каждое слагаемое суммы (xi-)2pi. Тогда для , xi которое по модулю резко отличается от математического ожидания , pi - мало. Следовательно, большую вероятность наступления могут иметь лишь те xi, которые по модулю мало отличаются от математического ожидания.
2. Если дисперсия равна 0, то X - const.
3.
D(X+C)=DX
Y=X+C
Y’=Y-MY=X+C-M(X+C)=X+C-MX-C=X-MX=X’
DY=M(Y’)2=M(X’)2=DX
4.
DCX=C2DX
Y=CX
DY= M(Y’)2=M(Y’)2
Y’=Y-MY=CX-MCX=CX-MCX=C(X-MX)=CX’
DY= M(Y’)2=M(CX’)2=C2M(X’)2=C2DX
5.
Построим функцию распределения для дискретной случайной величины. Для удобства договоримся, что случайные величины располагаются в порядке возрастания.
т.е. по определению для любого действительного X, F(x) численно равно вероятности наступления следующего события: в результате испытаний над X оно приняло значение строго меньше x.
Производная функция
Характеристической функцией случайной величины X называется функция действительного аргумента вида
Производящей функцией называется скалярная функция вида:
Свойства производящей функции
2.
3. Разложение производящей функции в ряд Маклорена имеет вид
Формула Тейлора имеет вид
при to=0 она носит название формулы Маклорена
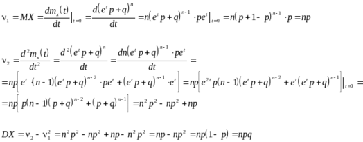
Пример:
Рассмотрим случайную величину, распределенную по биноминальному закону распределения:
Найдем производящую функцию:
Найти DX и MX
Первая модель распределения Пуассона
Проведена неограниченно большая серия испытаний, в результате каждого испытания случайным образом появляется точка на числовой оси. Случайное распределение точек на числовой оси удовлетворяет следующим трем свойствам.
1. Стационарность. Вероятность того, что на отрезок данной длины попадает данное количество точек определяется только длиной этого отрезка и не зависит от расположения этого отрезка на числовой оси.
2. Ординарность. Вероятность того, что на достаточно малый отрезок длины x попадает одна точка, является бесконечно малой x порядка. Вероятность того, что на этот отрезок попадает более, чем одна точка, является бесконечно малой более высокого порядка, чем x.
3. Свойство без последействия. Вероятность того, что на данный отрезок попало определенное количество точек не зависит от того, сколько точек в результате проведенной бесконечно серии испытаний попало на отрезок, не пересекающийся с данным.
Найти вероятность того, что на данный отрезок длина l попадает m точек.
Обозначим через xl - случайная величина, равная численности точек, выпавших на отрезок длины l.
На числовой оси рассмотрим отрезок длины 1 и обозначим:
MX1=
Математическое ожидание числа точек, попавших на отрезок длины 1. По свойству стационарности l одинаково для всех отрезков.
MX1=ll - доказать
Пусть l - целое число. Разобьем отрезок длины l на l отрезков единой длины. Тогда количество точек, попавших на отрезок длины l будет равно числу точек, попавших на каждый из непересекающихся отрезков длины 1 (тут использовалось свойство беспоследействия).
Используя формулу
имеем
MX1=ll
Математическое ожидание числа точек, попавшие на отрезок длины l равно мат. ожиданий точек, попавших на непересекающиеся отрезки. Пусть l - не целое число. Выделяем целую часть. Тогда
На числовой оси рассмотрим отрезок длины l, разобьем его на n отрезков данной длины
такой, что позволит использовать свойство ординарности. Тогда с определенной погрешностью, которая тем меньше, чем больше n можно считать
т.е. на отрезок длины x попадает не более, чем одна точка, тогда
Для достаточного малого отрезка длины lx вероятность попадания в него одной точки x, а вероятность того, что ничего не произойдет 1- x.
















