gost_15467-79 (523283), страница 3
Текст из файла (страница 3)
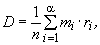
Деление показателей качества продукции на единичные и комплексные является условным из-за условности деления свойств продукции на простые и сложные.
Так, например, свойство ремонтопригодности по отношению к свойству готовности или еще более сложному свойству надежности является простым. Однако его простота не абсолютна, а относительна.
Примененный в формуле (1) показатель ремонтопригодности
вычисляют по формуле
, (3)
где
- среднее время, затрачиваемое на отыскание отказа;
- среднее время, необходимое для устранения отказа.
Из формулы (3) очевидно, что ремонтопригодность - сложное свойство изделия по отношению к таким более простым его свойствам, как приспособленность к отысканию отказов и приспособленность к их устранению.
Следовательно, относительно
показатель
можно рассматривать как единичный, а относительно
и
- как комплексный.
К термину "Определяющий показатель качества продукции" (п. 9)
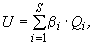
Рассмотрим применение определяющего показателя на примере оценки качества тортов. Допустим, что принято решение оценивать качество тортов по приведенной в таблице совокупности свойств, показатели которых выражаются в баллах.
Каждый показатель может иметь один из четырех баллов:
отлично - 3; хорошо - 2; удовлетворительно - 1; неудовлетворительно - 0.
Экспертами для каждого показателя устанавливается коэффициент весомости согласно таблице.
Определяющий показатель качества торта находят следующим образом: эксперты оценивают в баллах каждый показатель, затем средние результаты оценки умножают на коэффициенты весомости и произведения суммируют. Если, например, средние результаты оценки экспертов такие, как в последней колонке таблицы, то определяющий показатель (в баллах) будет:
4 · 2,5 + 3 · 1,5 + 2 · 1,6 + 1 · 1,0 = 18,7.
| #G0Свойства | Коэффициент весомости | Средние результаты оценки |
| Вкус и аромат | 4 | 2,5 |
| Структура и консистенция | 3 | 1,5 |
| Цвет и внешний вид | 2 | 1,6 |
| Форма | 1 | 1,0 |
Если решение об оценке качества тортов принимают, учитывая и другие свойства (калорийность, сохраняемость и др.), то определяющий показатель должен включать относительные значения показателей этих свойств с соответствующими коэффициентами весомости.
Свойства, учитываемые определяющими показателями, могут, в свою очередь, характеризоваться единичными и (или) комплексными показателями качества продукции. Если определяющий показатель является комплексным, его называют обобщенным.
Необходимо осторожно пользоваться обобщенным показателем качества продукции, не допуская перекрытия одними единичными показателями существенных недостатков продукции, которые характеризуются другими единичными показателями. Если хотя бы один единичный показатель будет равен нулю (оценка "неудовлетворительно"), то обобщенный показатель следует принимать равным нулю, т.е. качество продукции должно признаваться неудовлетворительным.
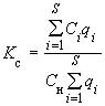
К термину "Интегральный показатель качества продукции" (п. 10)
Интегральный показатель качества продукции
вычисляют по формуле
,
где
- суммарный полезный эффект от эксплуатации или потребления продукции (например пробег грузового автомобиля в тоннокилометрах за срок службы до капитального ремонта);
- суммарные затраты на создание продукции (разработку, изготовление, монтаж и другие единовременные затраты);
- суммарные затраты на эксплуатацию продукции (техническое обслуживание, ремонты и другие текущие затраты).
Приведенная формула справедлива для продукции, срок службы которой не превышает одного года. В этом случае единовременные и текущие затраты просто суммируются.
Для продукции, срок службы которой превышает один год, единовременные затраты
должны быть приведены к последнему году срока службы продукции с использованием нормативного коэффициента, учитывающего самоокупаемость продукции.
Наряду с интегральным показателем качества продукции может применяться величина, обратная ему и называемая удельными затратами на единицу эффекта.
К термину "Индекс качества продукции" (п. 11)
Приведем примеры двух вариантов определения индексов качества:
Пример 1.
Имеется
различных видов продукции, для каждого из которых определен комплексный показатель качества в рассматриваемом периоде
, где
= 1, 2, ...,
, а также соответствующие базовые значения показателей
. Тогда коэффициент весомости
вычисляют по формуле
,
где
- стоимость продукции
-го вида в рассматриваемый период.
Индекс качества продукции (
) за этот период вычисляют по формуле
.
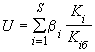
Пример 2.
Для всех видов продукции установлены три группы качества, определяемые баллами
,
,
. Если в рассматриваемый период была выпущена продукция этих групп на суммы соответственно
,
,
, то коэффициент весомости (
) будет равен
,
средний балл продукции (
) определится по формуле
,
а индекс качества (
) равен
,
где
- средний балл продукции за базовый период.
К термину "Коэффициент дефектности продукции" (п. 12)
Для определения коэффициента дефектности берется выборка из
единиц продукции, и в ней подсчитывают все дефекты, разбитые заранее на
видов. Для каждого вида дефекта устанавливается коэффициент весомости
, где
=1, 2, ...,
.
Коэффициент
может быть определен экспертным методом или по стоимости устранения дефекта данного вида.
Коэффициент дефектности (
) вычисляют по формуле
где
- число дефектов каждого вида в выборке.
Относительный коэффициент дефектности (
) можно вычислить по формуле
,
где
- базовое значение коэффициента дефектности, соответствующее определенному базовому периоду производства.
Примечание. При подсчете
и
могут учитываться недостатки, допускаемые нормативной документацией, например, царапины, мелкие вмятины, сколы и пр.
К термину "Индекс дефектности продукции" (п. 13)
Пусть предприятие выпустило за определенный период
видов продукции, стоимость продукции каждого вида
. Тогда коэффициент весомости можно вычислить по формуле
,
а индекс дефектности (
) по формуле
где
- относительный коэффициент дефектности продукции
-го вида, являющийся показателем качества изготовления продукции. Он обычно определяется при выборочном инспекционном контроле готовой продукции. Для этого предварительно определяют номенклатуру дефектов и для каждого вида дефектов находят коэффициент весомости.
К термину "Коэффициент сортности продукции" (п. 14)
Коэффициент сортности продукции (
) количественно характеризует качество всего объема продукции, выпускаемой предприятием, и может применяться для оценки качества работы определенных предприятий, производящих разносортную продукцию
,
где
- количество сортов продукции, выпускаемой предприятием;
- стоимость единицы продукции
-го сорта;
- объем выпущенной продукции
-го сорта;
- стоимость единицы продукции наивысшего сорта.
характеризует качество работы предприятия, если отнесение продукции к тому или иному сорту обусловливается наличием, характером и количеством недостатков выпущенной продукции, возникающих при ее создании.
Иногда значение
зависит не от качества работы предприятия, а от качества поставляемых ему сырья, материалов, полуфабрикатов и комплектующих изделий. Например, для чаеразвесочных фабрик объем выпуска различных сортов чая устанавливается заранее и предусматривается планами производства. Соответственно планируются поставки данной фабрике чайного листа с различными показателями качества. В подобных случаях коэффициент сортности применяться не должен.
К термину "Коэффициент весомости показателя качества
продукции" (п. 15)
Коэффициенты весомости могут определяться социологическим или экспертным методами, а также на основе анализа влияния данного показателя качества продукции на эффективность ее создания и эксплуатации или потребления.
К терминам "Базовое значение показателя качества продукции"
и "Относительное значение показателя качества продукции"
(пп. 16, 17)
В качестве базовых значений могут приниматься значения показателей качества лучших отечественных и зарубежных образцов, по которым имеются достоверные данные о их качестве; значения показателей качества, достигнутые в некотором предыдущем периоде времени или планируемые значения показателей перспективных образцов, найденные экспериментальными или теоретическим методами; значения показателей качества, которые заданы в требованиях на продукцию.
Относительные значения показателей качества продукции выражаются в безразмерных величинах или процентах.
К термину "Номинальное значение показателя качества
продукции" (п. 19)
Номинальные значения показателей качества и параметров продукции приводятся на чертежах, в технических условиях, стандартах, другой нормативной документации, а также в справочной литературе.
К термину "Предельное значение показателя качества
продукции" (п. 20)
Предельные значения показателей качества и параметров продукции приводятся в нормативной документации и используются при контроле качества продукции.
Предельные значения могут быть:
максимальными (например, "массовая доля примесей не более 0,15%"),
минимальными (например, "наработка на отказ не менее 300 ч"),
минимальными и максимальными допускаемыми (например, "масса не менее 4,98 кг и не более 5,1 кг").
К термину "Оптимальное значение показателя качества
продукции" (п. 21)
Под эффектом понимается полное или частичное достижение определенных технических, экономических или социальных целей.















