gost_15467-79 (523283), страница 2
Текст из файла (страница 2)
Справочное
ПОЯСНЕНИЯ И ПРИМЕРЫ К ТЕРМИНАМ
Приведенные ниже пояснения и примеры к терминам настоящего стандарта не являются исчерпывающими характеристиками соответствующих понятий и служат лишь для иллюстрации некоторых наиболее важных положений.
Продукция рассматривается как материализованный результат процесса трудовой деятельности, обладающий полезными свойствами, полученный в определенном месте за определенный интервал времени и предназначенный для использования потребителями в целях удовлетворения их потребностей как общественного, так и личного характера.
Результаты труда могут быть овеществленными (сырье, материалы, пищевые, химические и другие продукты, технические устройства, их части и т.д.) и неовеществленными (энергия, информация, некоторые виды услуг и т.д.).
Термины настоящего стандарта относятся только к овеществленным результатам труда.
Продукция может быть готовой или находящейся в незавершенном производстве (в процессах изготовления, добычи, выращивания), в процессе ремонта и т.д.
Единицы исчисления конкретной продукции (единицы продукции) устанавливаются в плановой, технической, договорной или другой нормативной документации с учетом условий производства (ремонта) и поставки.
По ГОСТ 15895-77 единицей продукции называется отдельный экземпляр штучной продукции или определенное в установленном порядке количество нештучной или штучной продукции.
Единицы продукции служат не только для исчисления ее количества. Деление продукции на определенные единицы имеет существенное значение при управлении качеством продукции, в частности, при оценке ее качества, при контроле каждой единицы (сплошной контроль) либо некоторых единиц (выборочный контроль).
К нештучной продукции относятся такие результаты труда, количество которых определяется непрерывной величиной массы, длины поверхности, объема, например, тонна муки, метр провода, квадратный метр ткани, кубический метр газа и т.д.
В зависимости от условий производства и поставки штучной и нештучной продукции часто используют такие условные единицы исчисления, как партия изделий или материала, плавка металла, определенная емкость (контейнер, цистерна, бочка, мешок) жидкого или сыпучего вещества и т.д.
Согласно ГОСТ 15895-77 изделие является единицей промышленной продукции, количество которой может исчисляться в штуках или экземплярах. Следовательно, изделие является частным случаем единицы промышленной продукции. Количество изделий может быть охарактеризовано дискретной величиной, исчисляемой в штуках или экземплярах. Однако, в некоторых случаях количество определенных изделий (например, крепежных деталей, конфет и др.) характеризуют непрерывной величиной, применяемой для нештучной продукции и исчисляемой, в частности, с помощью единиц массы.
К изделиям не относится вся непромышленная продукция, включая штучную (плоды, овощи, туши животных, невыделанные шкурки зверей и т.п.), а также промышленная нештучная продукция.
Видами изделий, представляющими объекты конструкторской документации, являются детали, сборочные единицы, комплексы и комплекты (#M12293 0 1200001988 3271140448 78 3153069076 4294961312 4293091740 3190428004 247265662 4293218080ГОСТ 2.101-68#S).
Определение термина "Изделие", установленное ГОСТ 15895-77 и применяемое в настоящем стандарте, распространяется на любые изделия, в том числе являющиеся объектами конструкторской документации, а также кондитерские, хлебопекарные, швейные, трикотажные, табачные и другие подобные изделия, которые, как правило, не охватываются конструкторской документацией.
К термину "Свойство продукции" (п. 2)
Продукция имеет множество различных свойств, которые могут проявляться при ее создании и эксплуатации или потреблении, т.е. при разработке, производстве (изготовлении, добыче, выращивании), испытаниях, хранении, транспортировании, техническом обслуживании, ремонтах и использовании.
Термин "эксплуатация" применяется к такой продукции, которая в процессе использования расходует свой ресурс.
Термин "потребление" относится к продукции, которая при ее использовании по назначению расходуется сама.
Свойства продукции условно можно разделить на простые и сложные. Примером сложного свойства является надежность изделия, обусловленная такими относительно простыми его свойствами как безотказность, долговечность, ремонтопригодность и сохраняемость.
Применяемое иногда деление свойств продукции на технические, экономические и т.п. является неправомерным (неоднозначным), так как одно и то же свойство продукции может быть для различных целей (в различных случаях) охарактеризовано техническим или экономическим показателем. Например, свойство ремонтопригодности можно охарактеризовать вероятностью выполнения ремонта в заданное время (техническим показателем) или средней стоимостью ремонта (экономическим показателем).
К термину "Качество продукции" (п. 3)
Технико-экономическое понятие "качество продукции", в отличие от философского понятия "качество", охватывает только те свойства продукции, которые связаны с возможностью удовлетворения продукцией определенных общественных или личных потребностей в соответствии с ее назначением.
Качество продукции зависит от качества составляющих ее изделий и материалов. Если продукция состоит из изделий машиностроения, то к свойствам, определяющим качество продукции, относятся свойства отдельных изделий, а также такие свойства совокупности изделий, как однородность, взаимозаменяемость и т.д.
К термину "Показатель качества продукции" (п. 4)
Показатель качества продукции количественно характеризует пригодность продукции удовлетворять определенные потребности. Номенклатура показателей качества зависит от назначения продукции. У продукции многоцелевого назначения эта номенклатура может быть очень многочисленной.
Показатель качества продукции может выражаться в различных единицах, например, километрах в час, часах на отказ, баллах и т.п., а также может быть безразмерным.
При рассмотрении показателя качества продукции следует различать:
наименование показателя (например, интенсивность отказов);
численное значение показателя, которое может изменяться в зависимости от различных условий (например, 500 ч.).
К термину "Признак продукции" (п. 5)
Признаки продукции могут быть качественными и количественными. К качественным признакам относятся цвет материала, форма изделия, наличие на поверхности детали определенного покрытия (защитного, декоративного и пр.), профиль проката (уголок, тавр, швеллер и пр.), способ скрепления деталей изделия (сварка, склейка, клепка и пр.), способ настройки или регулировки технического устройства (ручной, полуавтоматический и пр.).
Среди качественных признаков большое значение при управлении качеством имеют альтернативные признаки, используемые при статистическом контроле эти признаки могут иметь только два взаимоисключающих варианта, например, наличие или отсутствие дефектов в изделии, наличие или отсутствие защитного покрытия на детали, возникновение или отсутствие отказа при испытании и т.д.
Количественный признак продукции является ее параметром.
К термину "Параметр продукции" (п. 6)
Параметр продукции количественно характеризует любые ее свойства, в том числе и входящие в состав качества продукции. Следовательно, показатель качества может быть частным случаем параметра продукции.
Многие показатели качества продукции являются функциями ее параметров. Так, например, показатели качества высокомолекулярных соединений являются функцией коэффициентов их полимеризации - структурных параметров. Коэффициент лобового сопротивления летательного аппарата является функцией его миделевого сечения - геометрического параметра. Показатель долговечности сверла зависит от ширины направляющей ленточки - геометрического параметра и от механических характеристик материала сверла - структурных параметров.
Геометрические параметры продукции обеспечиваются, как правило, конструктивно, а структурные - конструктивно и технологически.
Качественный признак продукции может влиять на вид функциональной зависимости показателей качества продукции от ее параметров. Так, например, способ резервирования (качественный признак) оказывает существенное влияние на вид зависимости показателя безотказности изделия от кратности резервирования - структурного параметра изделия.
Связь понятий "признак", "параметр" и "показатель качества" продукции показана на схеме.
Иногда бывает трудно установить наличие и вид связи между некоторыми параметрами продукции и показателями ее качества. Например, параметр, характеризующий проницаемость кузова автомобиля для радиоактивных излучений, обычно не принимается в расчет при оценке качества автомобиля. Если же автомобиль предназначен для пересечения местности, зараженной радиоактивными веществами, то указанный параметр следует считать одним из важнейших показателей качества автомобиля. В подобных случаях отраслевая документация должна содержать соответствующие указания.
К терминам "Единичный показатель качества продукции" и
"Комплексный показатель качества продукции" (пп. 7, 8)
Примерами единичных показателей качества продукции могут служить:
наработка радиоприемника на отказ;
интенсивность отказов резистора;
калорийность топлива;
коэффициент вариации проволоки по толщине;
средний ресурс автомобилей, выпущенных данным заводом за год;
среднее квадратическое отклонение ресурса автомобилей.
Эти показатели количественно характеризуют соответственно:
безотказность радиоприемника;
безотказность резистора;
теплотворную способность топлива;
однородность проволоки по толщине;
долговечность автомобилей;
однородность автомобилей по долговечности.
Из приведенных примеров следует, что единичные показатели могут относиться как к единице продукции, так и к совокупности единиц однородной продукции, характеризуя одно простое свойство.
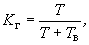
Комплексный показатель характеризует совместно несколько простых свойств или одно сложное свойство продукции (состоящее из нескольких простых). В качестве примера комплексного показателя качества продукции рассмотрим коэффициент готовности
, который для определенного вида изделий вычисляют по формуле
(1)
где
- наработка изделия на отказ (показатель безотказности);
- среднее время восстановления (показатель ремонтопригодности).
Из формулы (1) видно, что коэффициент готовности характеризует два свойства изделия - безотказность и ремонтопригодность.
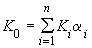
Другим примером комплексного показателя качества продукции является показатель (
), вычисляемый методом среднего взвешенного в частности по формуле
, (2)
где
- показатель
-го свойства оцениваемой продукции;
- коэффициент весомости показателя
.
Из формулы (2) следует, что
характеризует
различных свойств продукции.
В приведенном примере
представляет собой комплексный показатель, имеющий определенное физическое содержание, а именно - вероятность того, что оцениваемое изделие окажется работоспособным (готовым к выполнению заданных функций) в любой, произвольно выбранный момент времени в промежутках между периодами планового технического обслуживания.
Показатель
, как и все комплексные показатели, вычисляемые методами среднего взвешенного (арифметического, геометрического, гармонического и т.д.), представляет собой условную величину, выражаемую в условных единицах исчисления, например, в баллах и реального физического содержания не имеет.















