Задачи Физика (1277684)
Текст из файла
Задачи
Условие:
Между пластинами плоского конденсатора, заряженного до напряжения U=400 В, помещена диэлектрическая пластина толщиной h=1,2 см и диэлектрической проницаемостью
. Найти: 1) поверхностную плотность с свободных зарядов на обкладках конденсатора; 2) поверхностную плотность
’ связанных зарядов на пластине.
Решение:
Условие:
Напряженность H магнитного поля в центре кругового витка с магнитным моментом
А*
? равна 150 А/м. Определить радиус витка и силу тока в витке.
Решение:
Условие:
На экране наблюдается интерференционная картина в результате наложения лучей от двух когерентных источников ( = 600 нм). Определите, на сколько полос сместится интерференционная картина, если на пути одного из лучей перпендикулярно ему поместить стеклянную пластинку (n=1,6) толщиной d=4мкм.
Решение:
Условие:
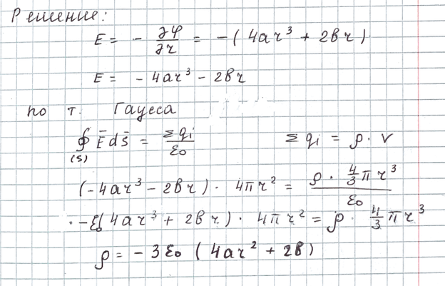
Потенциал поля внутри заряженного шара зависит от расстояния до его центра
, где a, b и c постоянные. Найти распределение объёмного заряда (r) внутри шара.
Решение:
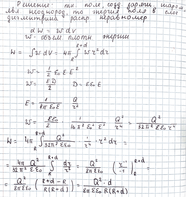
Условие:
Металлический шар радиусом R=15 см несёт заряд Q=20 нКл. Шар окружён слоем парафина ( = 2) толщиной d=5 см. Определить энергию W электрического поля, заключенную в слое диэлектрика.
Решение:
Условие:
Свет падает нормально на дифракционную решетку шириной L=6,5 см. Исследуемый: спектр содержит спектральную линию с =672.8 нм, которая состоит из двух компонент, отличающихся на =0.02 нм. Эти линии разрешены в спектре третьего порядка. Найти число штрихов на 1 мм.
Решение:
Условие:
По проводнику круглого сечения радиуса r и удельным сопротивлением р течет ток I. Вычислить поток вектора Пойнтинга за время t через боковую поверхность проводника длиной l и сравнить полученную величину с энергией Джоуля-Ленца, выделившейся за это время в объёме проводника той же длины.
Решение:
Условие:
Четыре равных точечных заряда Q расположены в вершинах квадрата со стороной b. а) Чему равна электрическая энергия системы? б) Какую потенциальную энергию будет иметь, пятый заряд Q, помещенный в центре квадрата (относительно
на бесконечности).
Решение:
Условие:
Докажите, что разрешающая способность дифракционной решетки не может превысить значения
, где
— ширина решетки,
-длина волны света.
Решение:
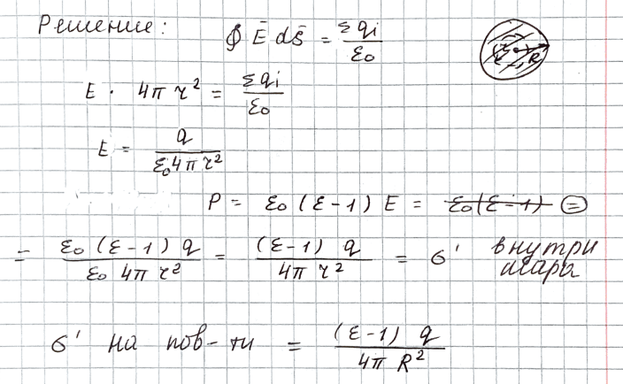
Условие:
В центре шара из однородного диэлектрика с проницаемостью =2,5 и радиусом R=10 см находится сторонний заряд q=50 мкКл. Найти плотность связанных зарядов на поверхности и внутри шара.
Решение:
Условие:
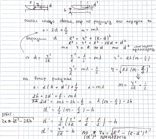
Плоская световая волна, длина волны которой и интенсивность
и падает нормально на большую стеклянную пластинку, противоположная сторона которой представляет собой непрозрачный экран с круглым отверстием радиусом равным первой зоне Френеля для точки наблюдения P. В середине отверстия сделана круглая выемка радиусом равным половине зоны Френеля. При какой глубине этой выемки интенсивность света в точке P будет минимальной?
Решение:
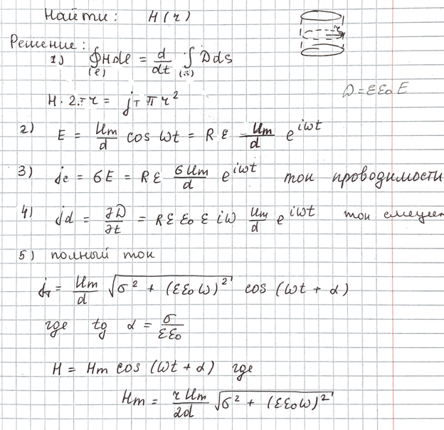
Условие:
Пространство между обкладками плоского конденсатора, имеющими форму круглых дисков, заполнено однородной слабо проводящей средой с удельной проводимостью и диэлектрической проницаемостью . Расстояние между обкладками d. Пренебрегая краевыми эффектами, найти напряженность магнитного поля между обкладками на расстоянии r от их оси, если на конденсатор подано переменное напряжение
.
Решение:
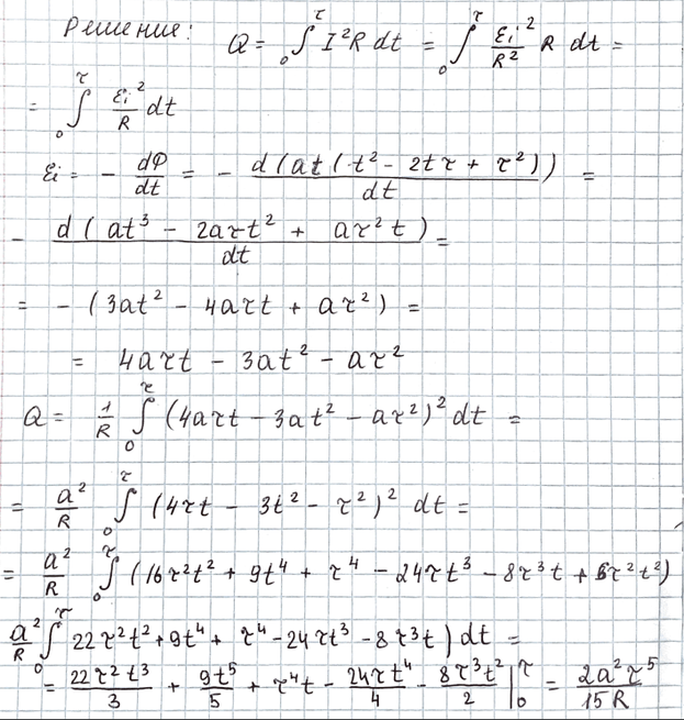
Условие:
Магнитный поток через неподвижный контур с сопротивлением R изменяется в течение времени по закону
где
- известная постоянная. Найти количество теплоты, выделившееся в контуре за это время. Магнитным полем индукционного тока пренебречь.
Решение:
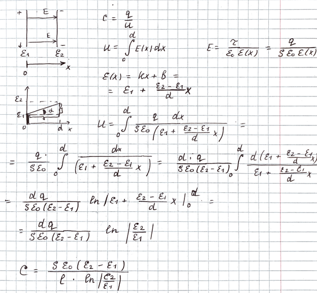
Условие:
Зазор между обкладками плоского конденсатора заполнен диэлектриком, проницаемость которого линейно растёт в перпендикулярном обкладкам направлении от
до
. Площадь каждой обкладки S, расстояние между обкладками -
. Найти ёмкость конденсатора.
Решение:
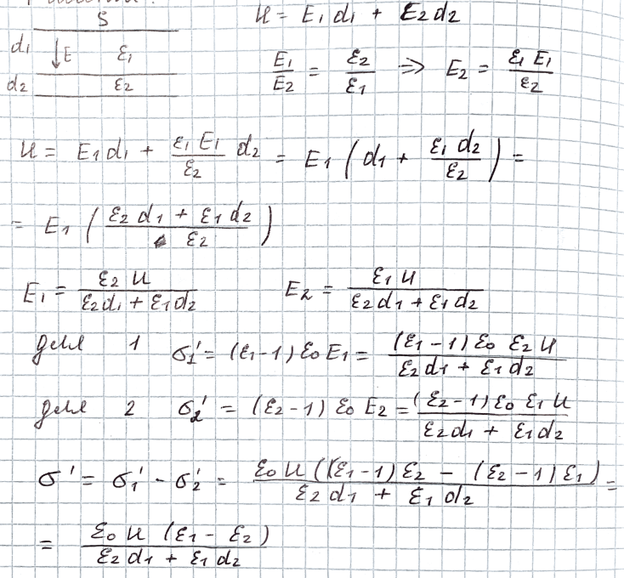
Условие:
Пространство между обкладками плоского конденсатора заполнено последовательно двумя диэлектрическими слоями 1 и 2 толщиной
и
и проницаемости
и
. Площадь каждой обкладки равна S. Найти плотность * связанных зарядов на границе раздела слоев, если напряжение на конденсаторе равно U и электрическое поле направлено от слоя 1 к слою 2.
Решение:
Условие:
Два однородных изотропных магнетика с магнитными проницаемостями
и
разделены плоскостью. Величина индукции магнитного поля в первом магнетике равна
, причем вектор
составляет угол с нормалью к поверхности раздела. Найти поверхностную плотность молекулярных токов
на границе раздела магнетиков.
Решение:
Условие:
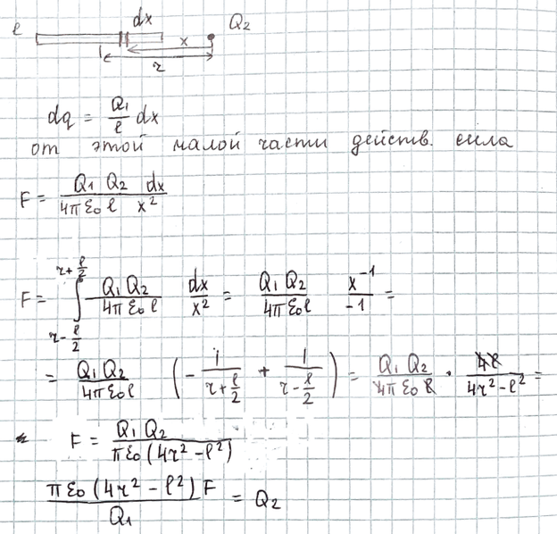
На тонкой нити длиной
см равномерно распределен заряд Q=350 мкКл действующий силой F=120 мкН на точечный заряд
находящийся на продолжении той же нити на расстоянии r = 6 см от ее середины. Определить значение точечного заряда
, если вся система находится в воздухе.
Решение:
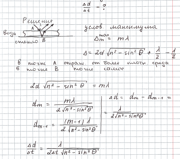
Условие:
На поверхности стекла находится пленка воды. На неё подаст свет с =0,68 мкм под углом =30° к нормали. Найти скорость, с которой уменьшается толщина пленки из-за испарения, если промежуток времени между последовательными максимумами отражения ∆t=15 мин. Показатель преломления воды n=1.33.
Решение:
Условие:
Плоско-выпуклая стеклянная линза с радиусом кривизны R=40 см соприкасается выпуклой стороной с горизонтальной стеклянной пластинкой. При этом в отраженном свете радиус некоторого кольца r=2,5 мм. Наблюдая за этим кольцом, линзу осторожно подняли над пластинкой на h=5,0 мкм. Чему стал равен радиус этого кольца?
Решение:
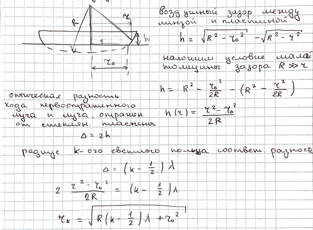
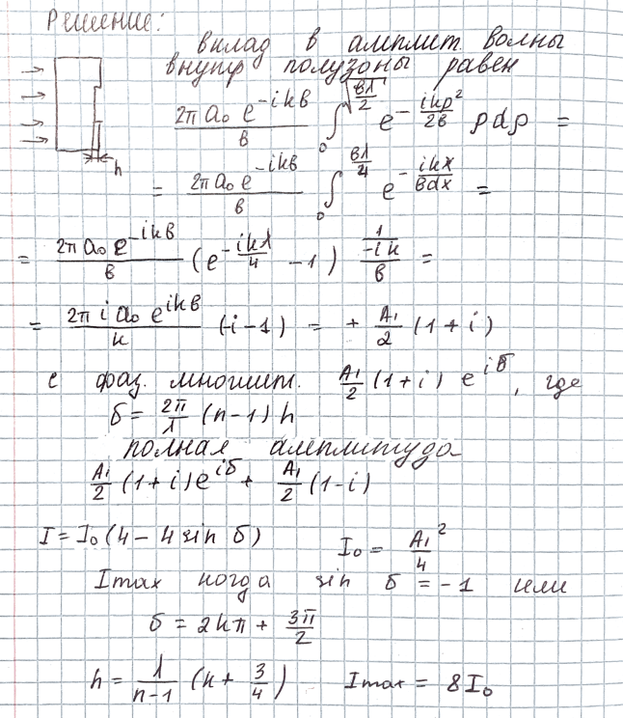
Условие:
На вершине сферической поверхности плоско-выпуклой стеклянной линзы имеется сошлифованный плоский участок радиуса
=3.0 мм, которым она соприкасается со стеклянной пластинкой. Радиус кривизны выпуклой поверхности линзы R=150 см. Найти радиус шестого светлого кольца в отраженном свете с =655 нм.
Решение:
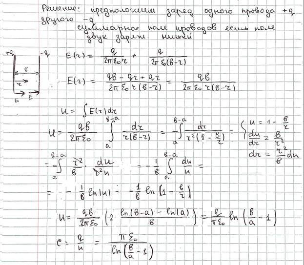
Условие:
Два длинных прямых провода одинакового сечения a расположены в воздухе параллельно друг другу. Расстояние между их осями равно b. Найти взаимную ёмкость проводов на единицу их длины, если a<<b.
Решение:
Условие:
Какой должна быть минимальная толщина воздушного слоя между двумя плоскими стеклянными пластинами, чтобы стекло при нормальном падении света с длиной волны =640 нм казалось темным (и светлым)? Наблюдение ведется в отраженном свете.
Решение:
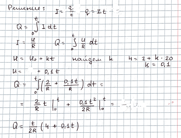
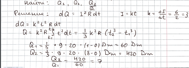
Условие:
Сила тока в проводнике сопротивлением R=20 Ом нарастает в течение времени t=2 с по линейному закону от
А до
А. Определить количество теплоты
, выделившееся в этом проводнике за первую секунду и
— за вторую, а также найти отношение этих количеств теплоты
.
Решение:
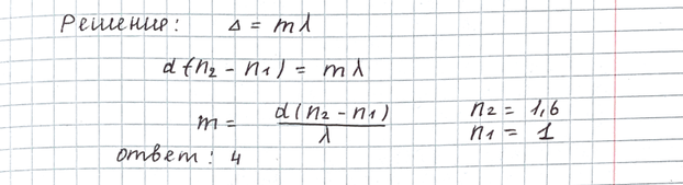
Условие:
С помощью дифракционной решётки с периодом d = 20 мкм требуется разрешить дублет натрия (
= 589 нм и
= 589,6 нм) в спектре второго порядка. При какой наименьшей ‘длине решётки это возможно?
Решение:
Условие:
Проводник длиной
имеет сопротивление R=100 Ом. Чему равно сопротивление проводника из такого же металла длиной
, если объемы обоих проводников одинаковы?
Решение:
Условие:
Определить заряд Q прошедший по проводу с сопротивлением R=3 Ом при равномерном нарастании напряжения на концах провода от
= 2 В до
= 4 В течение t = 20 с.
Решение:
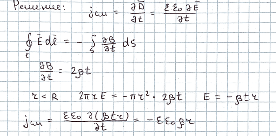
Условие:
Ток, текущий по длинному прямому соленоиду, радиус сечения которого R, меняют так, что магнитное поле внутри соленоида возрастает со временем по закону
, где
— постоянная. Найти плотность тока смещения как функцию расстояния r от оси соленоида.
Решение:
Условие:
Два однородных изотропных диэлектриков с проницаемостями
и
разделены плоской поверхностью. Напряженность электрического поля в диэлектрике с проницаемостью
равна
, причем угол между вектором
и нормалью к поверхности раздела диэлектриков равен . Найти величину и направление электрического поля внутри диэлектрика с проницаемостью
.
Решение:
Условие:
На длинный соленоид, имеющий диаметр сечения d=5 см и содержащий n=20 витков на 1 см длины, плотно надет круговой виток из медного провода сечением S=1,0 мм2. Найти ток в витке, если ток в обмотке соленоида увеличивают с постоянной скоростью
=100 А/С. Магнитным полем индукционного тока пренебречь. Удельное сопротивление меди =16 нОм∙м.
Решение:
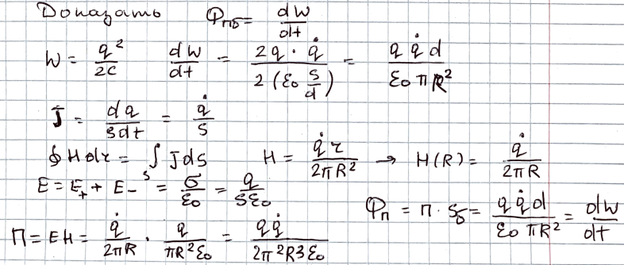
Условие:
Плоский воздушный конденсатор с круглыми пластинами радиуса R медленно заряжают постоянным током. Показать, что поток вектора Пойнтинга через боковую поверхность конденсатора равно скорости приращения энергии W конденсатора.
Решение:
Характеристики
Тип файла документ
Документы такого типа открываются такими программами, как Microsoft Office Word на компьютерах Windows, Apple Pages на компьютерах Mac, Open Office - бесплатная альтернатива на различных платформах, в том числе Linux. Наиболее простым и современным решением будут Google документы, так как открываются онлайн без скачивания прямо в браузере на любой платформе. Существуют российские качественные аналоги, например от Яндекса.
Будьте внимательны на мобильных устройствах, так как там используются упрощённый функционал даже в официальном приложении от Microsoft, поэтому для просмотра скачивайте PDF-версию. А если нужно редактировать файл, то используйте оригинальный файл.
Файлы такого типа обычно разбиты на страницы, а текст может быть форматированным (жирный, курсив, выбор шрифта, таблицы и т.п.), а также в него можно добавлять изображения. Формат идеально подходит для рефератов, докладов и РПЗ курсовых проектов, которые необходимо распечатать. Кстати перед печатью также сохраняйте файл в PDF, так как принтер может начудить со шрифтами.
















