МУ к ЛР №20 (1266881)
Текст из файла
Лабораторная работа № 20
Компьютерный анализ режимов работы отрезка линии без потерь
Цель работы
Исследовать распределение амплитуд или действующих значений напряжений и токов в отрезке длинной линии c пренебрежимо малыми потерями (линии без потерь) в зависимости от характера и величины нагрузки. Изучить зависимость входного сопротивления (его вещественной и мнимой составляющих) от пространственной координаты при различных нагрузках.
Объект исследования
Линия без потерь, моделируемая воображаемой схемой замещения, для которой известны параметры. В виртуальном эксперименте используется универсальная компьютерная система MathCad.
Рабочее задание
-
Вывести на экран монитора программу анализа режимов работы линии без потерь (MathCad, Lab_20.mcd). Скопировать файл, копию сохранить под другим именем (Save As).
-
Ввести исходные данные условной линии, в качестве которых принять данные своего варианта курсовой работы:
волновое сопротивление RС Ом;
частота f , Мгц;
относительная длина линии l0=l/.
В дальнейшем анализе будут приняты обозначения: c –скорость электромагнитной волны в вакууме; ky –коэффициент укорочения волны (для простоты здесь принято ky=1); =c/f –длина волны, =2/ -коэффициент фазы (в радианах);
-коэффициент отражения волны.
Поскольку в лабораторной работе не задается величина входного напряжения линии, в расчетных формулах произвольно принимается I2П=0.02 А –ток прямобегущей волны в сечении нагрузки; тогда напряжение прямобегущей волны
U2П=RсI2П.
-
Исследовать режим смешанных волн.
3.1 Поочередно устанавливая сопротивления нагрузки:
а)ZН=RН+XНj – комплексное сопротивление ( из задания на курсовую работу);
б, в)резистивные сопротивления ZН=2RС и ZН=0.5 RС,
получить на экране монитора графики распределения действующих значений напряжения U(x) и тока I(x) вдоль отрезка однородной линии без потерь при заданной нагрузке. Отсчет координаты “x” здесь и в дальнейшем ведется в метрах от конца линии к началу. Записать максимальное и минимальное значения напряжения, а также – координаты xmax и xmin ближайших к началу координат максимума и минимума напряжения.
3.2 По результатам исследования вычислить модуль и аргумент коэффициента отражения волны, а также комплексное сопротивление нагрузки. Сравнить результаты вычислений с исходными данными (вычисленные величины для отличия их от исходных данных снабдить каким- либо индексом или штрихом).
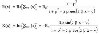
3.3 Построить графики распределения вещественной R(x) и мнимой X(x) составляющих сопротивления вдоль той же линии и при тех же сопротивлениях нагрузки.
3.4 Все материалы раздела скопировать на личную дискету.
-
Исследовать режимы стоячих волн.
Поочередно устанавливая сопротивления нагрузки ZН = ; ZН = 0; ZН = j XН; ZН = – j XН (XН –мнимая часть исходного ZН), повторить все наблюдения и возможные вычисления подобно предыдущему пункту, изменив, соответственно, заглавия подпунктов.
Результаты скопировать на личную дискету.
5. Исследовать режим бегущих волн (режим согласованной нагрузки).
Установить ZН=RC. Построить и проанализировать графики распределения напряжения, тока и сопротивления. Сделать заключение об особенностях этого режима
Результаты скопировать на личную дискету.
Методические указания и рекомендации
Для линий с пренебрежимо малыми потерями коэффициент ослабления можно принять практически равным нулю, тогда коэффициент распространения
= j
и основные уравнения линии преобразуются к виду:
где x отсчитывается от конца линии (от нагрузки).
Для случаев холостого хода (I2 = 0) и короткого замыкания (U2 = 0) эти уравнения упрощаются и для модулей действующих значений имеют вид:
UХ(x) = U2 cos x, UК (x) = Rc I2 sin x
IХ(x) =
sin x, IК (x) = I2 cos x.
Эти уравнения легко представить в виде графиков, где x может измеряться в метрах или в долях длины волны λ. Так же просто можно выразить входные сопротивления:
Легко видеть, что входные сопротивления в этих предельных режимах являются чисто реактивными, причем на протяжении первой четверти длины волны Zвх х носит емкостный, а Zвх к – индуктивный характер.
Для режимов произвольной нагрузки зависимости модулей напряжения и тока, а также вещественной и мнимой составляющих входного сопротивления удобно выразить через модуль коэффициента отражения волны ρ. Именно в таком виде эти зависимости и используются в настоящей лабораторной работе.
где U2п и I2п – модули прямых волн напряжения и тока в сечении нагрузки;
Количественная оценка степени согласования нагрузки с линией осуществляется с помощью коэффициента бегущей волны:
откуда можно выразить модуль ρ
Аргумент коэффициента отражения волны измеряется в радианах.
КБВ = 1 соответствует бегущим волнам,
КБВ = 0 соответствует стоячим волнам.
Рассматривая кривые распределения модулей напряжения и тока, а также входных сопротивлений вдоль линии без потерь, Рис.20,1 (а,б), можно заметить:
1)Максимумы и минимумы напряжений (токов) отстоят друг от друга на четверть длины волны (на
);
2)При холостом ходе и резистивной нагрузке первые экстремальные значения модулей напряжения и тока приходятся на конец линии (х=0);
3)При комплексном сопротивлении нагрузки экстремальные значения смещаются на некоторое расстояние xmax или xmin ;
4)Мнимая часть входного сопротивления линии через каждые четверть длины волны обращается в нуль, что означает, что в линии существуют “резонансные сечения “ На эти же сечения приходятся и экстремумы кривых распределения модулей напряжения и тока.
По экспериментальным данным можно зафиксировать экстремальные значения, например, модуля напряжения и расстояния между ними, а также расстояние до ближайшего к нагрузке максимума или минимума кривой. Это позволяет использовать линию без потерь (с пренебрежимо малыми потерями) в качестве измерительной линии для измерений сопротивлений в диапазоне ультракоротких волн
В лабораторной работе ( в виртуальном эксперименте) по полученным графикам можно определить:
-длину волны (следовательно, и частоту источника),
-модуль коэффициента отражения волны:
аргумент коэффициента отражения волны:
а) если первым от нагрузки следует максимум напряжения, то
=2xmax ,
б) если первым от нагрузки следует минимум напряжения, то
=2(xmin)=2xmin;
комплексное сопротивление нагрузки:
Программа домашней подготовки к выполнению работы
По учебным пособиям и конспекту лекций изучить тему: “Линия без потерь”.Приготовить дискету и принести её на лабораторное занятие. Из методического пособия по курсовой работе выписать данные своего варианта (эти же данные имеются на стенде по курсовому проектированию).
Контрольные вопросы
1. Дайте определение цепи с распределенными параметрами.
2. Каковы особенности линии без потерь?
3. При каких условиях в длинной линии возникают стоячие волны?
4. Передается ли энергия в линии без потерь, замкнутой на реактивное сопротивление?
5. Укажите особенности первичных и вторичных параметров линии без потерь в сравнении с таковыми для линии с потерями.
6. При каких условиях в линии существуют бегущие волны?
7. В чем заключаются смысл и способы согласования нагрузки с линией?
8. На каком расстоянии друг от друга в долях длины волны располагаются соседние максимумы напряжения или тока в режимах стоячих или смешанных волн?
9. Каково расстояние в долях длины волны между максимумом и минимумом напряжения (тока) в режиме стоячих или смешанных волн?
10. Какой характер имеют входные сопротивления при смешанных волнах в точках максимума или минимума напряжений (токов)?
11. Однородная линия имеет параметры R0 = 5 Ом / км, С0 = 5·10 3 мкФ / км, G0 = 10 –6 См / км. При какой индуктивности в линии отсутствовали бы искажения?
Ответ: L0 = 25 мГн / км.
12. Определить, на каком минимальном расстоянии l должна быть закорочена линия без потерь с волновым сопротивлением RС, чтобы ее входное сопротивление стало равным j RС. Длина волны в линии
.
Ответ: l = λ / 8.
Характеристики
Тип файла документ
Документы такого типа открываются такими программами, как Microsoft Office Word на компьютерах Windows, Apple Pages на компьютерах Mac, Open Office - бесплатная альтернатива на различных платформах, в том числе Linux. Наиболее простым и современным решением будут Google документы, так как открываются онлайн без скачивания прямо в браузере на любой платформе. Существуют российские качественные аналоги, например от Яндекса.
Будьте внимательны на мобильных устройствах, так как там используются упрощённый функционал даже в официальном приложении от Microsoft, поэтому для просмотра скачивайте PDF-версию. А если нужно редактировать файл, то используйте оригинальный файл.
Файлы такого типа обычно разбиты на страницы, а текст может быть форматированным (жирный, курсив, выбор шрифта, таблицы и т.п.), а также в него можно добавлять изображения. Формат идеально подходит для рефератов, докладов и РПЗ курсовых проектов, которые необходимо распечатать. Кстати перед печатью также сохраняйте файл в PDF, так как принтер может начудить со шрифтами.
















