Шпаргалки к экзамену (1265176)
Текст из файла
Ответы на билеты по математическому анализу (семестр 2)
Билет № 1
1) Обыкновенные дифференциальные уравнения.
2) Комплексная форма ряда Фурье.
Билет № 2
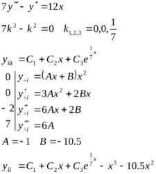
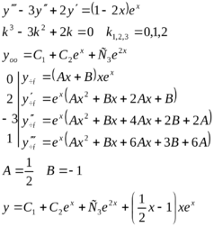
3)
Билет № 3
1) Неопределен. диф. ур-я 1-ого порядка. Определение, способы решения.
2) Знакочеред. ряды (числовые).
3)
Б
илет № 4
1) Лин. диф. ур-я (метод ешения и определение). Уравнение Бернулли.
2) Знакопеременные ряды (абсол.и услов. сх-ть).
3)
4)
Билет № 5
1) Диф. урав-я в полных диф-ах. Интегрирующий множитель (частые производные).
2) Непрерывность суммы ряда. Интегрирование и диффенцирование степ.рядов.
Билет № 6
1) ДУ 2-ого порядка (понижение степени).
2) Интегрирование и дифф-е рядов.
4)
Билет № 7
1) Диф. ур-я “n”-ого порядка. Задача Коши. Теорема о существовании и единственности. Решение задачи Коши. Ур-я требующие понижения порядка.
2) Степенные ряды. Теорема Абеля.
5)
Билет № 8
1) ДУ высших порядков.
2) Радиус сходиости рядов.
3)
4)
Билет № 9
Билет № 10
1) теоремы о решении однород. лин. урав-ий (диф.).
2) Условие и теорема Дирихле.
Билет № 11
1) Метод вариации переменных (метод Лагранжа).
2) Повторный интеграл и его свойства. Двойной интеграл.
5)
Билет № 12
1) Однород. диф. урав-ия “n”-ого порядка. Характеристическое уравнение. Общее решение.
2) Ряды Тейлораи Маклорена.
Билет № 13
1) Решение неоднор. лин. диф. ур-ий “n”-ого порядка с постоян. коэф., имеющий спец. правую часть (методом неопределен. коэф.).
2) Двойной интеграл в полярных и обобщенных полярных координатах. Якобиан и его геометр. смысл.
4)
Билет № 14
1) Системы обыкн. диф. ур-ий...
2) Интегрирование рядов с помощью степенных разложений (метод исключения).
5) проверить решение
Билет № 15
1) Интегрирование однор. линейных систем уравнений с пост. коэф. методом Эйлера. Харак-е ур-е (простой спектр).
2) Касательная плоскость и нормаль к поверхности.
4)
Билет № 16
1) Знакоположит. ряды. Предел. признак сравнения.
2) Криволин. интеграл 2-ого рода. Свойства и вычисления.
Билет №17
1) Числ. ряды с полож. членами. Достаточный признак Даламбера.
2) Предел ф-ии многих переменных. Область, определение предел. интеграла в точке, понятие о повтор. пределе.
Билет № 18
Билет № 19
Б
0
2
илет № 201) Разложение чет., нечетн. ф-ии в ряд Фурье на [-П;П] и [0;П].
2) Полный дифференциал для функции двух переменных.
4)
(2;2)
(2;0)
Билет № 21
1) Ряды Фурье для функции с периодом
.
2) непрерывность ф-ии 2х переменных. Разрывы ф-ии 2х переменных.
Билет № 22
3)
4)
Билет № 23
3)
Билет № 24
1) Интегр. диф. ур-ий с помощью степ. рядов (биноминальный ряд).
2) Частные произвожные высших порядков. Смешанные производные.
Билет № 25
1)Числовые ряды. Сумма и сходимость, бесконечн. убывание геометр. прогрессии.
2) Касательная и нормаль к поверхности. Полный дифференциал ф-ии 2ч переменных.
Билет № 26
1) Разложение ф-ии ех по степеням Х и оценка остаточ. членов в форме Лагранжа.
2) Необход. и достаточн. усл-ия экстремума.
Билет № 27
1) Разложение в ряд Маклорена y=sinx, y=cosx. остаточный член Лагранжа.
2) тройной интеграл. Повторный интеграл, вычисление, свойства.
Билет № 28
1) Ортогональность систем [-П;П].
2) Замена переменных в тройном интеграле.
Билет № 29
1) Необходимое условие сходимости числовых рядов. Гармонический ряд.
2) Криволинейный интеграл. Свойства. Приложение.
5)
Билет № 30
Билет № 31
1) Формула Грина. условие независимости крив. интегралов 2-ого рода от пути интегрирования.
2) Задача на нахождение объема цилиндрич. тела. Определенный двойной интеграл и его свойства.
Билет № 32
1) Производная по направлению. Градиент.
2) Ортогон. систем ф-ий. Ряд Фурье по ортогон. системы.
Характеристики
Тип файла документ
Документы такого типа открываются такими программами, как Microsoft Office Word на компьютерах Windows, Apple Pages на компьютерах Mac, Open Office - бесплатная альтернатива на различных платформах, в том числе Linux. Наиболее простым и современным решением будут Google документы, так как открываются онлайн без скачивания прямо в браузере на любой платформе. Существуют российские качественные аналоги, например от Яндекса.
Будьте внимательны на мобильных устройствах, так как там используются упрощённый функционал даже в официальном приложении от Microsoft, поэтому для просмотра скачивайте PDF-версию. А если нужно редактировать файл, то используйте оригинальный файл.
Файлы такого типа обычно разбиты на страницы, а текст может быть форматированным (жирный, курсив, выбор шрифта, таблицы и т.п.), а также в него можно добавлять изображения. Формат идеально подходит для рефератов, докладов и РПЗ курсовых проектов, которые необходимо распечатать. Кстати перед печатью также сохраняйте файл в PDF, так как принтер может начудить со шрифтами.
















