Кинем.анализ1(прад.) (1253124), страница 2
Текст из файла (страница 2)
При этом из зависимости (3) и (4) для всех ККС (рис.1) будет получено
i= (5)
Инструментальный комплект может включать резцы, которые имеют одинаковые или различные самостоятельные траектории (рис.2,а,б). Если число таких траекторий будет равно mт, то общее количество граней на одном изделии будет увеличено в mт раз, т.е.
N = Numт = i mumт = i m, (6)
где m = mumT- максимально возможное число резцов.
Выражение (6) имеет универсальный характер для всех ККС (рис.1). Оно устанавливает строгую зависимость между числом граней, кинематическим параметром и количеством резцов(инструментов). Например, для схем рис. 2 будет, соответственно
а) =i mumт = 213=6,
б) 6= 22,
в) 6= 611,
г) 6= -6 11,
при максимальном количестве резцов (инструментов) – 3,4,1,1, соответственно.
6.ФОРМА ГРАНИ.
Поперечное сечение некруглого изделия характеризуется как количеством участков, так и формой самих участков (граней). Выпуклость, вогнутость или приближение кривой к прямой линии обычно определяется радиусом ее кривизны. Известно условие нулевой кривизны циклоидальной траектории [5]
i=1, (7)
в котором верхний знак соответствует Г, а нижний Э и П.
Зависимость (7) определяет условие прямолинейности Э, П и Г в максимально приближенных к центру детали точках.
7.РЕАЛИЗАЦИЯ ТЕОРЕТИЧЕСКИХ ИССЛЕДОВАНИЙ.
Изложенные теоретические исследования имеют общий характер и пригодны для всех приведенных на рис.1 ККС
-
с двумя вращательными,
-
с двумя поступательно-круговыми движениями,
-
с одним вращательным и одним поступательно-круговым движениями.
При этом названные движения могут быть сообщены в виде комбинаций 2-х абсолютных движений
а) заготовке и инструменту,
б) только инструменту,
в) только заготовке.
ЦСО некруглых изделий могут быть реализованы на вновь создаваемых специальных станках или на существующих станках токарной, сверлильной, фрезерной и зубообрабатывающих групп. Модернизацию существующих станков можно осуществлять путем оснащения их соответствующими приспособлениями или специальными узлами, позволяющими получить второе вращательное или поступательно-круговое движение, взаимосвязанное с имеющимся вращательным движением через требуемое отношение i=ω2/ω1.
Особенностью ЦСО является периодичность резания, изменение толщины среза, трансформация углов резания, кинематическая погрешность и др., т.е. существует большое число факторов, которые определяют условия обработки и технические характеристики оборудования.
Для сокращения трудоёмкости разработки новых способов обработки целесообразно выявить их общие закономерности и применить единый метод исследований.
Наибольшую ценность представляет расчётный метод с помощью параметрических уравнений(1) из-за высокой точности, универсальности и возможности автоматизации построения относительных траекторий с помощью современных программных средств ПЭВМ.
В работе применён автоматизированный метод исследований относительных циклоидальных траекторий с помощью известного MathCAD’а.
Предметом исследований обычно являются: относительные траектории, характер движения инструмента по ним (поворот инструмента, скорость), вид движения.
7.1. Исследование траекторий возможных ЦСО многогранных профилей.
На рис.3 приведены построенные по зависимостям (1) циклоидальные траектории, иллюстрирующие достоверность условия получения N-гранного профиля(3,4). В качестве примера взяты значения i = 3,4 и 6. Построенные автоматически кривые наглядно подтверждают соответствие количества ветвей циклоидальных траекторий кинематическому параметру i. Кроме того, очевидно соответствие модуля знаменателя параметра i и условия пересечения ветвей этих траекторий. Очевидно существенное отличие кривизны ветвей разных вариантов вблизи центров профилей.
Рис. 4
7.2.Обработка N – гранной детали эксцентричной круглой фрезой
Дальнейшие углубленные исследования проведены для схемы, приведённой на рис.2, г. Возможны различные варианты её реализации (рис.4)
Рис. 4
Изделие 1 с осью О1 установлено на расстоянии L от оси О2 образующей окружности Ц2. Ось О3 круглой фрезы 2 устанавливают на расстояние Ru от оси О2. Образующей окружности Ц2 сообщают вращение относительно оси О2 с угловой скоростью ω2, согласованное с перемещением оси О2 с угловой скоростью ω1 за счёт обкатывания окружности Ц2 по основной окружности Ц1, ось которой совпадает с осью О1 изделие 1. Результирующее движение оси О3 фрезы 2 и её зубьев 3 относительно оси О1 изделия 1 происходят по циклоидальным траекториям. При внешнем касание окружностей Ц1Э и Ц2Э траектории оси О3 и зубьев 3 становятся эпициклоидами, при внутреннем касании окружностей Ц1Г и Ц2Г – гипоциклоидами, при касании окружностей Ц1П и Ц2П – перициклоидами.
Данная иллюстрация полностью соответствует единой математической форме циклоидальных кривых (1). При внешнем зацеплении окружностей Ц2 и Ц1 считаем отношение угловых скоростей отрицательными, а при внутреннем – положительным, т.е. передаточное отношение(кинематический параметр) i = ω2/ω1 для эпициклоиды будет отрицательным, для перециклоиды получим i < 1, а для Г, соответственно, i > 1.
Для получения грани 4 на изделии 1 используется участок ветви траектории оси О3 фрезы 2. Выбирается такой участок ветви этой траектории, эквидистанта к которому наиболее близка к требуемому профилю грани 4. При этом формообразование грани 4 осуществляется несколькими зубьями 3 фрезы 2, рабочие участки циклоидальных траекторий которых периодически касаются грани 4 изделия 1. Касание происходит на расстоянии RФ( равном радиусу фрезы 2) от рабочего участка траектории оси О3 фрезы 2.
Последовательность обработки граней выбирают в зависимости от заданной кривизны контура грани и при обработке прямолинейных граней она определяется по формуле (7)
i = 1 ± √L/Ru,
где знак «+» соответствует граням, эквидистантным Г, знак «-» - Э и П.
В таблице 1 приведены параметры ЦСО пятигранника с технически прямыми гранями для случая неизменности параметра станка L – расстояния между осями вращения изделия и фрезы. При соблюдении этого условия получаем для каждого значения параметра i различные параметры изделия R1.
Таблица № 1
| I | 5 | -5 | 5/2 | -5/2 | 5/3 | -5/3 | -1 | 5/8 | -5/8 |
| L | 100 | 100 | 100 | 100 | 100 | 100 | 100 | 100 | 100 |
| R2 | 25/4 | 100/36 | 400/9 | 400/49 | 9/4 | 900/64 | 25 | 6400/9 | 6400/169 |
| R1 | 375/4 | 3500/36 | 500/9 | 4500/49 | 391/4 | 5500/64 | 75 | 5500/9 | 10500/169 |
| Вид кривой | Г | Э | Г | Э | Г | Э | Э | П | Э |
В таблице 2 приведены аналогичные параметры ЦСО для случая постоянного параметра изделия R1 и фрезы RФ. Здесь для каждого параметра i получаем различные параметра станка L.
Таблица № 2
| I | 5 | -5 | 5/2 | -5/2 | 5/3 | -5/3 | -1 | 5/8 | -5/8 |
| L | 64/3 | 144/7 | 36 | 196/9 | 16 | 256/11 | 80/3 | 36/11 | 676/21 |
| R2 | 4/3 | 4/7 | 16 | 16/9 | 36 | 36/11 | 20/3 | 256/11 | 256/21 |
| R1 | 20 | 20 | 20 | 20 | 20 | 20 | 20 | 20 | 20 |
| Вид кривой | Г | Э | Г | Э | Г | Э | Э | П | Э |
Анализ данных таблиц 1 и 2 показывает, что существует множество вариантов совокупности параметров ЦСО пятигранников с прямыми гранями. Причём в 1-м случае получаем различные пятигранники по размеру, а во втором – одинаковые.
7.3.Исследования формы изделия
На рис.5 представлены два пятигранника с технически прямыми гранями, очерченные гипоциклоидой и эпициклоидой.
Параметры ЦСО получены с использованием условия получения прямой грани (7) при одинаковом радиусе R1 вписанной окружности (R1 = 20мм) и взяты из таблицы 2. Очевидно, что пятигранник, описанный Г, более близок к идеальному пятиугольнику.
7.4.Исследование кривизны грани
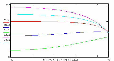
На рис.6 представлены несколько циклоидальных кривых с техническими прямыми участками, очерченные Г (i = 5; 5/2 ; 5/3), П (i = 5/8), Э (i = -5; -5/2; -5/3; -5/8). Они получены с использованием условия обеспечения прямой грани (7) при значении R1 = 20 мм для всех случаев и учитывают данные таблицы 2.
Рис. 6
Графики иллюстрируют возможность применения различных значений параметра i в определённых пределах погрешности обработки – отклонения от прямой линии. Анализ графиков показывает, что меньшая погрешность у Г с i = 5 и i = 5/2.
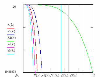
На рис.7 представленные циклоидальные кривые, имеющие близкие по форме участки. Они получены при одинаковых параметрах L и i, но отличаются параметрами Ru. На практике подобная ситуация может случиться при ошибочной настройке параметров инструмента (погрешность радиуса вращающегося однолезвийного инструмента или эксцентриситета фрезы, износа режущих элементов и др.).
7.5. Разработка схемы срезания припуска [5]
Известно, что схема срезания припуска имеет важнейшее значение при разработке техпроцесса ЦСО. Она является тем фактором, который определяет параметры режимов резания. В условиях возможности применения множества вариантов совокупности параметров ЦСО становится актуальной задача автоматического ее построения.
На рис.8 представлены построенные в MATHCAD по соответствующему алгоритму схемы, иллюстрирующие рабочие участки циклоидальных траекторий отдельных зубьев,проходящих через заготовку. Рассмотрены лишь два варианта при i=5 и i=–5/2 с учетом условия получения прямых граней (7) для небольшого количества зубьев фрезы (Z=10). В этом случае обеспечена наглядность и возможен анализ очередности работы зубьев, закономерности изменения толщины срезаемого слоя, кинематической погрешности-гребешков при встречном и попутном резании и др..Легко изменяя исходные параметры ЦСО практически мгновенно получаем иллюстрацию условий работы каждого режущего элементы(зуба) инструмента.
















