диплом (1235147), страница 12
Текст из файла (страница 12)
Существенна защита персонала от травмирования струей сжатого воздуха. Основные меры предупреждения этих травм заключаются в регулярной проверке исправности пневматического оборудования и надежного присоединения воздушных шлангов, а также в категорическом запрещении направлять струю сжатого воздуха на себя и на других работающих. Для предотвращения случайного пуска пневматической формовочной машины следует применять предохранительную дугу (рисунки 5.1) или пружинный фиксатор (рисунки 5.2), которые не допускают передвижения рычага управления при случайном задевании его.
Весь пневматический и электрический инструмент должен иметь индивидуальные паспорта и инвентарные номера, подвергаться периодическим проверкам и ремонту.
Плавильные отделения характеризуются высокой температурой воздуха, интенсивным теплоизлучением, а также возможным разбрызгиванием и выбросами металла при контакте с водой или сырыми или покрытыми коррозией предметами.
1 — предохранительная луга; 2 – приваренные полосы, укрепление болтами к пусковому прибору; 3 – пусковой прибор; 4 – пусковая рукоятка
Рисунок 5.1 - Предохранительная дуга для пневматического пускового прибора.
Рисунок 5.2 - Пружинный фиксатор пускового прибора
При контакте расплавленного металла с влажными предметами образуется большой объем водяных паров (примерно в 1700 раз больше объема воды), что влечет за собой выброс металла. Ввиду исключительной опасности контакта расплавленного металла с влагой, вагранки, желоба, печи, участки заливки, а также места хранения ковшей не следует располагать непосредственно под зоной внутренних водоспусков или на площадях пола под открывающимися проемами фонарей.[13]
Выброс металла из форм может иметь место в результате отступления от технологии формовки и сборки форм (недостаточная газопроницаемость наполнительной земли, неправильное расположение, недостаточное количество и сечение выпоров, продухов, дефекты литниковой системы, недостаточное просушивание формы).
Случаи проливания и разбрызгивания металла могут произойти вследствие падения или самоопрокидывания ковшей (на пример, заедание контроллера и бездействие концевого выключи теля крана, транспортирующего расплавленный металл). Для предохранения работающих от опасностей проливания и разбрызгивания металла необходимо перед началом работы все литейные ковши (крановые и ручные) тщательно осмотреть и проверить исправность их состояния, а механизм поворота ковшей проверяется путем поворота на 180°.
Перед заполнением металлом ковши должны быть хорошо просушены, необходимо проверить футеровку, кожух, пояс, цапфы, траверзы, серьги для зацепки к крюку (рисунок 5.3).
Рекомендуется ковши заполнять металлом не более чем на 7/8 внутренней высоты ковша.
Рисунок 5.3-Ковш для чугуна
Особая опасность возникает при перемещении ковшей с расплавленным металлом вручную, так как возможны случаи падения рабочих. Во избежание этого, пути для перемещения расплавленного металла должны быть по ширине не менее одного метра, не должны загромождаться, должны иметь ровную, нескользкую поверхность и движение по ним должно быть организовано только в одном направлении.
Перед фронтом вагранок обустроена площадка шириной не менее 5 м. для обеспечения необходимой свободы маневрирования работающих при выпуске, транспортировке металла и возможных аварийных работах на случай прорыва летки. Каждое фурменное отверстие у вагранки и копильника должно быть снабжено смотровым очком с откидной рамкой, с небьющимся цветным стеклом.[10]
Весьма необходимым мероприятием является механизация загрузки вагранок (скиповые подъемники, шаржирные краны, электротельферы).
При механизированной загрузке необходимо расположение завалочного окна на высоте не менее 0,7 м. от пола; при ручной загрузке проем окна следует делать высотой не более 0,7 м. и для облегчения ручной загрузки располагать окно над уровнем пола на высоте 0,5 - 0,7 м.
Выпуск металла и шлака требуется производить с предварительной подачей звукового сигнала. Во время выбивки вагранок и выпуска остатков из копильника необходимо удалять работающих на расстояние не менее 10 - 15 м, с выставлением постов для предупреждения посторонних и с установкой щитов для рабочих, производящих выбивку.
Перед ремонтом вагранка должна быть охлаждена до температуры 30 - 40°С продувкой или естественным проветриванием. При ремонте следует обратить внимание на защиту работающих от возможного падения частей футеровки, для чего ставится предохранительная сетка или щит.
При отливке в кокиль (постоянные металлические формы) санитарно-гигиенические условия значительно улучшаются, так как отпадает работа c формовочными материалами. При литье в кокиль необходимо обратить внимание на тщательность изготовления и надежность соединительных и крепежных приспособлений, которые должны обеспечить высокую плотность соединения двух половин кокилей и надежную фиксацию их в сомкнутом положении. Перед заливкой кокили должны быть тщательно просушены и подогреты до температуры 150 - 200°С.
Центробежное литье. При центробежном литье, так же, как и при кокильном, возможны случаи разбрызгивания металла. Машины для центробежного литья требуется снабжать двумя ступенями включения с надежными фиксаторами положения, гарантирующими от случайного пуска машины. С помощью первой ступени включается или выключается питание (электроэнергия, воздух) и с помощью второй ступени включается или выключается машина.
Движущиеся части механизмов должны ограждаться.
На случай выброса расплавленного металла из вращающегося корпуса (формы) и из дозирующих приспособлений машины центробежного литья снабжаются прочными, надежно запирающимися кожухами или шерстяной ткани или трикотажной сетки в местах, подвергающихся облучению. Карманов в одежде не должно быть. Для защиты от возгорания спецодежду пропитывают огнезащитным материалом или покрывают асбестовой тканью.
Лицо защищается от облучения полями шляпы. В качестве спецобуви в плавильных отделениях целесообразны гладкие толстые кожаные ботинки с кожаной подошвой, снабженные тонкой асбестовой прокладкой в тыльной части, цельные спереди и с разрезом сзади, стягивающиеся на «молнии» или застежкой.
Чтобы не попадали внутрь одежды брызги металла или горячая земля, а скатывались по верху одежды, брюки и куртку требуется носить на выпуск.
Для защиты глаз в литейном производстве применяются очки чешуйчатые с простыми и небьющимися стеклами «триплекс» или со светофильтрами.
Вместо очков целесообразно применять щитки типа ЩН из прозрачной пластмассы, закрывающие большую часть лица.[13]
-
Расчет искусственного освещения литейного цеха
Расчет электрического освещения выполняют при проектировании осветительных установок для определения общей установленной мощности и мощности каждой лампы.
При проектировании искусственного освещения необходимо учитывать условия зрительной работы:
– систему освещения – (общая или комбинированная);
– наименьший объект различия, мм;
– разряд зрительной работы;
– подразряд зрительной работы;
– контраст объекта с фоном;
– характеристику фона.
Расчёт общего равномерного искусственного освещения горизонтальной рабочей поверхности выполняется методом коэффициента использования светового потока по формуле:
где Ф – световой поток лампы, лм; Ен – нормированная освещённость; Kз – коэффициент запаса, учитывающий запыление светильников и износ источников света в процессе эксплуатации; S – площадь помещения, м2; Z – поправочный коэффициент, учитывающий неравномерность освещения, Z=1.1; N – количество светильников; n – количество ламп в светильнике; g – коэффициент затенения рабочего места работающим, g = 0.9; h н – коэффициент использования светового потока.
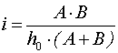
Коэффициент использования светового потока определяется в зависимости от типа светильника, коэффициентов отражения стен и потолка помещения и индекса помещения определяемого по формуле:
где А и В – длина и ширина помещения, м; h0 – высота подвеса светильников над рабочей поверхностью, м.
Пользуясь формулой (5.1), заранее задаются числом светильников и числом ламп в светильнике. Рассчитав расчётный световой поток Ф одной лампы, выбирают лампу соответствующей мощности, обладающую необходимым световым потоком и обеспечивающую нормативную освещённость. Однако люминесцентные лампы имеют довольно узкий диапазон мощностей и световых потоков. Поэтому, рассчитывая освещение таким образам, приходится делать несколько вариантов расчёта, пока не будет выполнено условие Фл
Ф10 - 20%. Поэтому при расчёте освещения легче заранее задаться типом, мощностью и световым потоком лампы и рассчитать необходимое число ламп. Такой приём расчёта целесообразнее. Формула примет вид:
При нахождении количества светильников по типу источника света, определяется световой поток лампы.
Для поверочного расчета местного освещения, а также для расчета освещенности конкретной точки наклонной поверхности при общем локализованном освещении, применяют точечный метод. В основу точечного метода положено уравнение:








