лекции (1233912), страница 21
Текст из файла (страница 21)
Для оценки технического состояния внутренних рабочих поверхностей деталей, расположенных в корпусах сборочных единиц, применяются методы эндоскопии с использованием гастроскопов, эндоскопов и фиброскопов волоконного и линзового типа.
Комплексная оценка работоспособности машин на строительной площадке осуществляется с помощью передвижной диагностической лаборатории ПЛ-2 с тормозной установкой мощностью 125 кВт. Эта лаборатория позволяет оценивать техническое состояние всех систем двигателя внутреннего сгорания, трансмиссии, движителя, системы управления и гидропривода. В ПЛ-2 применен комплекс полуавтоматической измерительной аппаратуры, позволяющей измерение и индикацию значений контролируемых параметров в цифровой форме и требуемой размерности.
Технология диагностирования.
Технология диагностирования машин предусматривает последовательность выполнения операций, место подсоединения диагностических средств, тип и модель диагностических средств, дополнительное оборудование и инструмент, квалификацию обслуживающего персонала. Основное содержание технологии определяется целью и задачами диагностирования.
При разработке технологии необходимо учитывать, что на трудоемкость и стоимость диагностирования значительное влияние оказывает последовательность выполняемых работ. При этом работы группируют по однотипности диагностических параметров, по необходимости выполнения одноименных работ при подготовительно-заключительных операциях. Все операции диагностирования группируют таким образом, чтобы обеспечить максимальную и равномерную загрузку всех участков диагностирования машины и сократить время нахождения ее в процессе диагностирования до минимума, при заданной вероятности возникновения отказов механизмов и систем.
Каждому виду технического обслуживания соответствует определенный вид диагностирования и, следовательно, определенный перечень и последовательность операций.
При составлении комплексной схемы маршрутной технологии диагностирования устанавливают перечень обязательных диагностических операций и последовательность проверки систем при выходе за допустимые пределы показателей общего технического состояния.
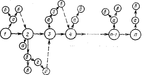
Упрощенная схема маршрутной технологии диагностирования машины с выявлением неисправностей различных систем представлена на рис. 1.
Рисунок 1. Схема технологии диагностирования
1, 2, … , n — обязательные диагностические операции; а, б, в — диагностические операции по потребности
Маршрутная технология диагностирования систем отражает все многообразие возможных состояний отдельных элементов и должна позволять при минимальных затратах труда отыскивать неисправности систем и механизмов. При составлении технологии диагностирования отдельных систем, саму систему (или механизм) расчленяют на сборочные единицы, устанавливают предельные значения структурных и диагностических параметров сборочных единиц, выявляют минимальный перечень диагностических параметров и в результате составляют маршрутную схему проверки системы или механизма.
При составлении технологии диагностирования систем и механизмов разделение их на сборочные единицы производят с учетом самостоятельного функционирования каждой части. При этом учитывают возможность быстрого восстановления работоспособности или замену неправильно функционирующей части механизма или системы.
Контрольные вопросы и задания
-
Приведите организационные принципы диагностирования ПТСДМ.
-
Какие достоинства и недостатки связаны с бортовой системой диагностирования?
-
Какую роль играют информационные технологии при организации диагностирования ПТСДМ и оборудования?
-
Какая информация заложена в технологическую пооперационную карту?
-
Расскажите об особенностях и функциональном назначении совмещенного диагностирования .
Лекция 9: ДИАГНОСТИРОВАНИЕ ТРАНСМИССИИ, КОЛЕСНОГО И ГУСЕНИЧНОГО ХОДА
Цель: Изучить диагностирование трансмиссии, колесного и гусеничного хода
План:
-
Диагностирование трансмиссии
-
Диагностирование колесного и гусеничного хода
1.ДИАГНОСТИРОВАНИЕ ТРАНСМИССИИ
Трансмиссия (от лат. transmissio — передача, переход) – это устройство для передачи механической энергии от двигателя к исполнительным органам машины, либо к другим рабочим машинам. Основными сборочными единицами трансмиссии СДМ являются: коробка отбора мощности, карданные передачи, сцепление, коробка передач, главная передача, колесная передача. Наибольшее распространение в сборочных единицах трансмиссии получили зубчатые, шлицевые, шпоночные, карданные и подшипниковые сопряжения. Износ их приводит к увеличению суммарных угловых зазоров в механизмах силовой передачи, повышению шума и вибраций, нарушению плавности в работе и изменению температуры.
Изменение суммарных угловых зазоров зависит от наработки. После периода приработки наблюдается незначительный рост суммарного углового зазора, но при определенной наработке наступает период прогрессирующего износа сопряжений, когда угловые зазоры механических передач увеличиваются в 6...15 раз.
Угловые зазоры (люфты) определяют приборами модели КИ-4832 и КИ-13909, размещая их на выходе (или на входе) механических передач при заторможенном входе (или выходе). Предельный суммарный угловой зазор φ трансмиссии СДМ зависит от количества сопряжений и равен 20...80 град.
Суммарный боковой зазор является интегральным показателем и не даст полного представления о техническом состоянии отдельных сборочных единиц и сопряжений. При отклонении суммарного бокового зазора от допустимых значений проводится диагностирование отдельных сборочных единиц.
Для каждого сопряжения определяют угловые зазоры в градусах (φ) по следующим формулам:
-
для эвольвентных сопряжений
-
для прямобочных сопряжений
Где K – коэффициент, учитывающий вид сопряжения, J – боковые зазоры, мм, m,z – модуль и число зубьев, D – наружный диаметр сопрягаемых деталей, мм.
В зависимости от значений боковых зазоров (номинальных, допустимых и предельных) по формулам представленным выше определяют соответствующие угловые зазоры (люфты).
Боковые зазоры для шлицевых соединений определяют по диаметру вала, зубчатых цилиндрических – по модулю и числу зубьев, а зубчатых конических – по модулю, числу зубьев, значениям межцентрового и среднего конусного расстояния.
Таблица 1 - Зависимость коэффициента К от вида сопряжения
| Вид сопряжения | K | Вид сопряжения | K |
| Эвольвентное: цилиндрическое и коническое червячное шлицевое | 122 114,6 132 | Прямобочное: шпоночное шлицевое и кулачное кулачково-дисковое и шарнирное | 95,5 114,6 305,6 |
Анализируя параметры, по которым оценивается техническое состояние сцепления, фрикционных муфт, зубчатых передач, подшипников трансмиссии, можно прийти к выводу, что все они так или иначе могут быть увязаны с изменением углового положения ведущего и ведомого валов трансмиссии. Следовательно, установив бесконтактные датчики углового положения звеньев на входе и выходе трансмиссии и отслеживая относительные угловые перемещения валов, можно получить информацию для диагностирования. При таком подходе алгоритм диагностирования состояния зубчатых зацеплений должен включать анализ шага зацепления на циклических составляющих частоты шестерни ведомого вала относительно высокочастотного опорного сигнала, снимаемого с зубчатого венца шестерни, связанной с ведущим валом, как показано на рис. 1. Изнашивание поверхностей зубчатых зацеплений и шлицевых соединений увеличивает суммарный угловой зазор S, который может быть определен на переходных режимах двигателя с помощью базового и рабочих датчиков.
Рис 1 Схема измерения углового зазора
1-ведущая шестерня, 2-выходная шестерня, 3-маховик, 4-датчик опорного сигнала, 5-датчик выходного сигнала, 6-высокочастотный опорный сигнал,7-сигнал зубцовой частоты выходного вала, 8-блок преобразования аналогового сигнала, 9-блок обработки поступающей информации,
10-блок регистрации данных.
В качестве базового датчика может использоваться индуктивный датчик, установленный на кожухе маховика над зубьями его венца. Рабочие датчики размещаются над зубчатым венцом шестерни или колеся выходного вала сборочной единицы трансмиссии. Алгоритм определения суммарного углового зазора в трансмиссии, характеризующий боковой износ зубьев, предполагает анализ шага зацепления выходной шестерни при подаче на вход трансмиссии тестового воздействия, направленного на выбор углового зазора, например разгон и торможение двигателем. Изменение шага зацепления при установившемся режиме движения будет указывать на наличие единичных дефектов зубьев шестерен. По периоду повторного появления дефекта легко установить принадлежность его тому или иному зубчатому колесу, поскольку период обращения у каждого зубчатого колеса свой.
Таким образом, для диагностирования трансмиссий мобильных машин достаточно оснастить их как минимум двумя датчиками зубцовой частоты ведущей и ведомой шестерни трансмиссии. Для сложной трансмиссии, имеющей основную, дополнительную, раздаточную коробки, коробку отбора мощности и других сборочных единиц количество датчиков может быть значительно больше.
Работоспособность сцепления оценивается по разнице частоты вращения ведущих и ведомых дисков, которая определяется по базовому и одному рабочему датчику. Предельный износ рабочих поверхностей дисков сцепления приводит к их пробуксовке, которая возрастает с увеличением нагрузки на движитель. Анализируя шаг зацепления ведомой шестерни относительно ведущей, легко определить, имеется ли пробуксовка сцепления при передаче больших крутящих моментов, а также оценить наличие остаточного момента трения в выключенном сцеплении, ухудшающего процесс переключения ступеней в коробке передач. Аналогично можно провести оценку работоспособности фрикционов и тормозов планетарных редукторов машин с гусеничным движителем.
Информативность диагностического сигнала позволяет при соответствующем алгоритме обработки с высокой точностью и минимальными затратами установить техническое состояние основных элементов трансмиссий мобильных машин, определить остаточный ресурс и назначить сроки ремонтов, что существенно снизит эксплуатационные затраты.
Данная методика диагностирования трансмиссии проверена в лаборатории Белорусско-Российского университета на стенде с параллельной оценкой результатов инструментальным методом. Для диагностики зубчатых зацеплений разработан комплекс, позволяющий на переходных режимах работы двигателя определить суммарный зазор в трансмиссии, а также состояние сцепления и развиваемую мощность двигателя.
Результаты испытаний на стенде по одной из передач приведены на рис. 2. Тестовое воздействие на трансмиссию представляет собой резкое уменьшение подачи топлива после выхода двигателя в установившийся режим, т.е. проводилось торможение двигателем, во время которого за счет сил инерции выбирались зазоры одного направления, а затем осуществлялось резкое увеличение подачи топлива, т.е. разгон двигателя с целью выбора зазоров противоположного направления. Запись велась на протяжении всего переходного процесса. Как видно из рисунка, количество опорных импульсов в одном периоде зубцовой частоты выходного сигнала в установившемся режиме с замкнутым зазором составляет 24 импульса. При торможении двигателем, когда выбираются зазоры одного направления, количество опорных импульсов уменьшилось до 16, поскольку выходная шестерня начала обгонять маховик, а при разгоне — увеличилось на ту же величину, т.е. до 32 импульсов. В пересчете с контролируемого параметра на суммарный угловой зазор, зафиксированный с помощью люфтометра КИ-13909, разница полученных результатов не превышает 10 %.
Рис 2 Результаты испытаний трансмиссии на стенде
Для определения работоспособности сборочных единиц применяют и другие параметры: кинематическую неравномерность; интенсивность изменения температуры при постоянном нагрузочном и скоростном режимах; виброакустические сигналы, генерируемые сборочной единицей в процессе работы.















