Определение коэффициента теплообмена (1160044), страница 2
Текст из файла (страница 2)
Массовый расход теплоносителя, J = 110 мл/сек
Длина теплообменика, L = 132 см
Диаметр теплообменик, d= 0.8 см
Объем холодной воды: 0,013 м3, М2 = 13 кг.
Объем горячей воды: 0,012 м3, М1 = 12 кг.
Рис.2. График зависимости ?2 от ?1 .
?1 + ?*?2 = 1
| ?2=0,8846-0,8586* ?1 | ||||
| ?1=1-?* ?2 | ?= | 1,165 | ||
| ?2=1/? - ?1/? | ||||
| По формуле | ?=c2M2/C1M1= | 1,083 | ||
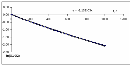
Рис.3. График зависимости ln(?1 – ?2) от времени t .
| Определение ? | |||||||||||||||||||||||||||||||||||||||||||||||
| ln(?1- ?2) = t(1+ ?)*(cg*Jg/c2M2)*(1-e-N) 2,13*10-3 = (1+ ?)*(cg*Jg/c2M2)*(1-e-N) | |||||||||||||||||||||||||||||||||||||||||||||||
| ? = | 1,165 | r= | 0,004 | м | |||||||||||||||||||||||||||||||||||||||||||
| cg=c2= | 1 | ккал/кг | L= | 1,32 | м | ||||||||||||||||||||||||||||||||||||||||||
V= | 110 | мл/с | |||||||||||||||||||||||||||||||||||||||||||||
| Jg= | 0,11 | кг/с | |||||||||||||||||||||||||||||||||||||||||||||
М2= | 13 | Кг | |||||||||||||||||||||||||||||||||||||||||||||
| 2,13*10-3 | = | 0,0183192 | *(1-e-N) | N= | 2пr?L/c1Jg | ||||||||||||||||||||||||||||||||||||||||||
| (1-e-N) | = | 0,116 | ?= | Nc1Jg/2пrL | |||||||||||||||||||||||||||||||||||||||||||
| e-N | = | 0,884 | ?= | 0,410 | ккал/м2*с*град. | ||||||||||||||||||||||||||||||||||||||||||
| N | = | 0,1236 | ?= | 1476,2 | ккал/м2*час*град. | ||||||||||||||||||||||||||||||||||||||||||
| Табл. 2. Физические параметры для оценки эффективного коэффициента теплообмена a. | |||||||||||||||||||||||||||||||||||||||||||||||
Теплоемкостьс, кал/г*град. | Кин.вяз., m, м2/с | Тепрлопроводность ?, ккал/м*час*град. | Число Прандтля, Pr | ||||||||||||||||||||||||||||||||||||||||||||
| Внутр. задача | 1 | 4,00*10-7 | 0,53 | 5,4 | |||||||||||||||||||||||||||||||||||||||||||
| Внешн. задача | 1 | 8,00*10-7 | 0,57 | 2,5 | |||||||||||||||||||||||||||||||||||||||||||
| Внутренняя задача | |||||||||||||||||||||||||||||||||||||||||||||||
| число Рейнольдса: | |||||||||||||||||||||||||||||||||||||||||||||||
| Re= | V*d*p/m | d= | 0,008 | М | |||||||||||||||||||||||||||||||||||||||||||
| Re= | 44000 | J= | 0,11 | м3/c | |||||||||||||||||||||||||||||||||||||||||||
| Vлин= | J/[?(d/2)2] | p= | 1,0 | кг/м3 | |||||||||||||||||||||||||||||||||||||||||||
| Vлин= | 220 | см/с | |||||||||||||||||||||||||||||||||||||||||||||
| число Нуссельта: | |||||||||||||||||||||||||||||||||||||||||||||||
| Nu= | 0,03*Re0,8*Pr0,43 | ||||||||||||||||||||||||||||||||||||||||||||||
| Nu= | 320 | ||||||||||||||||||||||||||||||||||||||||||||||
| ?= | Nu*?/d | ?1= | 2120 | ||||||||||||||||||||||||||||||||||||||||||||
| Внешняя задача | |||||||||||||||||||||||||||||||||||||||||||||||
| Re= | V*d*p/m | d= | 0,235 | м | |||||||||||||||||||||||||||||||||||||||||||
| Re= | 22000 | J= | 0,11 | м3/c | |||||||||||||||||||||||||||||||||||||||||||
| d= | 0,0131/3 | p= | 1,0 | кг/м3 | |||||||||||||||||||||||||||||||||||||||||||
| Vлин= | J/[?(d/2)2] | Vлин= | 7,333 | см/с | |||||||||||||||||||||||||||||||||||||||||||
| Nu= | 0,9*Re0,62*Pr0,33 | ||||||||||||||||||||||||||||||||||||||||||||||
| Nu= | 601 | ||||||||||||||||||||||||||||||||||||||||||||||
| ?= | Nu*?/d | ?2= | 1457 | ||||||||||||||||||||||||||||||||||||||||||||
| 1/?= | 1/?1 + 1/?2 | ||||||||||||||||||||||||||||||||||||||||||||||
| ?= | 1/(1/?1 + 1/?2) | ||||||||||||||||||||||||||||||||||||||||||||||
| ?= | 864 | ккал/м2*час*град. | |||||||||||||||||||||||||||||||||||||||||||||
Выводы: 1) Экспериментально определено число единиц переноса N = 0,1236
и коэффициент теплообмена a = 1476,2 ккал/м2*час*град.
2) Произведен расчет коэффициента теплообмена a = 276,9 ккал/м2*час*град.
















