Сводка определений и основных фактов (1157988), страница 5
Текст из файла (страница 5)
(т.е. любой правильный ответ является частным случаем некоторого вычисленного ответа).
Машина Тьюринга:
Определение. Ленточный алфавит

Определение. Алфавит состояний - это множество состояний, причем состояние называется заключительным, а состояние - начальным.

О
п
р
е
д
е
л
е
н
и
е
.
Л
е
н
т
о
ч
н
а
я
к
о
н
ф
и
г
у
р
а
ц
и
я
–
э
т
о
т
р
о
й
к
а
, где - ленточное слово, которое является содержимым ленты слева от обозреваемой ячейки, - текущее состояние машины Тьюринга, - слово, состоящее из самой ячейки и содержимого ленты справа от нее.
Определение. Команда машины Тьюринга – это пятерка

Определение. Машиной Тьюринга называется тройка

Определение. Отношением непосредственного перехода называется отношение

- состояния машины Тьюринга. Обозначим
транзитивное замыкание отношения непосредственного перехода.
Для каждой машины Тьюринга определим функцию , причем если

- заключительная конфигурация, и
Тезис Чёрча: Для любой функции

для некоторой машины Тьюринга.
Введем дополнительные обозначения: nil – 0-местный функциональный символ (константа), • - 2-местный функциональный символ, и введем отображение множества машин Тьюринга на множество логических программ:

Теорема. Пусто Т – машина Тьюринга,

существует заключительная конфигурация
, тогда и только тогда, когда запрос имеет успешное SLD-резолютивное вычисление с ответом
Теорема (Чёрча; о неразрешимости проблемы общезначимости для классической логики предикатов): Не существует алгоритма, который для любой формулы

общезначима, и 0 в противном случае.
Определение. Правилом выбора подцелей называется отображение

Определение. SLD-резолютивное вычисление называется R-вычислением, если на каждом шаге вычисления очередная подцель выбирается по правилу R.
О
п
р
е
д
е
л
е
н
и
е
.
В
ы
ч
и
с
л
е
н
н
ы
й
о
т
в
е
т
,
п
о
л
у
ч
е
н
н
ы
й
в
р
е
з
у
л
ь
т
а
т
е
R-
в
ы
ч
и
с
л
е
н
и
я
н
а
з
ы
в
а
е
т
с
я
R-
в
ы
ч
и
с
л
е
н
н
ы
м
о
т
в
е
т
о
м
.
Лемма (переключательная): Пусть Р – хорновская логическая программа, - запрос к ней, пусть также имеется SLD-резолютивное вычисление

, причем и - этапы SLD-резолютивного вычисления, на которых i-ая подцель была раскрыта по правилу и соответственно. Тогда существует SLD-резолютивное вычисление
, такое, что на этапе раскрытие происходило по правилу , а на этапе - по правилу , при этом для вычисленных ответов
существуют конечные подстановки
Теорема: Пусть Р – хорновская логическая программа, G – запрос к ней, R и R' – различные правила выбора. Тогда если

для некоторых конечных перестановок (переименований)
Теорема (сильной полноты): Пусть G – запрос к хорновской логической программе Р, R – правило выбора,

- конечная подстановка (переименование).
Определение. Пусть G – запрос к хорновской логической программе Р, в которой все программные утверждения упорядочены. Тогда деревом SLD-резолютивных вычислений запроса G к Р называется корневое упорядоченное (т.е. выходящие из любого узла дуги пронумерованы) дерево, обладающее следующими свойствами:
1) каждой вершине приписан запрос;
2) корню дерева приписан запрос G;
3) из каждой вершины, помеченной запросом , исходят дуги, помеченные натуральными числами , где N – количество программных утверждений в Р, и идущие в вершины, помеченные в том и только в том случае, когда запрос получен из запроса G путем применения программного утверждения и при этом других SLD-резольвент, инцидентных , нет.

Таким образом, каждая ветвь такого дерева будет соответствовать вычислению ответа на запрос G к логической программе Р.
Определение. Стратегией вычисления называется стратегия обхода дерева SLD-резолютивных вычислений:
• стратегия обхода в ширину: поярусное построение дерева. Как только в одной из ветвей обнаруживается , то ответ вычисляется путем «сбора» всех подстановок на данной ветви;
• стратегия обхода в глубину с возвратом – построение дерева по ветвям (на каждом этапе выбирается самая левая из непройденных ветвей)
Определение. Стратегия вычисления (обхода дерева SLD-резолютивных вычислений) называется полной, если для любого запроса G к логической программе Р все вычисленные ответы будут построены.
Т
е
о
р
е
м
а
.
С
т
р
а
т
е
г
и
я
о
б
х
о
д
а
в
ш
и
р
и
н
у
–
п
о
л
н
а
я
,
с
т
р
а
т
е
г
и
я
о
б
х
о
д
а
в
г
л
у
б
и
н
у
с
в
о
з
в
р
а
т
о
м
–
н
е
п
о
л
н
а
я
.
Определение. Оператор отсечения (саt) – это 0-местный предикат со следующей операционной семантикой:
Пусть в логической программе Р имеется программной утверждение

, G - запрос к этой программе. Строим дерево SLD-резолютивных вычислений.
- это парная метка, которая означает, омента ее появления интересует только одна альтернатива. Соответственно, после второго появления * ветвление снова разрешается.
Откат при этом производится в вершину, предшествующую первому появлению *.
Теорема полноты для SLD-резолютивного вычисления с операцией отсечения не выполняется.
Определение. Оператор отрицания (not) – это оператор логического программирования со следующей операционной семантикой:
Пусть Р – логическая программа, а G – запрос вида not(A). Тогда реакция интерпретатора на данный запрос будет следующей:
1) если существует успешное SLD-резолютивное вычисление на запрос , то результатом вычисления будет fail;

2) если SLD-резолютивное дерево вычислений для запроса представляет собой конечное число неудачных ветвей, то запрос G имеет успешное вычисление;

3) если интерпретатору не удалось обойти все ветви дерева за конечное число шагов (т.е. если в SLD-резолютивном дереве вычислений для запроса присутствует хотя бы одна бесконечная ветвь, а остальные неудачны), то ответом на запрос G будет

Таким образом, оператор not работает на основе «почти трехзначной» логики, что дает эффект немонотонности вывода.
4. Обзор разделов математической логики
4.1. Исчисление предикатов и элементарная теория
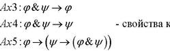
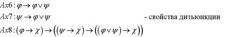
Исчисление предикатов состоит из системы аксиом и правил вывода. Существует много разных систем аксиом.
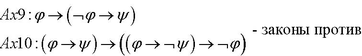
Система аксиом:

Правила вывода:
1.

2.

Определение. Логическим выводом в исчислении предикатов из множества формул Г называется конечная последовательность формул

- либо

- либо

- либо

Логический вывод – формализация понятия математического доказательства.
Последняя формула
