Автореферат (1151768), страница 3
Текст из файла (страница 3)
На магистральном канале были намечены посты, на которых был произведен забор проб поверхностного стока. Исследования включали в себя замер скорости потока в магистральном канале с помощью прибора «Nautilus С2000» и отбор проб на анализ химического состава воды в одиннадцати контрольных точках (гидрометрические посты 0-10) с промежуточными расстояниями 20 м. Точечным источником загрязнения является устье дренажной трубы, совмещенное с головным (нулевым) створом. Химический анализ проб воды выполнялся лабораторией Мещерского филиала ВНИИГиМ. Лабораторные исследования включали определение азотных соединений в водах магистрального канала (ГОСТ 18826-73). Данные анализа были получены в табличной форме, с указанием ПДК по каждому идентифицируемому веществу и представлены в табл. 1. Значения ПДК: NH4+ - 0,5 мг/л; NO2- - 0,08 мг/л; NO3- – 40 мг/л.
Табл. 1. Данные анализа воды в магистральном канале.
| Показатели, мг/л | № гидрометрического поста / Точки отбора, м | ||||||||||
| 0 | 1 | 2 | 3 | 4 | 5 | 6 | 7 | 8 | 9 | 10 | |
| 0 | 20 | 40 | 60 | 80 | 100 | 120 | 140 | 160 | 180 | 200 | |
| NH4+ | 0,65 | 0,58 | 0,52 | 0,46 | 0,42 | 0,37 | 0,33 | 0,3 | 0,26 | 0,24 | 0,21 |
| NO3- | 4,21 | 3,76 | 3,35 | 2,96 | 2,61 | 2,36 | 2,15 | 1,91 | 1,71 | 1,49 | 1,33 |
| NO2- | 0,05 | 0,05 | 0,05 | 0,05 | 0,05 | 0,05 | 0,05 | 0,05 | 0,05 | 0,05 | 0,05 |
| рН | 7,24 | 7,23 | 7,24 | 7,23 | 7,23 | 7,23 | 7,24 | 7,23 | 7,23 | 7,24 | 7,23 |
Рис.1. Графики распространения концентраций NH4+ и NO3- в магистральном канале (данные натурного эксперимента).
Полученные результаты натурных наблюдений стали основой для построения математической модели с целью проведения численных экспериментов и более детального изучения особенностей гидрохимических процессов.
В четвертой главе приведены результаты решения задач распространения загрязняющих веществ в канале при помощи разработанного математического аппарата и в программном комплексе MIKE 11, в котором уравнение КДП решается численно на основе предварительно построенной гидродинамической модели магистрального канала для проведения сравнительного анализа.
Решение уравнений КДП загрязняющих веществ в магистральном канале.
Для применения полученного аналитического решения одномерного уравнения конвективно-диффузионного переноса целесообразно использование математических компьютерных программ, облегчающих процесс получения численных результатов. Численные параметры, необходимые для расчета были взяты из экспериментальных данных. Подставив значения параметров (скорость потока, начальная концентрация и др.) в уравнение (3), получим следующие результаты.
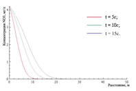
Рис.2. Графики распространения концентрации NO3- в канале при нестационарном загрязнении; U=0,88м/с, С0=4,21мг/л, K1=0,005c-1 при различных t.
Рис.3. Графики распространения концентрации NH4+ в канале при нестационарном загрязнении; U=0,88м/с, С0=0,65мг/л, K1=0,008c-1 при различных t.
Проверка адекватности полученного аналитического решения производилась путем сравнения результатов аналитического решения с результатами расчета в MIKE 11 Датского Гидравлического института и с результатами натурного эксперимента.
Рис.4. Распространение NO3 в канале через различные интервалы времени при расчете в среде MIKE 11.
На графике 1 t=5c (через 5 секунд после начала выброса). График 2 t=10c, график 3 t=60c. На графике 4 t=90c (через 90 секунд после начала выброса). График 5 t=180c, график 6 t=300c. На оси абсцисс отмечаются расстояния от точки выброса. На оси ординат отмечается концентрация загрязняющего вещества и уклон канала.
Рис.5. Распространение NH4+ в канале через различные интервалы времени при расчете в среде MIKE 11.
На графике 1` t=5c (через 5 секунд после начала выброса). График 2` t=10c, график 3` t=60c. На графике 4` t=90c. График 5` t=180c, график 6` t=300c. На оси абсцисс отмечаются расстояния от точки выброса. На оси ординат отмечается концентрация загрязняющего вещества и уклон канала.
Так как распределение значений аргумента равномерно для всех графиков, за степень близости аналитического решения, решения полученного в MIKE 11 и данных натурного эксперимента принимается среднеквадратичное отклонение, определяемое по формуле:
где σ – среднеквадратичное отклонение графиков;
Рассмотрим координаты построенных графиков.
Рис.6. Сравнение графиков распространения примеси при установившемся движении аналитического решения, решения полученного в MIKE 11 и данных натурного эксперимента для NO3- и NH4+.
Статистическая обработка результатов расчета по NO3-/NH4+ на модели показала, что модельное и измеренное среднеквадратичное отклонение равно σ=0,13% / σ=0,98%, а результаты расчета в MIKE 11 и измеренное среднеквадратичное отклонение равно σ=2,48% / σ=1,54%.
Выполненные качественные и количественные оценки результатов моделирования распространения примеси в магистральном канале позволяют сделать вывод о том, что построенная модель, в целом, может использоваться для решения задач, связанных с анализом и прогнозом распространения ЗВ.
Расчет диффузного стока в магистральном канале.
Для того, чтобы установить зависимости коэффициента скорости распада и модуля диффузного стока, с помощью программы, реализованной на языке Q-Basic, были проведены расчеты, процесс описывается уравнением (4), формулы (15), (16) восстанавливают значения
и
(Таблица 2).
В качестве исходных данных по концентрациям ЗВ возьмем результаты расчета по формуле (8) для 11 створов, находящихся на расстоянии 20 метров друг от друга – как в исследуемом участке магистрального канала. При этом значения гидравлических характеристик (Q и U) также реальные, однако значения
,
и С0 - произвольные. В этом случае результаты расчета «восстановленных» с помощью формул (15), (16) величин
,
по тройкам соседних створов
должны быть тождественны значениям
и
, использованным при расчете «входных» концентраций ЗВ по формуле (8). Причем это тождество должно выполняться при любом
.
При известных трудностях определения коэффициента скорости распада ЗВ, уравнения дают возможность нахождения истинного значения К1.
Табл.2. Значения диффузного стока при различных значениях коэффициента скорости распада ЗВ.
| K1 | w1 | w2 | w3 | w4 | w5 | w6 | w7 | w8 | w9 | w10 |
| 1 | -3.42 | -2.94 | -2.94 | -1.95 | -2.45 | -1.96 | -1.46 | -1.97 | -0.97 | -1.47 |
| 5 | -3.14 | -2.68 | -2.72 | -1.74 | -2.27 | -1.80 | -1.32 | -1.84 | -0.86 | -1.37 |
| 10 | -2.79 | -2.36 | -2.43 | -1.49 | -2.04 | -1.59 | -1.14 | -1.68 | -0.71 | -1.24 |
| 15 | -2.43 | -2.04 | -2.15 | -1.24 | -1.81 | -1.39 | -0.95 | -1.51 | -0.57 | -1.11 |
| 20 | -2.08 | -1.73 | -1.87 | -0.98 | -1.59 | -1.19 | -0.77 | -1.35 | -0.42 | -0.98 |
| 25 | -1.72 | -1.41 | -1.58 | -0.73 | -1.36 | -0.99 | -0.59 | -1.19 | -0.28 | -0.85 |
| 30 | -1.37 | -1.09 | -1.30 | -0.47 | -1.13 | -0.79 | -0.41 | -1.03 | -0.13 | -0.72 |
| 35 | -1.01 | -0.77 | -1.02 | -0.22 | -0.90 | -0.58 | -0.22 | -0.87 | 0.01 | -0.59 |
| 40 | -0.66 | -0.46 | -0.73 | 0.04 | -0.67 | -0.38 | -0.04 | -0.70 | 0.16 | -0.46 |
| 50 | 0.06 | 0.18 | -0.17 | 0.54 | -0.22 | 0.023 | 0.321 | -0.38 | 0.45 | -0.20 |
| 60 | 0.76 | 0.82 | 0.40 | 1.05 | 0.24 | 0.43 | 0.68 | -0.06 | 0.74 | 0.06 |
Предложенный алгоритм расчета позволяет выбрать наилучший вариант отношения коэффициента скорости распада ЗВ и диффузного стока, для теоретического и практического применения при расчете распространения примеси в водотоке.
















