Сорбция азопроизводных фенолкарбоновых кислот из щелочных растворов на пенополиуретане (1113609), страница 3
Текст из файла (страница 3)
Таблица 2. Значения степеней извлечения и коэффициентов распределения азопроизводных фенолкарбоновых кислот
СНФД=5·10-4М, СNa2CO3 = 0.2M, V = 25 мл, mППУ ~ 0.03г, n=3
| Кислота | R, % | lgD |
Салициловая | 63±1 | 3,12±0,02 |
| -Резорциловая | 26±2 | 2,45±0,06 |
Протокатеховая | 33±5 | 2,6±0,1 |
| Ванилиновая | 52±9 | 2,9±0,3 |
| Сиреневая | 34±1 | 2,60±0,02 |
| о-Кумаровая | 94±6 | 3,9±0,3 |
| Кофейная | 20±5 | 2,3±0,1 |
| Феруловая | 39±6 | 2,7±0,1 |
Кислоты в порядке возрастания R, %:
О-кумаровая > Салициловая > Ванилиновая > Феруловая > Сиреневая > Протокатеховая > -Резорциловая > Кофейная
2.2.2 Спектральные характеристики сорбатов
В спектроскопии диффузного отражения измеряют количество света, отраженного от поверхности образца: R = I/I0, где R – диффузное отражение, I0 – интенсивность падающего на образец света, I – интенсивность света, отраженного образцом. Уравнение Гуревича-Кубелки-Мунка (1) связывает величину R с оптическими характеристиками образца: молярным коэффициентом поглощения сорбата ; его концентрацией с и коэффициентом рассеивания света s. Процедура построения спектра диффузного отражения сводится к измерению зависимости диффузного отражения R от длины волны и вычислению функции Гуревича-Кубелки-Мунка при каждой длине волны. Из выражения для функции ГКМ F = 2,3 c/s следует, что F линейно связана с концентрацией сорбата, а зависимость F = f() совпадает со спектром поглощения растворов сорбированного соединения. Для пенополиуретанов ранее отработаны методические вопросы количественных измерений диффузного отражения образцов, позволяющие получить правильные и воспроизводимые результаты [12].
В настоящем разделе изучена возможность применения спектроскопии диффузного отражения для оценки состояния азопроизводных фенолкарбоновых кислот в фазе ППУ. Рассмотрено влияние на спектры: 1) концентрации и природы противоиона в ионных ассоциатах и проведено сравнение со спектрами поглощения водных растворов; 2) содержания фенолкарбоновых кислот в фазе сорбента.
В водном растворе азопроизводные фенолкарбоновых кислот окрашены в красно-оранжевый цвет. На рис. 1 и на рис. 2 приведены спектры поглощения водных растворов 4-нитрофенилазопроизводных фенолкарбоновых кислот в отсутствии и присутствии ЦТМА.
Рис. 1 Спектры поглощения и диффузного отражения азопроизводных салициловой (а), протокатеховой (б), β-резоциловой (в), ванилиновой (г), сиреневой (д) кислот, сорбированных на пенополиуретане 5-30 из 0,2М Na2CО3 в отсутствие (1) и присутствии ЦТМА (2).
Ск-т(а-д) = 1·10-5М, t=30 мин, СНФД=5·10-4М, СNa2CO3 = 0.2M, СЦТМАBr=2.5·10-4M
Рис. 1 Спектры поглощения и диффузного отражения азопроизводных салициловой (а), протокатеховой (б), β-резоциловой (в), ванилиновой (г), сиреневой (д) кислот, сорбированных на пенополиуретане 5-30 из 0,2М Na2CО3 в отсутствие (1) и присутствии ЦТМА (2).
Ск-т(а-д) = 1·10-5М, t=30 мин, СНФД=5·10-4М, СNa2CO3 = 0.2M, СЦТМАBr=2.5·10-4M
Рис. 2 Спектры поглощения и диффузного отражения азопроизводных кофейной (е),
о-кумаровой (ж) и феруловой (з) кислот сорбированных на пенополиуретане 5-30 из 0,2М Na2CO3 в отсутствие (1) и присутствии ЦТМА (2).
Ск-т(е-з) = 1·10-5 – 1·10-6М, t=30 мин, СНФД=5·10-4М, СNa2CO3 = 0.2M, СЦТМАBr=2.5·10-4M
Спектры диффузного отражения 4‑нитрофенилазопроизводных фенолкарбоновых кислот в присутствии ЦТМА ряда одинаковы по форме и положению максимума 480 - 530 нм (в зависимости от кислоты), но различаются по амплитуде, что связано, прежде всего, с различной сорбируемостью фенолкарбоновых кислот в присутствии изученных катионных поверхностно-активных веществ (рис. 1 и рис. 2). Следует отметить, что нормированные спектры диффузного отражения 4‑нитрофенилазопроизводных фенолкарбоновых кислот совпадают между собой независимо от условий проведения сорбции и природы катиона-партнера в водном растворе.
В спектрах диффузного отражения фенолкарбоновых кислот наблюдаются батохромные и гипсохромные сдвиги по сравнению со спектрами поглощения водных растворов (табл.3).
Таблица 3. Максимумы поглощения и диффузного отражения азопроизводных фенолкарбоновых кислот сорбированных на пенополиуретане 5-30 из 0,2М Na2CO3
Ск-т = 10-5М, t=30 мин, СНФД=5·10-4М, СNa2CO3 = 0,2M
| Кислота | 1 | 2 | = 2 - 1 |
Салициловая | 410 | 400 | -10 |
| -Резорциловая | 450 | 460 | 10 |
| Протокатеховая | 410 | 400 | -10 |
| Ванилиновая | 510 | 540 | 30 |
| Сиреневая | 410 | 420 | 10 |
| о-Кумаровая | 510 | 600 | 90 |
| Кофейная | 410 | 400 | -10 |
| Феруловая | 420 | 400 | -20 |
1 - максимум поглощения водного раствора
2 – максимум диффузного отражения
2 - 1
2.2.3 Влияние концентрации кислоты
На примере салициловой, ванилиновой, сиреневой и феруловой кислот изучено влияние концентрации кислоты на форму спектра (рис 3). Видно, что с изменением концентрации фенолкарбоновых кислот от 10-5 до 6·10-5М положение максимума полосы спектров диффузного отражения не изменяется, а амплитуда возрастает пропорционально содержанию фенолкарбоновых кислот в водном растворе, что может быть использовано для разработки сорбционно-фотометрических методик определения фенолкарбоновых кислот в водном растворе.
2.2.4 Применение ППУ для сорбционно-фотометрического определения фенолкарбоновых кислот
В сосуды с притертыми пробками вносили от 5 до 100 мкг фенолкарбоновых кислот, добавляли последовательно 1,5 мл свежеприготовленного 0,008 М раствора НФД и 5 мл 1 М раствора Na2CO3, воду до общего объема 25 мл. В каждый сосуд помещали по одной таблетке ППУ, прожимали её стеклянной палочкой для удаления пузырьков воздуха и встряхивали на вибросмесителе сосуд в течение 30 мин. Таблетку вынимали, высушивали фильтровальной бумагой и измеряли диффузное отражение. Градуировочный график строили в координатах dF – c, мкг/мл (рис. 4). В табл. 4 приведены метрологические характеристики разработанной методики.
Рис. 3 Спектры диффузного отражения азопроизводных салициловой (а), ванилиновой (б), сиреневой (в) и феруловой (г) кислот, сорбированных на пенополиуретане при концентрациях кислот 1·10-5М (1), 2·10-5М (2), 3,5·10-5М (3), 5·10-5М (4), 6·10-5М (5).
СНФД=5·10-4М, СNa2CO3 = 0.2M, t= 30 мин, mППУ~0,03 г
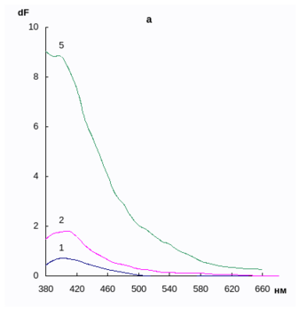
Рис. 4 Зависимость функции Кубелки-Мунка от концентрации азопроизводных салициловой (1), -резорциловой (2), сиреневой (3), протокатеховой (4), ванилиновой (5), кофейной (6), феруловой (7) и о-кумаровой (8) кислот, сорбированных на пенополиуретане.
t=30 мин, СНФД=5·10-4М, СNa2CO3 = 0.2M, V = 25 мл, mППУ ~ 0.03г
Таблица 4. Метрологические характеристики определения фенолкарбоновых кислот
СНФД=5·10-4М, СNa2CO3 = 0.2M, V = 25 мл, mППУ ~ 0.03г
| Кислота | Диапазон линейности градуировочного графика, мкг/мл | Предел обнаружения, мкг/мл |
Салициловая | 3 – 10 | 1 |
| -Резорциловая | 0,8 – 4 | 0,3 |
Протокатеховая | 0,3 – 3 | 0,1 |
Ванилиновая | 0,4 – 4 | 0,1 |
Сиреневая | 0,4 – 4 | 0,1 |
| о-Кумаровая | 0,1 – 3 | 0,03 |
Кофейная | 0,1 – 3 | 0,04 |
Феруловая | 0,1 – 2 | 0,04 |
3. Выводы
-
Собрана и проанализирована литература по сорбции азопроизводных фенолкарбоновых кислот на ППУ.
-
Изучена сорбция 4-нитрофенилазопроизводных фенолкарбоновых кислот в зависимости от природы и концентрации последних.
-
Получены спектральные характеристики 4-нитрофенилазопроизводных фенолкарбоновых кислот в водном растворе и в фазе ППУ.
-
Разработаны сорбционно-фотометрические методики определения фенолкарбоновых кислот в виде 4-нитрофенилазопроизводных, основанные на переведении фенолкарбоновых кислот в окрашенные азопроизводные, сорбции последних на ППУ и измерении функции Кубелки-Мунка.
4. Список литературы
-
Werbowesky R., Chow A. Talanta, 43, 263 (1996)
-
Дмитриенко C.Г., Золотов Ю.А. Успехи химии, 71, 189 (2002)
-
Gesser H.D., Chow A., Davis F.C. Anal. Lett., 4, 883 (1971)
-
Schumack L., Chow A. Talanta, 34, 957 (1987)
-
Dmitrienko S.G., Pyatkova L.N., Myshak E.N., Runov V.K. Mendeleev Commun., 137 (1996)
-
Дмитриенко C.Г., Пяткова Л.Н., Малиновская Н.В., Рунов В.К. Журн. физ. химии, 71, 709 (1997)
-
Dmitrienko S.G., Myshak E.N., Runov V.K., Zolotov Yu.A. Chem. Anal., 40, 291 (1995)
-
Dmitrienko S.G., Gurariy E.Ya., Nosov R.E., Zolotov Yu.A. Anal. Lett., 34, 425 (2001)
-
Dmitrienko S.G., Myshak E.N., Pyatkova L.N. Talanta, 49, 309 (1999)
-
Дмитриенко C.Г. Дис. д-ра хим. наук. МГУ, Москва, (2001)
-
Коренман И.М. Фотометрический анализ. Методы определения органических соединений. М.: Химия, 1970. 339 с
-
Дмитриенко С.Г., Логинова Е.В., Косырева О.А., Гурарий Е.Я., Колядкина И.Л., Рунов В.К. Вестн. Моск. университета. Сер. 2. Химия. 37. № 4. с. 367-376, (1996)
-
Демьянов П.И. Журн. аналит. химии.,47. № 12, с.1942, (1992)
-
Цоллингер Г. Химия азокрасителей. / Под ред. Порай-Кошица Б.А. Л.: Госхимиздат. 1960. 363 с
-
Вейганд-Хильгетаг. Методы эксперимента в органической химии. / Под ред. Суворова Н.Н. М.: Химия, 1968. 944 с
-
Dmitrienko S.G., Medvedeva O.M., Ivanov A.A., Shpigun O.A., ZolotovYu.A. Anal. Chim. Acta,. V. 469. P. 295 – 301, (2002)
14
















