Готовая версия ДНК (1113530), страница 4
Текст из файла (страница 4)
Модели изгиба ДНК
Цепь, похожая на червя (WLC) в физике полимеров используется для описания поведения полугибких полимеров.
WLC модель предполагает изотропный стержн, который является гибким; в отличие от модели свободная цепь, которая является гибкой только между дискретными сегментами. Червь-как цепь модели особенно подходит для описания жестких полимеров, с новыми сегментами отображения рода корпоративного эффекта. При комнатной температуре, полимер принимает конформационное множество, который плавно начинает сгибаться; при T = 0 K, полимер принимает жесткий стержень конформации.
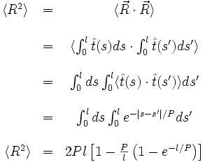
Для полимерной длины l, параметр полимера
, позволяет
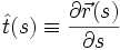
быть касательной к s, и
вектор позиции вдоль цепи. Тогда
и в конечном расстоянии
.
Это может быть доказано, что ориентация корреляционной функции для WLC следует по экспоненте убывания:
,
где Р является, по определению полимерной характеристикой длины. Вид площади между конечными расстоянии полимера:
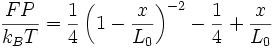
Лабораторные инструменты, такие как атомно-силовой микроскопии (АСМ) и оптические пинцеты были использованы для характеристики силы, зависящей от растяжения поведение полимеров, перечисленных выше. Интерполяционные формулы, которые описывают продление Х WLC с контурной длины L0 и настойчивость, длина фосфора в ответ на растяжение силы F имеет:
,
где кв это постоянная Больцмана, а Т является абсолютной температурой.
В конкретном случае растяжения ДНК в физиологические буфера при комнатной температуре, должно быть учтено соответствие ДНК вдоль контура. Энтальпия соблюдения учитывается путем добавления модуля стрейч K0 выше по отношению:
.
ЗАКЛЮЧЕНИЕ
-
Анализ Взаимосвязи механических свойств молекул ДНК с их функциональными особенностями.
Осевая жесткость
ДНК в растворе не принимает жесткие структуры, но постоянно меняется конформации в результате теплового вибрации и столкновений с молекулами воды, что делает классическую меры жесткости невозможно. Следовательно, жесткость изгиба ДНК определяется сохранением длины, которая определяется как:
"Длина ДНК, над которыми время - в среднем ориентации полимера становится uncorrelated на фактор д."
Это значение может быть непосредственно измеряется с использованием атомно-силовой микроскоп непосредственно изображение молекулы ДНК различных длин. В водном растворе сохранением средней длины 46-50nm или 140-150 базовых пар (диаметр ДНК составляет 2 нм), хотя и может существенно различаться. Это заставляет ДНК умеренно жесткой молекулы.
Сохранение длины секции ДНК несколько зависит от ее последовательность, и это может вызвать значительные вариации. Вариации в значительной степени объясняется базы укладки энергию и отходы, которые выходят на мелкие и крупные канавки.
Предпочтение гибкости
Молекул ДНК часто предпочитают направлении изгиба, т. е.. анизотропной деформации. Это, опять-таки из-за свойств баз, которые составляют ДНК - случайная последовательность не будет иметь предпочитает изгиб направлении, т. е. изотропной деформации.
Желательно ДНК углового направления определяется стабильность укладки каждой базы по началу следующей. Если нестабильная база укладки шаги всегда находили на одной стороне спирали ДНК, а затем ДНК будет преимущественно вдали от углового этом направлении. Что увеличивает угол изгиба затем steric препятствия и способность к рулон остатки по отношению друг к другу также играть роль, особенно в мелких канавку. И Т остатки будут преимущественно содержатся в мелкие канавки на внутренней поверхности изгибов. Этот эффект особенно увидеть в ДНК-белковых обязательными, где жесткие ДНК согнув индуцируется, как, например, в nucleosome частиц. См. базовый шаг искажения выше.
Молекул ДНК с исключительным согнув предпочтение может стать внутренне согнуты. Это было отмечено в первом trypanosomatid kinetoplast ДНК. Типичные последовательностей, которые содержат это дело тянется из 4-6 Т и остатки разделенных G и C богатые секций, хранить и Т вычеты в фазе с незначительными канавке по одну сторону молекулы. Например:
| | | | |
G A T T C C C A A A A A T G T C A A A A A A T A G G C A A A A A A T G C C A A A
Неразрывно согнутые структура индуцируется "поворот винта" базовых пар по отношению друг к другу позволяет необычных bifurcated водород-узы между базой шаги. На более высоких температурах этой структуре, так и внутренне-Бенд, теряется.
Все ДНК, которая преломляет anisotropically имеет, в среднем, более сохранением большей длины и осевые жесткости. Это увеличило жесткость является необходимой для предотвращения случайных изгибов чего молекула действовать изотропно.
ДНК circularisation зависит от обеих осевые (изгиб) жесткость и torsional (ротационных) жесткость молекулы. Для молекулы ДНК успешно circularise он должен быть достаточно продолжительным, чтобы легко согнуть в полный круг и должны иметь точное количество баз, с тем концы находятся в правильной ротации чтобы склеивание произошло. Оптимальное circularisation длина ДНК составляет около 400 базовых пар (136nm), причем интеграл число витков спирали ДНК, т.е. кратным 10,4 базе пары. Имея нецельное число оборотов представляет значительный барьер для энергетических circularisation, например, 10,4 х 30 = 312 базовых пар молекула будет circularise сотни раз быстрее, чем 10,4 х 30,5 ≈ 317 базовых пар молекулы.
Растяжение ДНК
Более длинные участки ДНК являются entropically упругой под напряжение. Когда ДНК в раствор, он подвергается постоянной структурные изменения из-за имеющихся в энергетической растворителя. Это объясняется тем тепловых колебаний молекул в сочетании с постоянной столкновений с молекулами воды. Для entropic причинам, более компактных расслабленной состояний доступными, чем термически напряжены из штатов, так и молекул ДНК, практически повсеместно в расслабленной паутины макетов. По этой причине одной молекулы ДНК будет стрейч под силу, выпрямление его. С помощью оптических пинцеты, entropic растяжения поведение ДНК, были изучены и проанализированы с точки зрения физики полимеров, а также было установлено, что ДНК, ведет себя во многом как Kratky-Porod червь-как цепь модель под физиологически доступных энергетических масштабах.
В соответствии с достаточной напряженности и позитивный момент, ДНК, как полагают, проходят этап перехода с баз splaying наружу и фосфатов переходе к середине. Предлагаемая структура ДНК перенапряжены, что называют "П-форма ДНК", в честь Линуса Полинга которые первоначально представил ее как возможную структуру ДНК.
Механических свойств ДНК, в соответствии с компрессией не были характерны из-за экспериментальных трудностей в деле предотвращения полимера от сгибания под сжимающей силы.
Плавление ДНК
Плавления ДНК представляет собой процесс, посредством которого водородными связями между направлений двойной спирали сломаны, отделяя две нити ДНК. Эти облигации являются слабыми, легко, разделенных нежной отопления, ферментов или физической силы. ДНК таяние происходит преимущественно в определенных точках в ДНК. Т и богатых последовательностей легче талой Т и потому, что только вместе провел два водородных связей на базе пары, в отличие от C и G, которые проводятся вместе на три. Особое базы шагов, также чувствительны к ДНК, плавка, в частности ТП и ТГ базы шаги. Эти механические характеристики отражается использование последовательностей, таких, как TATAA на начало многие гены для оказания помощи РНК-полимеразы в тающем для транскрипции ДНК.
Strand разделения нежный отопления, как оно используется в ПЦР, является простым предоставления молекул намного меньше, чем о 10000 пар базы (10 kilobase пар, или 10 КБП). Сплетающие из нити ДНК делает долго сегменты трудно отделить. Клеток позволяет избежать этой проблемы, разрешив ее плавления ДНК-ферменты (helicases) для работы одновременно с topoisomerases, которые могут химически cleave фосфат основу одного из направлений с тем, что он может поворотно вокруг другой. Helicases хорошо нити, чтобы облегчить заранее последовательности чтения ферменты, такие, как ДНК-полимеразы.
Топология ДНК
В большинстве клеток ДНК топологически ограничен. ДНК, как правило, содержатся в закрытых петель (как, например, в prokaryotes плазмид), которые являются топологически закрыты, либо как очень много молекул, чьи коэффициенты диффузии продукта эффективно топологически закрытых доменов. Линейных участках ДНК, также обычно связаны с белками или физические структуры (например, мембран) в форме закрытого топологических петель.
Фрэнсис Крик был одним из первых предложить важность увязки номера при рассмотрении ДНК supercoils. В документ опубликован в 1976 году, говорится Крик проблему следующим образом:
При рассмотрении supercoils формируется путем закрытой двойной мель молекул ДНК некоторых математических понятий, таких как связь количества и вращения, необходимы. Значение этих закрытых для ленты объясняется также и о том, что из числа writhing замкнутой кривой. Некоторые простые примеры приводятся некоторые из которых могут иметь отношение к структуре хроматина.
В анализе ДНК топология используется три значения:
L = увязывания номер - число раз один разрывы ДНК оберткой вокруг другой. Это целое для замкнутой и постоянных для закрытых топологической области.
T = твист - общее количество поворотов в двойной спирали ДНК на мель. Это, как правило, стараются быть равным числу превращает молекулы ДНК будут делать бесплатно, хотя в растворе, то есть. число bases/10.4.
W = writhe - количество витков двойной спирали ДНК на мель вокруг оси superhelical
L = T + W и L = Δ Δ Δ T + W
Любое изменение Т в закрытых топологических домена должна быть уравновешена изменения в W, и наоборот. Это приводит к более высокого порядка структуре ДНК. Циркуляр молекулы ДНК с writhe от 0 будет циркуляре. Если поворот этой молекулы впоследствии увеличился или уменьшился на supercoiling затем writhe будут соответствующим образом изменены, в результате чего молекулы проходят plectonemic или тороидальных superhelical coiling.
Когда концы куска мель двойных спиральных ДНК соединены с тем, что образует круг направлений топологически завязывают. Это означает одно пряди не могут быть отделены любой процесс, который не предполагает нарушение пряди (как, например, отопление). Задача ООН-завязывания топологически связаны нити ДНК ферментов снижается до известной как topoisomerases. Эти ферменты предназначены для ООН-завязывания круговой ДНК путем cleaving один или оба направления с тем, что еще один или два раза в бедственном положении одного сегмента может пройти. Это снимите завязывания требуется для репликации ДНК и круговой различных типов рекомбинации ДНК в линейных, которые имеют аналогичные топологических ограничений.
В течение многих лет, происхождение остаточной supercoiling в геномах эукариот остается неясным. Эта топологическая головоломка было передано примерно как "число связей парадокс." [9]. Однако, когда определяется экспериментально структур nucleosome отображается overtwisted левую руку обернуть вокруг ДНК histone octamer, этот "парадокс" была решена. Существует рассматриваться большинством, не парадокс, в отношении остальных происхождения остаточной supercoiling в хромосомах эукариот.
















