Диссертация (1100567), страница 13
Текст из файла (страница 13)
В целом можно сказать, что дигитализация, интеграция и концентрация являются неизбежным направлением развития китайской газеты. За последние десятилетия в результате неолиберального дерегулирования и появления новых коммуникационных технологий медиасистемы по всему миру подвергались трансформации. Исходя из указанных причин, китайская пресса должна интегрировать все возможные используемые ресурсы, присоединиться к цифровому, кросс-медийному, межотраслевому развитию, что, в конце концов, находило свое осуществление в образовании современных мощных газетных объединений и концернов.
Глава 3
Организация труда конвергентной редакции газеты
Данная глава посвящена описанию развития подходов к организации работы редакции газеты в условиях медиаконвергенции. Для того чтобы понять суть изменения редакционных процессов, работу ее коллектива, следовательно, и всей организационной структуры современной редакции, подробно проанализируем деятельность (опыт) конвергентных редакций на современном этапе, а поможет нам в этом рассмотрение производственной цепи, модели структуры редакции и моделированиe работы коллектива.
3.1. Переход редакционных процессов от традиционных к конвергентным
Процесс создания СМИ представляет собой, с точки зрения производственной цепи, три взаимосвязанных процесса: производство информации, «упаковка» информации и распространение «упакованного» продукта. Каждый из этапов имеет свои особенности. Производство информации представляет собой процесс ее добычи. Обычно в редакции этой работой занимаются корреспонденты или репортеры. Итогом процесса производства информации становится «сырье» для создания новостей – исходники с записью экспертов, диктофонная запись телефонного разговора, лента информационного агентства, фотолента, кадры видеохроники, полученные от телевизионных агентств и т. д.
Процесс «упаковки» информации представляет собой следующий этап производства. На этом этапе происходит обработка информации, ее «упаковка» в форматы тех носителей, на которых потом ей предстоит выйти в свет. Здесь же происходит определение значимости информации для газеты, ее распределение на полосе в зависимости от информационных приоритетов, выбор тех или иных жанров повествования, инкорпорирование различных форм информации.
Процесс распространения информации представляет собой последний этап производства. Редакторы получают и инкорпорируют «упакованные» материалы и создают конечные продукты в зависимости от особенностей различных медиа, определяют приоритет, форму и содержание готового продукта в зависимости от оперативности, доступности для аудитории, влияния на общество и др.
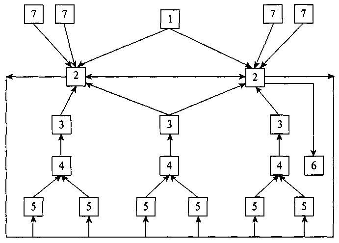
Традиционные функции корреспондентов, редакторов и различных отделов очень ясные и четко разделены. В основном корреспонденты и редакторы занимаются большей частью процесса производства: от первичной подготовки сырья для новостного производства до сдачи готового материала в свой отдел или отдел вещания. На рисунке 3-1 показаны этапы производственной цепочки и роль журналистов и редакторов128.
Рисунок 3-1.
*Источник: Журналистика и конвергенция: почему и как традиционные СМИ превращаются в мультимедийные / под ред. А. Г. Качкаевой. – М., 2010. – С.50.
Перед началом производства медиаорганизация должна создать модель структуры редакции в виде оргсхемы, воспроизводящей все элементы редакционного коллектива, все его подразделения. Это позволяет указать связи между элементами редакционной системы, их субординацию – подчиненность и координацию, направление потоков информации, циркулирующей в коллективе. На оргсхеме можно показать изменения структуры редакции, ее развитие, обозначая новые подразделения и их место в коллективе (см. схему 3-2)129.
Схема 3-2. Структура информационного центра пресс-группы
1 – Руководство центром. 2 – Ведущие редакторы. 3 – Редакторы. 4 – Диспетчеры. 5 – Корреспонденты. 6 – Группа мониторинга. 7 – Редакция газет и журналов.
*Источник: Гуревич С. М. Газета: вчера, сегодня, завтра. Учебное пособие для вузов. – М.: Аспект Пресс, 2004. – С. 188.
Что происходит с мультимедийной редакцией газеты и какие изменения возникают на сегодняшний день? Можно уверенно сказать, что кардинально меняется весь процесс: принцип работы коллектива редакции; производственная цепь перестраивается в новый мультимедийный процесс; т. е. процессы редакционной деятельности моделируются, чтобы адаптироваться к характеру цикличности, конвергентности и мультимедийности. Ассоциация газетных и медиатехнологий (IFRA) определила и рекомендовала новые способы работы, необходимые в будущем конвергентным СМИ130:
-
необходимость «слушать» аудиторию конвергирующихся СМИ;
-
необходимость замены продуктов и услуг отдельных СМИ на интегрированные комплекты контента;
-
изменение структуры и инфраструктуры редакций;
-
необходимость правильного управления изменениями в процессе.
Все большее и большее количество СМИ меняет свою традиционную роль поставщика уникального сырья на многоформатное и многоплатформенное продюсирование информации. В этой ситуации многие редакции китайских газет уже давно перешли в режим работы 24/7 вещания, быстрее перестроили свои редакции под производство мультимедийных продуктов. Теперь большой акцент делается на процессе сбора информации, который становится более разнообразным. Cайт становится пока основной платформой, где газеты могут представить материалы в мультимедийном формате. Именно сайт позволяет свести в один продукт новости из разных редакционных систем и разных подразделений. В новом ньюсруме новые люди, новые отделы, своего рода следящие за поступающей информацией диспетчеры, которые принимают решения о распределении контента по платформам, отвечают за мультимедийную обработку и выход конечного продукта. Как правило, редакторы совместно с репортерами определяют темы и планируют структуру новостей. Репортеры уезжают на задание, присылают заготовки (текст, фотографии, аудио-, видеозаписи) в редакцию через мобильные устройства или остаются в редакции и готовят материалы на основе сообщений агентств, сетей, блогов и т. д., обрабатывают «сырой» материал, предоставляют редакторам, которые инкорпорируют материалы в единую форму и иногда для разных платформ.
Мы уверены, что мобильность меняет редакционные процессы, перестраивает функции корреспондентов, вынуждает работать в более жестких временных рамках и использовать более жесткую организацию труда. Для этого современные редакции уделяют внимание техническому менеджменту, то есть управлению распределением технических средств и ресурсов. Устанавливаются специальные технологические компьютерные платформы, позволяющие отслеживать движение информации по разным платформам, управлять созданием редакционного контента, распределять обязанности. Таким образом, растут требования к менеджменту редакции, работу которого обычный редактор без соответствующей управленческой подготовки не в состоянии выполнять.
Вместе с тем, процесс планирования происходит у каждой платформы отдельно, отделы продолжают функционировать, как и раньше. При такой модели производства существенно экономятся ресурсы, потому что отныне один корреспондент работает и для печатной газеты, и для интернет-платформы (включая онлайн-радио, ТВ, приложения для мобильных операционных систем). В свою очередь, редакторы платформ получают уже готовые материалы мультимедийных отделов (иногда от корреспондентов) и выдают эти материалы потребителям.
Теперь тематические отделы редакции должны быстро на основе «сырья», полученного от корреспондентов, создать информацию и оперативно ее распространить через свою платформу. Наиболее актуально это для интернет-сайта. В данном случае скорость передачи «сырья» в редакцию растет, а редакция отдела должна справляться с тем, чтобы делать на его основе материалы, «упаковывать» их и отдавать на выпуск или на интернет-ленту (см. схему 3-3).
Схема 3-3: Структура конвергентной редакции газеты
*Источник: схема составлена автором.
Даже на данной схеме мы видим, что значимость производства информации, поиска новостей значительно вырастает, потому что этим занимаются не только корреспонденты, но и отделы. Такая закономерность четко соответствует повышению значимости оперативности информации для потребителя и повышению значимости разнообразия не только самой информации, но и форм, в которых она предстает. Если на первой стадии универсальные корреспонденты появились для того, чтобы повысить только оперативность предоставления новостей, то перемещение функции первичной обработки новостей на отделы во второй стадии перехода к мультимедийной редакции повышает качество и разнообразие форм подачи информации.
3.2. Перестройка производственной цепи: три примера создания конвергентных редакций
Можно считать, что медиаконвергенция дает газете революционные возможности перестройки производственной цепи. Автор выбирал три китайских газетных медиагруппы как объект исследования: холдинг «Наньфан Жибао» (Nanfang Daily Newspaper Group), «Жэньминь Жибао» (The people's daily Newspaper Group) и «Яньтай Жибао» (Yantai Daily Newspaper Group). «Наньфан Жибао» и «Яньтай Жибао» являются членами самой первой партии газетных медиахолдингов и самых влиятельных брендов в Китае. «Наньфан Жибао» и «Яньтай Жибао» почти одновременно первыми пытались перестроить производственную цепь и уже успешно завершили преобразования конвергентных редакций. Другой объект – издательство газеты «Жэньминь Жибао» – является одной из самых влиятельных китайских организаций СМИ. Газета «Жэньминь Жибао» – одна из ведущих газет в мире и самая влиятельная газета в Китае. «Жэньминь Жибао» занимает очень важное место в отечественной и зарубежной пропаганде. Исследование модернизации издательства «Жэньминь Жибао» имеет особое значение. Поскольку эти три группы играют очень важную роль на рынке Китая, их опыт по созданию интегрированной мультимедийной редакции в качестве справочных примеров рассматривают и изучают другие газетные группы. Мы считаем, что достижения трех групп могут быть лишь только примерами в журналистской практике и пока не могут стать универсальными в отрасли.
Три примера создания конвергентных редакций
-
Медиахолдинг «Наньфан Жибао»: полицентрическая структура на основе мультиплатформенности
Газетный медиахолдинг «Наньфан Жибао», основанный 18 мая 1998 г., считается одным из самых влиятельных газетных медиахолдингов Китая. «Наньфан Жибао» владеет 11 газетами, влючая «Наньфан Жибао» («Nanfang Daily» ), которая является ежедневной газетой КПК провинции Гуандун (первый выпуск вышел 23 октября 1949 г. в Гуанчжоу), газету «Наньфан Душибао» («Nanfang Metropolis Daily » ), которая занимает первое место среди всех национальных вечерних городских газет и имеет наибольший объем розничных продаж в регионе Гуандун, «Наньфан Чжоумо» («Nanfang Weekend » ) и другие, также владеет 8 журналами, включая «Наньфан Жэньу Чжоукань» («Southern People Weekly » ), «21 Century Business » и шестью онлайн-ресурсами и службами, включая новостной интернет-портал www.southcn.com131, www.nfmedia.com132, городской информационной сервисный портал www.oeeee.com, зарубежную версию интернет-портала газеты «Наньфан Жибао», а также издательством Nanfang Daily Press. Многие издания медиаруппы известны как откровенные и независимые, например, «Наньфан Душибао» и «Наньфан Чжоумо» неоднократно закрывались властью. Сегодня холдинг «Наньфан Жибао» – ведущий мультимедийный информационный газетный медиахолдинг в Китае. Современный мультимедийный ньюсрум холдинга, работающий с января 2008 г., воплощает самые передовые технологии сбора, обработки и выпуска новостной информации.
Общая организационная структура холдинга имеет полицентрическую сложную систему. Несколько центров были созданы и могут быть распределены в разном пространстве, но должны одновременно и совместно использовать ресурсы в комплексной базе данных (см. схему 3-4). Но разные медиа в холдинге работают в соотстветствии со своей организационной структурой и не зависимы финансово.
С
хема 3-4. «Полицентрическая» организационная структура















