ОЭУ_ЛР1,ЛР2_методичка (1088850), страница 2
Текст из файла (страница 2)
Рис. 1. Пространственное распределение излучения лампы (а), светодиода (б), полупроводникового лазера (в), твердотельного или газового лазера (г)
Светодиоды излучают в сравнительно узком спектральном диапазоне 30-50 нм с ярко выраженным цветом (синий, зеленый, желтый, оранжевый, красный). Лазеры имеют когерентное излучение с очень узким спектром излучения (3...5 нм). Существуют так называемые одночастотные лазеры с очень узкой спектральной полосой ≈ 100 кГц.
Лампы и светодиоды имеют диффузный характер излучения с излучающей поверхности. Это приводит к тому, что оптическая система не позволяет собрать излучение в пятно менее размера излучающей площади.
Излучение лазера обладает пространственной когерентностью (точки поверхности фронта излучения в каждый момент времени находятся на равном удалении от точек поверхности предшествующего момента). Благодаря этому лазерное излучение может быть сфокусировано в пятно соизмеримое с длинной волны излучения.
Количественной характеристикой пространственного распределения излучения от источника является диаграмма направленности излучения (рис. 2), т.е. распределение энергии относительно оси излучения. Обычно у светодиодов излучение имеет вид конуса с круглым сечением. Диаграмму направленности
излучения, или распределение энергии относительно оси светодиода, можно измерить фотоприемником. Параметром, характеризующим расходимость излучения, является ширина диаграммы направленности, или угол расходимости θ. Определяется он как угол между касательными к точкам диаграммы соответствующим 1/2 Рmax (рис. 2 ).
Рис. 2. Распределение энергии излучения световода относительно
оси излучения
Излучение, выходящее из любой оптической системы или из волоконного световода также характеризуются расходимостью (или сходимостью) и характеризуют некоторые свойства оптической системы.
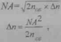
Излучение, выходящее из волоконного световода, имеет диаграмму направленности, показанную на рис. 2. Важнейшим параметром волоконного световода (оптического волокна) является числовая апертура (ЛИ), определяемая как NA = sinθ. С другой стороны, известно, что
, где пс и nоб - показатели преломления сердцевины и оболочки. Используя алгебраические преобразования, найдем:
или
где Δn - разница показателей преломления сердцевины и оболочки световода.
Величина NA является важным параметром световода, определяющим допустимые углы ввода излучения в световод.
Величины θ и NA характеризуют также устойчивость световода к внешним механическим воздействиям.
3. Описание стенда
Схема стенда представлена на рис. 3.
Рис. 3. Схема стенда для измерения диаграммы направленности и апертуры световода
Схема включает: источник питания ИП, блокировочный резистор R1, регулятор тока R2, светодиод VD1, микролинзу МЛ, оптическое волокно ОВ, штекер с выходным концом волокна Ш, устройство углового измерения УИ, фотодиод VD2, миллиамперметр мА.
4. Задание по лабораторной работе
При проведении лабораторной работы необходимо соблюдать следующую последовательность:
1. Ознакомиться с описанием лабораторной работы, описанием
стенда и основными характеристиками светодиода.
-
Осмотреть и определить основные устройства стенда и его контрольно-измерительные приборы.
-
Провести собеседование с преподавателем и ответить на контрольные вопросы.
-
Вывести сопротивление R2 в крайнее левое положение.
-
Включить блок питания и убедиться в его работоспособности по индикаторной лампочке.
-
Провести измерение углового распределения излучения светодиода и построить диаграмму направленности.
7. Определить ширину диаграммы направленности и числовую
апертуру световода NA.
8. Рассчитать разницу показателей преломления сердцевины и
оболочки Aw световода.
5. Представление результатов
Результаты работы должны быть представлены в следующем виде:
-
Функциональная схема стенда.
-
Диаграммы направленности излучения из световода, светодиода и полупроводникового лазера.
-
Результаты измерения θ, NA, Δn.
-
Ответы на контрольные вопросы (устно).
6. Контрольные вопросы
-
Какими свойствами обладает излучение от различных источников света?
-
Как экспериментально измерить диаграмму направленности излучения?
-
Какой параметр характеризует расходимость излучения?
-
Чем характеризуется диффузное и когерентное излучение?
-
Какие параметры характеризуют пространственное распределение излучения?
-
Какие технические параметры световода можно определить по распределению излучения в дальнем поле?
-
Как рассчитать разницу показателей преломления Aw сердцевины и оболочек световода?
-
Каким способом можно уменьшить расходимость излучения?
9. Как определить скорость распространения света в оптиче
ском волокне?
-
От чего зависит апертура оптического волокна?
-
От чего зависит скорость распространения света в оптическом волокне?
13
















