Лекции о надёжности (1088462), страница 5
Текст из файла (страница 5)
Общее время, затрачиваемое оператором на информационный поиск, определяется по формуле
Влияние времени подготовки на качество будущей деятельности обучаемого в определенных условиях можно проиллюстрировать следующим выражением:
где ΔQ — повышение уровня подготовки при увеличении времени подготовки с t1, до t2
Для конкретной оценки влияния уровня подготовки оператора на качество его работы необходимо:
выбрать конкретные показатели качества деятельности и условия деятельности;
определить параметры модели обучаемости (t*0, Q*0 и при необходимости Q*пр )в исследуемых условиях деятельности;
по заданному времени подготовки (tзад) определить значение выбранного показателя качества деятельности человека-оператора по формуле
Комплексная оценка влияния эргономических факторов на качество деятельности оператора. Характерная особенность эргономических факторов состоит в их комплексном влиянии на деятельность оператора. Поэтому для оптимизации условий, в которых должна осуществляться деятельность, необходимо располагать методами комплексного учета и оценки влияния наиболее значимых эргономических факторов на качество деятельности оператора.
Один из возможных вариантов комплексной оценки влияния рассмотренных эргономических факторов на временные, точностные и надежностные характеристики деятельности оператора заключается в следующем.
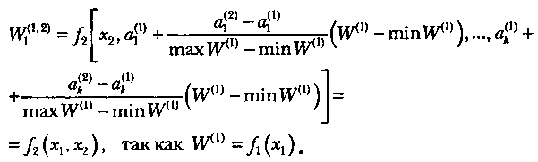
Положим, имеется гфакторов: x1, х2, ..., r. xНеобходимо оценить комплексное влияние этих факторов на выбранный показатель качества деятельности оператора W. Методика оценки состоит из r этапов. На первом этапе определяется зависимость Wot x1 [W(1) = f1(X1)] при условии, что остальные факторы находятся в диапазоне оптимальных значений. Задачей второго этапа является нахождение функции W(1,2) =f2(x1, х2, a1, ..., ak) при условии, что остальные (г- 2) фактора остаются в диапазоне оптимальных значений. Величины а1, ..., ak являются числовыми параметрами функции f2 Для нахождения этой функции сначала определяют две частные функции:
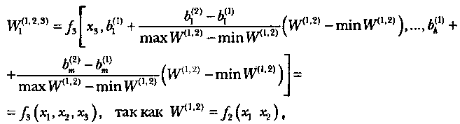
На третьем этапе в первую очередь определяют две частные функции:
При этом факторы х4, ... хг остаются в диапазоне оптимальных значений. Как и на втором этапе, обобщенный показатель можно записать следующим образом:
Эргономические экспериментальные исследования (испытания). Эргономические эксперименты проводятся как в исследовательских, так и в испытательных целях. Главным условием постановки экспериментов является психофизиологическая адекватность модели (макета дисплейного пульта, опытного образца, стенда и т. п.) тому компоненту реальной деятельности, который предполагается исследовать или оценивать.
В любом эксперименте следует точно определять зависимые и независимые переменные и их регистрируемые показатели.
Основными зависимыми переменными являются:
1. Показатели эффективности системы или качества деятельнос-
ти оператора (в целом или отдельных операций и действий):
а) точностные;
б) временные;
в) надежностные.
2. Показатели напряженности деятельности:
а) активационных процессов (эмоционального состояния, воле-
вых усилий и т. п.);
б) физиологических функций.
Основными независимыми переменными являются:
1. Факторы способа (психофизиологической структуры) деятель-
ности:
а) информационные (характеристики информационных моделей,
средств отображения информации, навыки оператора и т. п.);
б) физические (антропометрические, биомеханические характе-
ристики и т. п.);
в) временные (длительность работы, соотношение периодов ра-
боты и отдыха и т. п.);
г) состояние организма (общее психическое и физическое состо-
яние).
2. Факторы условий деятельности:
а) психологические (мотивация, взаимоотношения между опера-
торами и т. п.);
б) физико-химические (гигиенические).
В ходе эргономических экспериментов, проводимых в интересах оценки эффективности АСОИУ или качества деятельности, как правило, регистрируются выходные характеристики системы, непосредственно влияющие на качество решения моделируемой задачи (частота выхода за допустимые пределы регулируемых характеристик, время принятия решения и т. п.).
В некоторых случаях при проведении эргономических экспериментов вводятся:
• стандартная параллельная задача для оценки резервов внимания;
• неожиданные высокозначимые задачи (отказы техники, игровые ситуации и т. п.) для оценки способности оператора выполнять работу в усложненных условиях.
Проведение эргономического эксперимента можно условно разделить на три этапа: планирование, эксперимент и анализ.
Планированиевключает постановку задачи, которую нужно решать, выбор показателя, подвергающегося исследованию, рассмотрение факторов, влияющих на него. В сложных исследованиях приходится, как правило, сталкиваться с ситуациями, требующими специальных, тщательно продуманных приемов постановки эксперимента, иначе результаты окажутся искаженными. Искажения обусловлены тем, что в любом, даже хорошо организованном исследовании приходится иметь дело с неконтролируемыми факторами. Поэтому желательно усреднить влияние массы неконтролируемых факторов на выбранный показатель. Это достигается с помощью приема, называемого «рандомизацией», позволяющего считать ошибки измерения взаимно независимыми. Основным шагом на первом этапе является выбор показателя оптимальности и нахождение матриц планирования, удовлетворяющих этому показателю, с помощью методов математического планирования эксперимента.
Эксперимент должен проводиться в соответствии с программой, составленной на первом этапе. Для правильного проведения эксперимента необходимо соблюдать ряд условий. Во-первых, до начала эксперимента следует достаточно объективно установить пригодность участвующих в работе операторов к данному виду деятельности. Во-вторых, следует обеспечить высокую мотивацию на выполнение заданной по эксперименту деятельности. Необходимо быть уверенным в том, что возникающие ошибки оператора не связаны с его халатным отношением к делу.
Анализ — окончательный этап, включающий упорядочение экспериментальных данных, вычисления определенных статистических показателей, необходимых для принятия решений относительно различных сторон эксперимента. Последним шагом на этом этапе является обработка опытных данных для получения аналитических зависимостей, описывающих точностные, временные и надежностные характеристики деятельности человека-оператора как функции исследуемых факторов.
Способы обработки экспериментальных данных по качеству деятельности оператора. Существует ряд особенностей обработки опытных данных для получения точностных, временных и надежностных показателей качества деятельности.
При обработке экспериментальных данных для получения точностного показателя в состав алгоритма включают следующие элементы:
-
выбор вида показателя для оценки качества действий операторов;
-
разделение операторов на однородные группы;
• получение экспериментальных данных для определения количественных значений показателя при решении операторами однородной группы конкретных задач;
-
подбор эмпирической модели для функции распределения показателя точности каждой из групп операторов;
-
проверка адекватности эмпирической и реальной моделей.
Конкретный вид показателя для оценки точности работы оператора зависит от выполняемой им задачи. Если оператор считывает показания какого-либо прибора, то его основной точностной характеристикой является ошибка считывания — случайная величина, подчиняющаяся определенному закону распределения. Для оператора слежения подобной характеристикой является ошибка слежения, также подчиняющаяся некоторому закону распределения.
Разделение контингента испытуемых (операторов) на группы можно проводить по различным показателям однородности. Это делается для получения более достоверных и пригодных к практическому использованию данных, так как в противном случае рассчитанный по полученным опытным данным закон распределения показателя точности может оказаться искаженным (например, двумодальным). В качестве показателя однородности можно выбрать, например, класс операторов, определяющий их квалификационный уровень подготовки. В общем же случае можно выбирать те показатели, которые не только определяют качество работы операторов, но и относят их к той или иной группе по однородности законов распределения показателей качества. Кроме указанной классной квалификации (уровня подготовки) к таким показателям можно отнести индивидуально-психологические свойства оператора, стаж непрерывной работы на конкретном рабочем месте, результаты психофизиологического отбора (ранжирования) операторов (группы ранжирования) и т. д.
Подбор распределений для экспериментальных данных представляет довольно сложную задачу. Распространенным способом является принятие гипотезы о нормальности распределения.
Наиболее корректным в математическом плане является подбор эмпирической модели распределения по значениям квадрата нормированного показателя асимметрии (β1) и нормированного показателя островершинности (β2).
Чтобы подобрать эмпирическую модель, необходимо знать значения β| и β2. Поэтому на практике в первую очередь определяются выборочные оценки (Ь{ и ^2) для β, и β2:
Если точка с координатами Ь{ и Ь2 лежит достаточно близко отточки, кривой или области, соответствующей определенному распределению, то это распределение можно использовать для описания эмпирических данных. Такой подбор распределений не гарантирует полной адекватности выбранной модели, так как оценки b{ и Ь2 очень чувствительны к небольшому числу крайних значений выборки.
Следующей задачей является оценка приемлемости выбранной модели на основании экспериментальных данных. Существуют два подхода к решению поставленной задачи: графическое представление вероятности и статистическая проверка гипотез.
Графическое представление вероятности является субъективным методом, так как решение о приемлемости выбранной модели принимается на основе визуального наблюдения.
















